白酒是我国传统的固态发酵蒸馏酒类,作为世界六大酒类之一,在发展过程中形成了独特的酿造工艺和酒体风格[1]。其中,蒸粮是酿造过程中的关键环节,主要目的是使淀粉颗粒吸水、膨胀、破裂和糊化[2],使其结构从有序状态转变为无序状态,以便微生物利用和代谢[3]。粮食只有糊化后的淀粉才能被淀粉酶和糖化酶利用,因此糊化程度是表征“蒸粮”程度的重要指标,且由糊化度表示[4]。此外,蒸粮工艺分为混蒸和清蒸,混蒸是将润好的粮食与发酵后的糟醅混合蒸粮[5],清蒸则是将粮食润水拌匀后单独蒸粮[6]。如果淀粉在蒸粮过程中未完全糊化,部分细菌会利用未糊化的淀粉进行代谢并大量繁殖,导致粮食酸败[7];而过度糊化则会使粮食粘结、成团,不利于后期发酵,并导致风味物质的流失[8]。无论采用何种蒸粮方式,糊化效果都直接影响白酒的产量和质量[9]。
白酒生产过程中,酿酒师往往通过眼观、手捏、口尝等方式来评定蒸粮效果。然而,评定过程严重依赖酿酒师的经验,不同酿酒师的评定标准往往存在差异,导致蒸粮效果不稳定,从而影响基础酒的产量与品质。蒸粮效果也可以通过糊化度评价[10],但白酒生产中通常采用手工理化方法测定淀粉糊化度,方法耗时长、劳动强度大且结果反馈滞后,亟需开发快速检测清蒸高粱糊化度的方法。近红外光谱技术具有简便、快捷、无损、无污染、无需前处理、低成本等优点[11],已广泛应用于白酒检测[12],且在粮食糊化检测中也有广泛应用[13-14]。为了量化清蒸高粱蒸粮效果,解决手工检测高粱糊化度耗时长,难以在生产过程中有效应用的问题,本研究建立了一种近红外在线、快速测定高粱糊化度的模型以及对应的清蒸高粱蒸粮效果评价方法,形成对清蒸高粱蒸粮效果评价的统一标准,将传统的感官判断经验转化为可在线检测的数字标准,保障生产过程和产品质量的可控性。
NaOH、HCl、H2SO4,重庆川东化工有限公司;I2、KI、可溶性淀粉、酚酞,国药集团;Na2S2O3标准溶液,深圳市博林达科技有限公司;糖化酶(10万 U/g),北京奥博星生物技术有限公司。
QuaslR3000傅里叶近红外光谱仪,美国银河科学有限公司;电热恒温水浴锅,上海一恒科学仪器有限公司;电子天平,奥豪斯仪器(上海)有限公司;电子万用炉,北京永光医疗器械有限公司;安捷伦8890气相色谱仪、安捷伦DB-WAX气相色谱柱,美国安捷伦公司。
糊化度的检测方法包括双折射法、酶水解法、分光光度计测吸光度法、淀粉糊持水性测定法和黏度检测法等[15-17]。本研究选择了与发酵机理类似的酶解法,并对其进行了优化。糖化酶对糊化淀粉和生淀粉具有高度选择性,只水解糊化淀粉,不水解生淀粉。葡萄糖与碘单质发生反应,消耗部分碘。Na2S2O3用来滴定剩余的碘。根据已知的碘加入量,计算出消耗的碘量以及生成的麦芽糖量。通过糖化酶将糊化淀粉水解为麦芽糖,已知麦芽糖量后,计算高粱糊化淀粉量,糊化淀粉与总淀粉量的比例即为糊化度[18]。
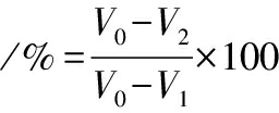
样品准备:称取高粱样品各5 g,分别放入2个100 mL的锥形瓶(V1、V2),另取一个锥形瓶(V0)做空白。糊化:3个锥形瓶中各加入50 mL蒸馏水,摇匀。将V1锥形瓶在电炉上小火微沸30 min使其完全糊化,然后快速冷却至室温[19]。酶解:将3个锥形瓶中各加入一定量糖化酶,摇匀后放入37~38 ℃恒温水浴锅中保温,15 min搅拌1次,2 h后取出立即加入1 mol/L HCl溶液各2 mL,用蒸馏水定容至100 mL,过滤后做待测液用[20]。滴定:分别取滤液10 mL于3个250 mL的碘量瓶中,准确加入10 mL 0.1 mol/L碘液和18 mL 0.1 mol/L NaOH溶液,密封置于暗处15 min之后各加入2 mL体积分数为10%的H2SO4溶液,用0.1 mol/L Na2S2O3溶液滴定,待样品颜色变为淡黄色时加入10 g/L的淀粉溶液作指示剂,继续滴定至蓝色消失[21],记录各用去Na2S2O3的体积(mL)[22],计算如公式(1)所示:
糊化度
(1)
式中:V0为滴定空白消耗Na2S2O3的体积,mL;V1为滴定完全糊化样品消耗Na2S2O3的体积,mL;V2为滴定样品消耗Na2S2O3的体积,mL。
样品处理:称取10 g样品置于250 mL烧杯中,加入100 mL蒸馏水,间歇搅拌后在室温下浸泡15 min,用脱脂棉过滤备用。滴定:吸取10 mL滤液至150 mL锥形瓶中,加入20 mL煮沸并冷却的蒸馏水和2滴酚酞指示剂,用0.1 mol/L NaOH溶液滴定至微红色保持10 s不褪色。
通过酸碱中和法测定,定义为100 g糟醅滴定时消耗的NaOH毫克分子数,结果以度数表示。酸度计算如公式(2)所示:
酸度
(2)
式中:c为NaOH的浓度,mol/L;V为NaOH的滴定体积, 为样品稀释倍数,并换算到100 g糟醅的酸度(mmol/10 g)。
为样品稀释倍数,并换算到100 g糟醅的酸度(mmol/10 g)。
采用HCl水解标准葡萄糖液的反滴定法,测得的数值实际上是包含还原糖等在内的总糖量。
水解液制备:称取5 g入窖糟醅(或10 g出窖糟醅)至250 mL锥形瓶中,加入100 mL体积分数20%的HCl溶液,安装回流冷凝器,微沸水解30 min后中和、过滤,并定容至500 mL。还原糖测定:吸取5 mL斐林甲液和5 mL斐林乙液至250 mL锥形瓶中,加入10 mL水解糖液和10 mL水,用1 g/L的标准糖液滴定至次甲基蓝终点,消耗体积为V0。吸取5 mL斐林甲液和5 mL斐林乙液至250 mL锥形瓶中,加入10 mL水解糖液,加入适量水,使总体积与斐林液标定时的滴定总体积基本一致。然后从滴定管中加入(V0-1)mL标准糖液,煮沸2 min,加入2滴甲基蓝,再在1 min内用标准糖液滴定至终点。消耗的标准糖液体积为V。计算如公式(3)所示:
淀粉
(3)
式中:V0为标定斐林液消耗的标准糖液的体积,mL;V为样品滴定时消耗标准糖液的体积,mL;ρ为标准糖液质量浓度, 为样品分取倍数;0.9为还原糖换算成淀粉的系数;m为样品质量,g。
为样品分取倍数;0.9为还原糖换算成淀粉的系数;m为样品质量,g。
在白酒酿造过程中,除了乙醇和水,还会产生杂醇油。杂醇油,也称高级醇,是白酒中的重要芳香组分。少量杂醇油能赋予白酒独特风味,但过高含量会导致苦味、涩味和浑浊,并对人体健康有害,毒性还会随分子质量增加而加剧。杂醇油是衡量白酒品质的重要指标[23]。使用气相色谱仪全定量分析测定杂醇油含量,以主要成分正丙醇、正丁醇、异丁醇、异戊醇含量之和表示[24]。
色谱柱:DB-WAX;进样量1 μL,分流比40∶1;进样口温度250 ℃[25];检测器为火焰离子化检测器;检测器温度300 ℃;载气流速1.1 mL/min保持30 min,以0.5 mL升至2.5 mL/min;程序升温条件:初始温度40 ℃,保持8 min,以2.5 ℃/min升至40 ℃,以5 ℃/min升至100 ℃,以10 ℃/min 升至200 ℃,以20 ℃/min升至220 ℃,保持3 min;定量方法:内标法[26-28]。
吸取适量样品至10 mL容量瓶中,加入V0=0.10 mL乙酸正戊酯内标溶液,用样品定容,混匀后进行气相色谱仪检测。
折合60%vol酒的质量及基础酒出酒率计算公式分别如公式(4)、公式(5)所示:
折合60%vol酒的质量=原酒质量×原酒折算为60%vol的系数
(4)
基础酒出酒率
(5)
请国家级评酒委对基础酒感官评分。
色泽:白酒的外观,应无色透明,无悬浮物和沉淀。
香气:白酒的香气应纯正,无异味。不同香型的白酒有其特定的香气特征[29]。
口感:白酒的口感应协调,入口顺滑,无刺喉感。
有害物质:如甲醇、杂醇油等,应在国家规定的安全范围内。
满分为100分,评分标准如下:
≥93为优级;89~93分(含89分)为一级;<89分为二级。
针对白酒生产中结果反馈滞后以及传统感官评定粮食蒸粮效果一致性差的问题,本研究基于大量实验数据,以清蒸高粱糊化度为核心,结合清蒸高粱的感官评价、出酒率、出入窖糟醅的酸度及淀粉含量的变化量、基础酒感官评分及其杂醇油含量,开发了量化清蒸高粱蒸粮效果的评价方法。该评价方法的建立如图1所示。
 
    图1 建立清蒸高粱蒸粮效果评价方法流程图
Fig.1 Establishment of a flowchart for the evaluation method of steamed grain effect of steamed sorghum
2.7.1 建立清蒸高粱蒸粮效果评价方法步骤
调节蒸粮参数(蒸粮时间、蒸汽流量等),取不同蒸粮参数下的清蒸高粱。邀请酒厂经验丰富的酿酒师对清蒸高粱进行感官评价,并使用近红外光谱仪扫描其光谱数据,同时采用手工理化方法测定其糊化度。一定质量的清蒸高粱拌糟入窖,并在发酵期结束后取出。测定入窖和出窖后的酸度及淀粉含量,并计算发酵前后糟醅酸度与淀粉含量的变化量。上甑蒸酒后,测量基础酒总质量和酒精度数,并换算出酒率。取基础酒酒样送国家级评酒委品评并对其进行评分,然后使用气相色谱仪测定其杂醇油含量。对数据汇总做相关性分析及权重确定,利用自适应权重算法(adaptive weights,AW)得出各白酒生产指标权重[30]。
2.7.2 自适应权重算法
AW通常根据数据的不同特征和相关性动态调整各个指标的权重,其核心原理是通过调整权重来更好地反映指标对总分的贡献。通过计算相关系数,确定每个指标与总分X的相关性大小。相关性大的指标应具有较大的权重。使用优化算法及梯度下降法根据数据反馈调整权重,使得总分X的计算更加合理。保证权重的和为1,所有的权重进行归一化处理。
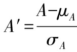
为了使所有的指标具有相同的量纲,首先需要对每个指标进行标准化处理。标准化后的指标值A′表示该指标的标准化值,计算如公式(6)所示:
 
   (6)
式中:μA是指标A的均值(平均值);σA是指标A的标准差。
同理,其他指标B、C、D、E、F、G也进行标准化处理,得到B′、C′、D′、E′、F′、G′。
计算每个指标与总分X的相关性,相关性通过皮尔逊相关系数(Pearson correlation coefficient,PCCs)来计算,如公式(7)所示:
 
   (7)
式中:A′是标准化后的指标值;A-和X-分别是A′和X的均值。
同理,计算每个标准化指标B′、C′、D′、E′、F′、G′与X的相关性。
通过计算相关系数,确定每个指标与总分X的相关性大小。相关性大的指标应具有较大的权重。
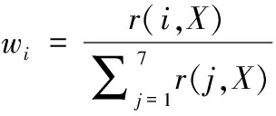
为了得到初步权重,可以采用公式(8):
 
   (8)
式中:wi是指标i的权重;r(i,X)是指标i与总分X的相关系数。
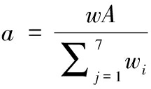
确保所有权重的和为1,使用归一化的方法。通过相关性分析或优化得到了初步权重wA, wB…, wG, 最终的归一化权重a、b、c、d、e、f、g,计算如公式(9)所示:
 
   (9)
同理,计算每个标准化指标权重b、c、d、e、f、g,计算如公式(10)所示:
X=Aa+Bb+Cc+Dd+Ee+Ff+Gg
(10)
式中:A、B、C、D、E、F、G分别代表指标清蒸高粱糊化度、清蒸高粱感官评分、酸度增加值、淀粉消耗量、出酒率、基础酒感官评分、基础酒杂醇油含量以及相应的权重a、b、c、d、e、f、g;X为总分。
统计总分X,划分不同清蒸高粱蒸粮效果范围,从而建立清蒸高粱蒸粮效果评价方法。最终得出当100≥X≥90时,为优级;当90>X≥80时,为一级;当80>X≥70时,为二级;当70>X时,为不合格。
传统手工理化检测方法测定清蒸高粱糊化度耗时较长,测定一个样品需6 h以上,且结果反馈滞后。因此开发利用近红外光谱技术实现清蒸高粱糊化的快速无损检测具有重要意义。为了量化清蒸高粱蒸粮效果,并解决手工检测糊化度耗时长、劳动强度大和结果反馈滞后等问题,本研究开发了一种基于近红外光谱技术的快速测定清蒸高粱糊化度的模型。
2.8.1 建立清蒸高粱糊化度快检模型方法步骤
收集在不同蒸粮参数下的清蒸高粱样品,控制采集和检测时间变量,在近红外光谱仪上采集其光谱数据,并手工理化检测其清蒸高粱样品糊化度。将采集到的近红外光谱数据与手工理化方法测定的清蒸高粱糊化度数据作为基础数据。本研究采用了近红外偏最小二乘法(near-infrared partial least squares,NIR-PLS)算法建立高粱糊化度的近红外快检模型,这是一种常用的多变量统计分析方法,用于处理光谱数据与目标变量之间的关系。NIR-PLS算法通过在原始变量空间与目标变量空间之间构建线性模型来提取主要成分,最小化误差的同时保留尽可能多的信息[31]。采用一阶导数、矢量归一化及平滑预处理对光谱数据进行处理,建立清蒸高粱糊化度的近红外快检模型。
2.8.2 NIR-PLS算法过拟合风险
输入到偏最小二乘法(partial least squares,PLS)模型的数据为经过标准化处理的光谱矩阵。预处理后,数据维度为N×M,其中N表示样本数量,M表示每个样本的光谱点数。每个样本的光谱信息由多个波长点组成,这些波长点作为模型的输入特征。PLS模型的性能在很大程度上取决于主成分的选择。主成分过多可能导致模型过拟合,而主成分过少可能使模型无法充分捕捉数据的主要变异信息。为选择最佳主成分数并优化模型超参数,研究采用交叉验证方法,通过评估验证集性能确定最佳主成分数量。本研究选择了8个主成分,较好地平衡了模型复杂度与预测精度。当使用过多主成分时,PLS 模型容易出现过拟合问题。过拟合风险通常表现为训练集拟合效果优异,但验证集或测试集预测性能较差。通过交叉验证方法确定主成分的最佳数量,从而避免因主成分过多导致的过拟合问题。
2.8.3 验证模型准确性
此外,为验证模型的准确性,建立模型后采集未知清蒸高粱样品的近红外光谱数据,并利用该模型预测高粱样品的糊化度。同时使用手工理化方法再次测定未知清蒸高粱样品的糊化度,并将其与预测的糊化度值进行对比分析。重复上述步骤,直到完成分析检测需求和建模[32]。图2建立高粱糊化度近红外快检模型,为帮助建立清蒸高粱蒸粮效果评价方法需要大量数据支持,可实现清蒸高粱糊化度的精准快速检测。
 
    图2 建立清蒸高粱糊化度近红外快检模型流程图
Fig.2 Flowchart for modeling the near-infrared fast-testing of steaming sorghum pastiness
3.1.1 模型建立过程
使用傅里叶近红外光谱仪采集包括高温润粮及不同蒸粮参数下清蒸高粱样品的144条原始光谱数据(图3)。按照2.8节的方法,使用SpectrumDH软件对光谱数据进行预处理,并应用NIR-PLS构建了近红外高粱糊化度快检模型[33],该建模方法能够有效处理自变量之间的多重共线性问题,以避免过拟合[34]。此外,通过平滑预处理、矢量归一化和一阶导数对光谱进行处理。平滑预处理用于减少噪声并提高信噪比,矢量归一化旨在消除样品厚度和密度等因素的影响,增强光谱特征的可比性,一阶导数预处理用于增强光谱中细微的特征,减小基线漂移的影响[35]。
 
    图3 清蒸高粱蒸粮糊化度近红外原始光谱
Fig.3 Near-infrared raw spectra of the pasteurisation of steamed grain from steamed sorghum
如图4所示,信息量最丰富的光谱区间为4 000~10 000 cm-1。通过设置主成分维数为8,可较好地构建清蒸高粱糊化度的校正模型。使用验证集对模型进行评估,检查模型的预测精度和稳定性。清蒸高粱建模样品验证集的决定系数为0.971 1,校正均方根误差(root mean square error of calibration,RMSEC)、性能与偏差比和偏差分别为0.038 6、4.942 6和0.001 1。实际测量值预测后的相对误差在0.01%~3.82%。由图5可知,无论是清蒸高粱还是高温润粮后的高粱,都与预测模型具有强相关性。
 
    图4 平滑预处理、矢量归一预处理以及一阶导数预处理后的光谱
Fig.4 Spectra after smoothing preprocessing, vector normalisation preprocessing and first order derivative preprocessing
 
    图5 近红外校准模型相关性
Fig.5 Near-infrared calibration model correlation
3.1.2 模型验证
为验证快速检测模型的准确性,不仅使用清蒸高粱的建模样品进行验证,还随机重新选择了24个未知样品,手工理化方法测定其糊化度实际值,并通过所建立的快速检测模型进行预测。图6中的散点图表明,相关方程为y=0.98x+0.04,预测值与实际测量值之间的决定系数R2=0.971 1。上述结果表明,所建模型各项决定系数和标准差、预测误差均符合检测要求,并满足实际白酒生产需要。
 
    图6 模型预测值与实际测量值相关性
Fig.6 Correlation between model predictions and actual measurements
将清蒸高粱糊化度作为单因素变量,跟踪实际生产,对影响从蒸粮到产酒的生产指标进行了全过程调研与预实验。实验一开始对清蒸高粱含水量、清蒸高粱糊化度、基础酒总酸总酯等生产指标做初步相关性分析,根据分析结果,最后选择清蒸高粱感官评价、出入窖理化、基础酒出酒率、基础酒感官评分、基础酒杂醇油含量这几种白酒生产关键指标作为影响因素分析。根据2.5节开展实验,共统计144组高粱数据,分析总结实验结果建立了一种基于近红外光谱快速检测高粱糊化度模型的清蒸高粱蒸粮效果评价方法(表1)。
表1 清蒸高粱蒸粮效果评价表
Table 1 Evaluation table for the effectiveness of steamed sorghum grain steaming
 
    高粱糊化度检测值清蒸高粱蒸粮效果评价75≤糊化度检测值≤80优级65≤糊化度检测值<75一级55<糊化度检测值<65二级80<糊化度检测值<90二级糊化度检测值≥90不合格糊化度检测值≤55不合格
从上述随机样品中选取12个具有代表性的不同蒸粮糊化高粱。请酒厂经验丰富的酿酒师随机对其进行感官评价。使用近红外快检模型测定其糊化度,按糊化度由低到高依次编号。取一定质量清蒸高粱与酒糟拌匀摊晾后加曲粉入窖,取入窖糟醅测定酸度及淀粉含量。发酵期结束后出窖,取出窖糟醅测定酸度及淀粉含量。上甑蒸酒后,计算基础酒总质量和酒精度数,并换算基础酒出酒率。邀请国家级白酒评委对基础酒品评打分,并检测基础酒理化,测定其杂醇油含量。
由图7可知,淀粉糊化度与淀粉消耗量(出入窖糟醅淀粉含量的差值)呈极显著相关,与出酒率及基酒评分呈正相关,与杂醇油含量呈负相关。此外,酸度增加值(出入窖糟醅酸度差值)与出酒率、基础酒评分、基础酒杂醇油含量呈极显著相关,因此为探究糊化度与白酒生产指标作用,将酸度增加值纳入考量很有必要。
 
    图7 清蒸高粱糊化度与白酒生产关键指标相关性热图
Fig.7 Heat map of the correlation between the paste degree of steamed sorghum and key indicators of Baijiu production
由图8可知,不同糊化度清蒸高粱入窖发酵后对应的基础酒出酒率、淀粉消耗量、基础酒感官评分先升高后降低,酸度增加值、杂醇油含量先降低后升高。上述变化结果符合实际白酒生产规律[36]。此外由图9可知,清蒸高粱糊化度与加权总分有较高非线性拟合关系。因此可知该评价方法可以通过测定高粱糊化度快速直观评价清蒸高粱蒸粮效果。
 
    图8 清蒸高粱糊化度与白酒生产指标变化曲线
Fig.8 Variation curves of paste degree of steamed sorghum and Baijiu production indexes
 
    图9 清蒸高粱糊化度与加权总分高斯拟合曲线
Fig.9 Gaussian fitting curve of steamed sorghum pasteability and weighted total score
表2展示了清蒸高粱蒸粮效果评价对比蒸粮感官评价,结果可知随清蒸高粱糊化度升高效果评价先提高后降低,且清蒸高粱糊化度所对应的效果评价均符合酿酒师对蒸粮高粱的感官评价。
表2 清蒸高粱效果评价对比清蒸高粱感官评价
Table 2 Comparative evaluation of the sensory effects of steamed sorghum
 
    样品清蒸高粱糊化度/%感官评价感官评分/分总分X/分效果评价160.7时有生心,黏性一般,柔熟度较硬2373.3二级263.3时有生心,黏性一般,柔熟度较硬2374.4二级363.7偶有生心,黏性较好,柔熟度一般2674.5二级464.2偶有生心,黏性较好,柔熟度一般2676.1一级570.7基本无生心,黏性较好,柔熟度较好2882.2一级673.1无生心,轻微黏腻,柔熟度较好2983.9一级773.4基本无生心,黏性好,柔熟度较好2986.2一级875.1无生心,黏性好,柔熟度好3092.3优级976.6无生心,轻微黏腻,柔熟度好3094.8优级1079.6无生心,黏性好,柔熟度好2993.3优级1180.5时有生心,较黏腻,柔熟度较耙软2377.7二级1283.7时有生心,较黏腻,柔熟度较耙软2375.2二级
注:生心:生心6分,生心较多7分,时有生心8分,偶有生心9分,无生心10分;黏性:黏性差6分,黏性较差、黏腻7分,黏性一般、较黏腻8分,黏性较好、轻微黏腻9分,黏性好10分;柔熟度:柔熟度硬6分,柔熟度较硬、耙软7分,柔熟度一般、较耙软8分,柔熟度较好、轻微耙软9分,柔熟度好10分。
随着白酒市场规模的扩大,智能酿造和现代化工艺的重要性日益凸显。目前白酒生产主要依赖酿酒师通过感官评定粮食的蒸粮效果,然而这种方法一致性差,直接影响白酒的产量和质量以及粮耗,难以满足现代智能化酿酒生产的需求。此外,白酒传统酿造工艺主要依赖言传身教,这不利于其有效传承和发展[37]。本研究开发了一种近红外快速检测高粱糊化度的模型,并且以该模型为基础建立了一种在线、快速检测高粱糊化度的方法以及对应的清蒸高粱蒸粮效果评价方法,形成对清蒸高粱蒸粮效果评价的统一标准,将传统的感官判断经验转化为可在线检测的数字化评价标准,保障生产过程和产品质量的可控性。
a)基于近红外光谱技术开发的快速检测清蒸高粱糊化度模型,有效解决了手工检测耗时长、劳动强度大、结果反馈滞后等问题。此外,针对清蒸高粱排除了混蒸工艺中其他物料的影响,提升了检测模型的稳定性。随机样品验证表明该模型与清蒸高粱糊化度具有较高相关性,预测值与实际测量值的相关方程为y=0.98x+0.04,决定系数R2=0.971 1。该模型数据精准稳定,适合用于白酒生产反馈和指导。
b)研究中发现白酒生产中的关键生产指标随清蒸高粱糊化度变化而变化。当高粱糊化度升高时,出酒率、基础酒评分等生产指标随之提高;但糊化度过高时,这些指标又开始下降。上述结果变化符合传统酿造经验“内无生心,熟而不烂”,淀粉既要充分糊化又不能过度糊化。本研究开发的清蒸高粱蒸粮效果的评价方法能够将传统酿造经验数字化、知识化、标准化,有助于酿造技艺的有效传承,并确保生产过程和产品质量的可控性。该方法能够为新型蒸粮设备的设计优化或使用提供基础数据,便于调节润粮水量、润粮水温、蒸粮时间、蒸汽流量及打量水位置等参数,以达到理想的糊化度。
c)在未来可以物联网(internet of things,IoT)集成,与传感器网络和自动化控制系统结合,开发基于近红外检测的全自动化蒸粮过程控制系统,实现生产全流程监控,将高粱糊化度检测模型与其他白酒生产关键指标相结合,建立一个综合性的智能化生产监控系统,实现全链条质量控制。联合相关机构制定蒸粮效果评价的统一标准,提高整个行业的生产规范化水平。进一步推动白酒生产的智能化、标准化和绿色化发展,使传统酿造工艺与现代技术深度融合。
[1] 余乾伟. 传统白酒酿造技术[M].第三版.北京:中国轻工业出版社, 2023.YU Q W.Traditional Baijiu Brewing Technology[M].3th ed.Beijing:China Light Industry Press, 2023.
[2] 刘明. 浓香型白酒酿造蒸粮糊化过程的影响因素研究进展[J].酿酒科技, 2023(8):81-84.LIU M.Research progress in influencing factors of grain steaming process of Nonxiang Baijiu production[J].Liquor-Making Science &Technology, 2023(8):81-84.
[3] 沈怡方. 白酒生产技术全书[M].北京:中国轻工业出版社, 2015.SHEN Y F.Comprehensive Textbook on Baijiu Production Technology[M].Beijing:China Light Industry Press, 2015.
[4] 卢君, 唐平, 山其木格, 等.一种评价酱香型白酒酿造过程高粱蒸煮程度的技术研究[J].中国酿造, 2021, 40(3):73-78.LU J, TANG P, SHAN Q, et al.Evaluation technology of the cooking degree of sorghum in the brewing process of sauce-flavor Baijiu[J].China Brewing, 2021, 40(3):73-78.
[5] 马浩, 明红梅, 郑佳, 等.同时蒸馏萃取结合气相色谱-质谱联用解析不同酿酒原料蒸煮香气成分[J].食品与发酵工业, 2024, 50(6):247-253.MA H, MING H M, ZHENG J, et al.Simultaneous distillation extraction combined with GC-MS to analyze steaming aroma composition of different brewing materials[J].Food and Fermentation Industries, 2024, 50(6):247-253.
[6] 王贵玉. 清蒸、续米查发酵对辽香型白酒风味的影响:辽香型白酒工艺特点解析之三[J].酿酒, 2015, 42(5):3-5.WANG G Y.Effects of fermentation technology of steamed grains mixed with fermented grains on the flavor of Liao flavor type liquor:Analysis of Liao flavor liquor making process(Ⅲ)[J].Liquor Making, 2015, 42(5):3-5.
[7] 沈舒民. 高粱淀粉结构与功能特性研究及相关性分析[D].杭州:浙江大学, 2020.SHEN S M.Study on the structure and functional properties of sorghum starch and correlation analysis[D].Hangzhou:Zhejiang University, 2020.
[8] 戴诗皎, 王晓慧, 赵琦, 等.浓香型白酒酿造过程粮食蒸煮效果评价方法研究[J].酿酒科技, 2022, (6):82-85.DAI S J, WANG X H, ZHAO Q, et al.Evaluation method of grain steaming effect during the production process of Nongxiang Baijiu[J].Liquor-Making Science &Technology, 2022, (6):82-85.
[9] ZONG X Y, WEN L, MOU T T, et al.Effects of multiple cycles of sorghum starch gelatinization and fermentation on production of Chinese strong flavor Baijiu[J].Journal of Cereal Science, 2022, 108:103561.
[10] 袁蕊, 敖宗华, 丁海龙.不同品种高粱糊化特性研究[J].粮食与油脂, 2011, 24(8):26-27.YUAN R, AO Z H, DING H L.Study on gelatinization characteristics of various sorghum sources[J].Cereals &Oils, 2011, 24(8):26-27.
[11] 张立欣, 杨翠芳, 陈杰, 等.基于变量优选和近红外光谱技术的红富士苹果产地溯源[J].食品与发酵工业, 2022, 48(20):36-43.ZHANG L X, YANG C F, CHEN J, et al.Tracing the origin of Red Fuji apple based on variable optimization and near-infrared spectroscopy[J].Food and Fermentation Industries, 2022, 48(20):36-43.
[12] 余松柏, 赵小波, 田敏, 等.近红外光谱技术在快速检测白酒酒醅中的应用[J].酿酒科技, 2021(2):59-64.YU S B, ZHAO X B, TIAN M, et al.Application of near infrared spectrometry in rapid detection of fermented grains of Baijiu[J].Liquor-Making Science &Technology, 2021(2):59-64.
[13] 吴建虎, 李桂峰, 彭彦昆, 等.可见-近红外反射光谱检测小米糊化特性[J].光谱学与光谱分析, 2020, 40(10):3247.WU J H, LI G F, PENG Y K, et al.Detection of gelatinization properties of millet using visible/near infrared reflectance spectroscopy[J].Spectroscopy and Spectral Analysis, 2020, 40(10):3247.
[14] 刘路宏, 郭艳, 安明哲, 等.酿酒用大米糊化效果的影响因素分析研究[J].酿酒科技, 2022(7):17-21.LIU L H, GUO Y, AN M Z, et al.Analysis of factors influencing the gelatinization of liquor-making rice[J].Liquor-Making Science &Technology, 2022(7):17-21.
[15] 赵荣寿, 赵江华, 高占争, 等.淀粉糊化度检测方法及在白酒应用中研究进展[J].酿酒, 2024, 51(2):24-29.ZHAO R S, ZHAO J H, GAO Z Z, et al.Detection methods of starch paste degree and research progress in Baijiu application[J].Liquor Making, 2024, 51(2):24-29.
[16] 梁宝丹, 李子珊, 潘浣钰, 等.饲料中淀粉糊化度的方法研究[J].中国饲料, 2022(7):81-87.LIANG B D, LI Z S, PAN H Y, et al.Study on method of starch gelatinization degree in feed[J].China Feed, 2022(7):81-87.
[17] CHI C D, ZOU Y Q, PENG X M, et al.Measurement of starch gelatinization using a spectrophotometer[J].Food Hydrocolloids, 2023, 144:108956.
[18] 冯兴垚, 杨文斌, 罗惠波, 等.3种酿酒高粱蒸煮工艺的优化[J].食品科技, 2017, 42(11):187-194.FENG X Y, YANG W B, LUO H B, et al.Optimization of three kinds of wine-making sorghum stewing process[J].Food Science and Technology, 2017, 42(11):187-194.
[19] 杜云豪. 不同发酵方式对冷藏馒头品质的影响研究[D].郑州:河南工业大学, 2020.DU Y H.Study on the effects of different fermentation methods on the quality of refrigerated steamed buns[D].Zhengzhou:Henan University of Technology, 2020.
[20] 史玫. 以麦胚和低值鱼为原料的复合营养粉研制[D].无锡:江南大学, 2008.SHI M.Development of a composite nutritional powder from wheat germ and low-value fish[D].Wuxi:Jiangnan University, 2008.
[21] 齐慧, 陈亮, 武小芬, 等.γ射线辐照结合球磨处理灵芝孢子粉破壁新工艺研究[J].辐射研究与辐射工艺学报, 2020, 38(5):54-63.QI H, CHEN L, WU X F, et al.Study on a new technique for the treatment of Ganoderma lucidum spore powders using ball milling and γ ray irradiation[J].Journal of Radiation Research and Radiation Processing, 2020, 38(5):54-63.
[22] 刘流, 周小波.酶解法检测淀粉糊化度的方法优化[J].现代食品, 2018, 24(13):164-166.LIU L, ZHOU X B.The optimization of starch gelatinization enzyme hydrolysis method[J].Modern Food, 2018, 24(13):164-166.
[23] 王向华, 胡银川, 王涛, 等.白酒中杂醇油气相色谱-质谱测定方法研究[J].食品科技, 2023, 48(12):275-280.WANG X H, HU Y C, WANG T, et al.Determination method of fusel oils in Chinese liquor by gas chromatography-tandem mass spectrometry[J].Food Science and Technology, 2023, 48(12):275-280.
[24] 袁春芳, 苏建, 张富勇, 等.降低白酒杂醇油技术的研究进展[J].酿酒科技, 2022(4):96-100.YUAN C F, SU J, ZHANG F Y, et al.Research progress in the technology of reducing fusel oil in Baijiu[J].Liquor-Making Science &Technology, 2022(4):96-100.
[25] ZHAO Y H, LIAO P F, CHEN L, et al.Characterization of the key aroma compounds in a novel Qingke Baijiu of Tibet by GC-MS, GC×GC-MS and GC-O-MS[J].Food Chemistry Advances, 2024, 4:100589.
[26] FITZGERALD N, EDWARDS J C.Investigation of solid phase microextraction gas chromatography-mass spectrometry, Fourier transform infrared spectroscopy and 1H qNMR spectroscopy as potential methods for the authentication of Baijiu spirits[J].Beverages, 2023, 9(1):25.
[27] 李静, 王俊霞, 顾海东, 等.超声提取-固相萃取-GC-MS/MS测定灰尘中10种有机磷阻燃剂[J].现代化工, 2018, 38(8):239-244.LI J, WANG J X, GU H D, et al.Determination of 10 organophosphate flame retardants in dust by ultrasonic extraction and solid phase extraction coupled with GC-MS/MS[J].Modern Chemical Industry, 2018, 38(8):239-244.
[28] 孙啸涛, 张锋国, 董蔚, 等.GC-MS/SIM法测定芝麻香型白酒中3-甲硫基丙醇[J].中国食品学报, 2015, 15(2):214-222.SUN X T, ZHANG F G, DONG W, et al.Analysis of 3-methylthiopropanol in sesame flavor liquor by GC-MS/SIM[J].Journal of Chinese Institute of Food Science and Technology, 2015, 15(2):214-222.
[29] CHEN E B, YANG F, MA Z Y, et al.Analysis of aroma compounds in different grades of Luzhou Laojiao strong-aroma Baijiu by molecular sensory science[J].Journal of Food Composition and Analysis, 2024, 135:106607.
[30] 张维, 张贵宇, 庹先国, 等.基于NIR和GC-MS融合技术的浓香型白酒原酒等级鉴别[J].食品科学, 2024, 45(21):288-296.ZHANG W, ZHANG G Y, TUO X G, et al.Grade identification of raw nongxiangxing Baijiu based on fused data of near infrared spectroscopy and gas chromatography-mass spectrometry[J].Food Science, 2024, 45(21):288-296.
[31] LUO N, HAN P, WANG S F, et al.Near-infrared spectroscopy analytical model using ensemble partial least squares regression[J].Analytical Letters, 2019, 52(11):1732-1756.
[32] 向伶俐, 杨馥嘉, 宋杰, 等.一种利用近红外光谱分析检测酒醅糊化度的方法及系统:CN116223441A[P].2023-06-06.XIANG L L, YANG F J, SONG J, et al. A method and system for detecting mash gelatinization degree using near-infrared spectroscopy: CN116223441A[P]. 2023-06-06.
[33] BAI Y, ZHANG Z, QIAO J W, et al.Establishment of near-infrared rapid prediction model and comprehensive evaluation model for foxtail millet quality[J].Journal of Food Composition and Analysis, 2024, 136:106769.
[34] 张丰川, 刘建学, 韩四海, 等.出窖酒醅淀粉酸度和还原糖一样多测的快速检测方法[J].农产品加工, 2023(11):54-57;65.ZHANG F C, LIU J X, HAN S H, et al.Rapid test method for starch scidity and reducing sugars as many measurements as cellar fermented grains[J].Farm Products Processing, 2023(11):54-57;65.
[35] HUANG H W, FANG Z L, XU Y L, et al.Stacking and ridge regression-based spectral ensemble preprocessing method and its application in near-infrared spectral analysis[J].Talanta, 2024, 276:126242.
[36] 杨帆, 周兴鹏, 张敬铖, 等.混蒸混烧生产清香型白酒工艺[J].食品研究与开发, 2018, 39(9):76-81.YANG F, ZHOU X P, ZHANG J C, et al.Technology of mild aromatic Chinese spirits by fermentation of mixed-steaming and mixed-heating[J].Food Research and Development, 2018, 39(9):76-81.
[37] 张国强. 中国白酒工艺的传承与创新[J].酿酒, 2018, 45(3):7-8.ZHANG G Q.The inheritance and innovation of Chinese liquor making technology[J].Liquor Making, 2018, 45(3):7-8.