草莓(Fragaria×ananassa Duch.)是蔷薇科浆果,富含糖、维生素、矿物质及抗坏血酸(ascorbic acid,AsA)、类胡萝卜素、酚类化合物等生物活性物质,具有抗氧化、抗癌、抗炎等多种生理功能,对人类健康有益[1]。其中,AsA是重要的抗氧化物质,不仅影响果蔬品质,还在抗氧化系统中起关键作用[2]。果实中的AsA可通过肌醇途径、L-半乳糖途径、L-古洛糖途径、D-半乳糖醛酸途径合成,并通过抗坏血酸-谷胱甘肽(ascorbate-glutathione,AsA-GSH)循环实现氧化再生。采后果蔬易因机械损伤、生理病害和微生物侵染导致品质下降,而较高水平的AsA对于采后品质的保持有一定的积极作用[3]。有研究发现,一些采后处理可以通过调节AsA的含量变化延缓采后果蔬品质的劣变。例如,气态臭氧处理鲜切火龙果,可以延缓AsA与脱氢抗坏血酸(dehydroascorbic acid,DHA)含量的下降,提高AsA/DHA的比值,从而维持鲜切火龙果的氧化平衡并延缓衰老[4]。晋莹莹[5]发现,利用0.5 g/L的八硼酸钠处理可以通过激活AsA代谢相关基因的表达增强酶活性,进而提高AsA、DHA、总AsA含量及AsA/DHA比值。刘帆[6]发现,磁场处理可以显著维持采后草莓AsA含量,从而维持草莓的贮藏品质。油菜素内酯(brassinosteroids,BRs)是1978年从油菜花粉中分离纯化得到的植物源甾体激素,能够参与调节植物生长发育,促进DNA、RNA和蛋白质合成,增强抗氧化酶活性,并提高植物对寒冷、盐、干旱等胁迫的抗性[7-10]。2,4-表油菜素内酯(2,4-epibrassionolide,EBR)是BRs的活性副产物,不仅具有BRs的各种生理作用,还具有高效性和环保性,广泛应用于提高果蔬抗性和采后保鲜的研究[11]。例如,EBR处理可增强水稻幼穗耐高温能力[12],减轻小白菜低温贮藏中的黄化现象[13],延缓蓝莓果实衰老[14],提高对草莓灰霉病的抗性等[15]。课题组前期研究发现,5 μmol/L的EBR处理可降低草莓采后腐烂率,保持果实品质并提高抗氧化能力,但其对草莓果实AsA 代谢的影响尚不明晰[16]。因此,探究采后草莓果实中AsA代谢变化及EBR调控草莓果实AsA含量的机理具有重要意义。
转录组学(RNA sequencing,RNA-seq)是一种通过高通量测序技术全面分析生物体在特定条件下所有转录本(mRNA、非编码RNA等)的表达水平和动态变化的方式,从而揭示基因表达调控机制的技术。该技术已在生物学、医学和农业等多个领域得到广泛应用。刘照宇等[17]利用RNA-seq数据筛选出热激与程序降温处理下黄皮果实的差异表达基因(differentially expression genes,DEGs)与黄皮果实的抗氧化能力相关。汪开拓等[18]通过RNA-seq发现β-氨基丁酸处理可提高草莓AsA-GSH循环、活性氧代谢酶系统、谷胱甘肽合成途径、磷酸戊糖途径关键基因表达水平,抑制采后灰霉病症状的发展。汪月宁等[19]基于RNA-seq数据发现EBR处理通过调控酿酒葡萄的14个与糖代谢、花色苷合成及内源激素信号转导相关的基因表达,延缓了高温胁迫对葡萄花色苷积累的抑制作用。本研究通过生理生化方法以及RNA-seq测序技术,探究5 μmol/L的EBR喷洒处理对采后草莓果实在(20±1) ℃贮藏5 d期间AsA代谢的影响并揭示其变化机理,筛选响应EBR调控草莓AsA合成的关键基因,为深入解析EBR维持草莓果实AsA/DHA平衡的转录调控机制提供理论依据,同时为EBR在采后果实贮藏与保鲜中的应用提供实践指导。
草莓果实采摘自辽宁省丹东市。
EBR,海瑞永生物有限公司;硫代巴比妥酸,安谱云实验用品(上海)有限公司;无水乙醇,广东光华科技股份有限公司;十六烷基三甲基溴化铵(cetyltrimethylammonium bromide,CTAB)、十二烷基硫酸钠、磷酸、三氯乙酸,国药集团化学试剂有限公司;聚乙烯吡咯烷酮、FeCl3,上海麦克林生化科技股份有限公司;脱氢抗坏血酸试剂盒(G0202W48),苏州格锐思生物科技有限公司。
RPX-250C型智能人工气候箱,上海福玛实验设备有限公司;DW-60L158型超低温冰箱,青岛海尔电器有限公司;H1650R型冷冻离心机,上海天美科学仪器有限公司;CFX96型荧光实时定量PCR仪、NanoDrop-ONE型超微量分光光度计,美国赛默飞世尔科技公司;Spectra Max plus384型酶标仪,上海美谷分子仪器有限公司;EOO5型紫外可见分光光度计,上海菁华科技仪器有限公司;bsa224s型万分之一天平,德国赛多利斯公司。
1.3.1 草莓处理方法
采摘后的草莓运回实验室,挑选无损伤、无病斑、大小均匀且八分熟的草莓用于实验。处理方法参考课题组前期研究结果[16]。将草莓果实随机分为对照组和EBR处理组,对照组用蒸馏水喷洒,EBR处理组用5 μmol/L的EBR溶液喷洒。喷洒时先喷正面,晾干后再喷反面,每喷0.6 mL,晾干后置于大小为17.8 cm×10.8 cm×6 cm的聚对苯二甲酸乙二醇酯塑料盒中,在常温(20±1) ℃、90%~95%湿度的恒温箱中贮藏5 d。每隔1 d取样,草莓迅速于液氮中冷冻,后转移至-80 ℃冰箱保存,以备后续分析。
1.3.2 AsA及DHA的测定
AsA含量测定参照MEYER[20]的方法。DHA含量采用脱氢抗坏血酸试剂盒测定。取0.3 g样品,加3 mL提取液,冰浴研磨后12 000×g、4 ℃离心15 min,取上清液。按试剂盒说明加入反应液,30 ℃反应60 min,测定534 nm处吸光度值,结果以g/kg表示。
1.3.3 RNA-seq及数据分析
取对照组贮藏0~5 d(Control-0 d~Control-5 d)和EBR处理组贮藏1~5 d(EBR-1 d~EBR-5 d)的样品进行RNA-seq分析,每组3个生物学重复。委托上海欧易生物医学科技有限公司进行高通量测序、cDNA文库构建及分析。使用HISAT2(2015)将读取映射到参考基因组,DESeq(2012)识别DEGs(P<0.05且FC≥2且P≤0.05为显著差异)。通过DAVID进行GO和KEGG富集分析。
1.3.4 qRT-PCR分析
将-80 ℃保存的草莓样品在液氮中研磨成细粉,采用CTAB法[21]提取总RNA。使用HiScript® Ⅲ RT SuperMix for qPCR试剂盒(R323-01,诺维赞)进行反转录,ChamQTM Universal SYBR® qPCR Master Mix(Q711-02/03,诺维赞)进行qRT-PCR。反应体系:10 μL 2×ChamQ Master Mix、0.4 μL正向引物、0.4 μL反向引物、0.8 μL cDNA模板、8.4 μL ddH2O。反应程序:95 ℃ 30 s预变性,95 ℃ 10 s→60 ℃ 30 s循环40次,95 ℃ 15 s→60 ℃ 60 s→95 ℃ 15 s溶解曲线采集。以FaActin为参照基因,2-ΔΔCt法计算基因相对表达量。
使用Excel 2021和SPSS 25进行数据分析,Origin 2022和Chiplot绘图,欧易云工具进行相关性分析及作图。采用Duncan法进行多重比较,P<0.05为差异显著。
随贮藏时间延长,EBR处理的采后草莓果实AsA含量始终显著高于对照组。二者AsA含量均在贮藏第3天达到最高值,EBR处理组最高值为0.69 g/kg,对照组最高值为0.60 g/kg。EBR处理的采后草莓果实ASA含量随贮存时间延长呈先上升后下降的趋势,对照组AsA含量在贮藏第1天下降至0.45 g/kg后呈先上升又下降的趋势(图1-a)。
 
    a-AsA含量;b-DHA含量;c-总AsA含量;d-AsA/DHA比值
图1 EBR对草莓果实20 ℃贮藏5 d期间AsA、DHA、总AsA含量及AsA/DHA比值的影响
Fig.1 Effect of EBR on AsA, DHA, total AsA content, and AsA/DHA ratio in strawberry fruit during storage at 20 ℃ for 5 d
注:*表示P<0.05;**表示P<0.01;***表示P<0.001(下同)。
DHA含量随贮藏时间延长呈现先上升后下降的趋势。其中,EBR处理的采后草莓果实DHA含量在贮藏第4天达到最高值0.81 g/kg,对照组DHA含量在贮藏第3天达到最高值0.67 g/kg。在贮藏的第1天,对照组DHA含量高于EBR处理组。在贮藏的第2~5 天,EBR处理组高于对照组(图1-b)。
总AsA含量为还原型AsA与DHA之和。总AsA含量随贮藏时间延长呈现先上升后下降的趋势。其中,EBR处理的采后草莓果实总AsA含量在贮藏第4天到最高值1.47 g/kg,对照组总AsA含量在贮藏第3天达到最高值1.27 g/kg。贮藏的第1~5天,EBR处理组总AsA含量均高于对照组。在贮藏的第4~5天,EBR处理组显著高于对照组(图1-c)。
由图1-d可知,AsA/DHA比值在第1天迅速下降,然后呈波动下降的趋势。在贮藏的第1~3天,EBR处理组AsA/DHA比值显著高于对照组(图1-d)。较高的 AsA/DHA 有助于维持植物体内的氧化还原平衡,从而减轻逆境胁迫对植物的不利影响。
综上,EBR处理的采后草莓AsA、DHA、总AsA含量及AsA/DHA比值均在一定程度上高于对照。这些结果表明EBR对于维持草莓的AsA/DHA平衡有一定的积极作用。
本实验共选取并创建了包括Control-0 d、Control-1 d、Control-2 d、Control-3 d、Control-4 d、Control-5 d、EBR-1 d、EBR-2 d、EBR-3 d、EBR-4 d、EBR-5 d在内的11个草莓样品的基因组文库。初始下机后的原始图像数据经过基因判读得到原始测序片段数据,又经去除低质量片段,得到干净的46.5~49.43百万个剩余片段,用于后续分析(表1)。Q30在93%以上,GC占比在47%以上,此结果表明测序质量较好。并将这些剩余片段与二倍体野生草莓(Fragaria vesca)基因组作为参考基因组进行比对,平均有92.97%的片段数比对到参考基因组上,比对到参考基因组多处位置的数目平均值为25.24%,唯一比对位置片段数在64.17%~69.34%,可用于进一步分析。
表1 以二倍体野生草莓作为参考的RNA-seq测序结果与比对分析
Table 1 RNA sequencing and mapping data using the Fragaria vesca as the reference
 
    样品原始测序片段/M剩余片段/MQ30/%GC/%总比对片段数/%多比对位置片段/%唯一比对位置片段/%Control-0d49.3547.9093.7447.7593.3825.0468.34Control-1d49.7548.2994.1347.7592.8424.4468.41Control-2d50.6949.0594.1747.6092.8226.5266.30Control-3d50.5849.4393.7947.6292.7124.6568.05Control-4d48.1646.9293.8447.4192.9325.5567.38Control-5d50.2548.8393.6747.5492.9724.8368.14ERR-1d49.0147.7093.4247.6893.2124.6968.52ERR-2d48.8647.5693.4047.5593.1524.7068.45ERR-3d49.7148.2193.6147.5593.0725.9167.16ERR-4d49.3247.9493.7647.5992.7424.9167.83ERR-5d47.9246.5093.7447.6192.8525.3167.54
注:Q30指测序数据中质量分数≥30%的碱基所占的比例,Q30越高,说明测序数据准确性越高,通常Q30在80%以上,高质量的测序数据Q30在90%以上;GC指鸟嘌呤(G)与胞嘧啶(C)的比例。
将EBR处理组与对照组在贮藏1~5 d的样品进行比较,筛选出FC≥2且P≤0.05的DEGs,结果如图2所示。EBR-1 d与Control-1 d相比,上调基因136个(21.3%),下调基因504个(78.7%);EBR-2 d与Control-2 d相比,上调基因118个(26.5%),下调基因327个(73.5%);EBR-3 d与Control-3 d相比,上调基因187个(28.9%),下调基因461个(71.1%);EBR-4 d与Control-4 d相比,上调基因972个(82.2%),下调基因211个(17.8%);EBR-5 d与Control-5 d相比,上调基因78个(19.8%),下调基因315个(80.2%)。整个贮藏期间累计DEGs共3 309个,反映了EBR处理在不同贮藏时期对草莓果实基因转录水平的影响,为筛选与品质变化及维持AsA/DHA平衡相关的关键基因提供了依据。
 
    图2 草莓果实在20 ℃贮藏5 d期间上调和下调的DEGs数量
Fig.2 The number of DEGs up-regulated and down-regulated in strawberry fruit during storage at 20 ℃ for 5 d
将各组样品中的DEGs进行GO富集分析, GO一般被分为level1、level2 和 level3三个层级。level1 包含生物过程、细胞组成和分子功能三大功能,level2包含生物黏附、细胞和结合等64个条目;level3 即为常规富集使用的数万个条目。对EBR-1 d与Control-1 d、EBR-2 d与Control-2 d、EBR-3 d与Control-3 d、EBR-4 d与Control-4 d、EBR-5 d与Control-5 d相比较的DEGs进行GO功能显著性富集分析筛选出3大功能中lgP值前10的条目,结果如图3所示,在生物过程中,其主要富集在cellular component organization or biogenesis(细胞成分组织或生物发生)、cellular process(细胞过程)、metabolic process(代谢)、response to stimulus(对刺激的反应)等中。在细胞组成中,其主要富集在cell(细胞)、organelle(细胞器)、membrane(细胞膜)等中。在分子功能中,其主要富集在binding(约束力)、catalytic activity(催化活性)、transporter activity(转运蛋白活性)等中。说明EBR处理对采后草莓贮藏过程中果实的代谢与酶的催化功能影响较大,该处理能够较好地保持草莓品质与其对果实代谢和酶催化功能的改变密切相关。
 
    a-EBR-1 d-vs Control-1 d;b-EBR-2 d-vs Control-2 d;c-EBR-3 d-vs Control-3 d;d-EBR-4 d-vs Control-4 d;e-EBR-5 d-vs Control-5 d
图3 草莓果实在20 ℃贮藏5 d期间组间DEGs的二级GO注释分类
Fig.3 Analysis of GO terms (level 2) for DEGs among groups during the 5 d storage of strawberry fruits at 20 ℃
 
    a-AsA合成代谢相关基因表达的热图分析;b-AsA合成代谢相关基因差异性表达情况
图4 EBR处理对采后草莓果实20 ℃贮藏5 d期间AsA合成代谢途径相关基因的转录调控作用
Fig.4 The transcriptional regulatory effects of EBR treatment on genes related to the AsA synthesis metabolic pathway in postharvest strawberry fruits during storage at 20 ℃ for 5 d
本实验通过RNA-seq分析了EBR处理对草莓果实贮藏5 d内AsA合成代谢相关基因表达的影响。共涉及51个基因,包括L-半乳糖途径中的FaPMI、FaPMM、FaGMP、FaGME、FaGGP、FaGalDH和FaGalLDH,肌醇途径中的FaMIOX,D-半乳糖醛酸途径中的FaGalUR以及参与AsA的氧化还原循环的FaAPX、FaMDAR和FaDHAR(图4-a、图4-b)。结果显示,EBR处理后,大部分基因在第1~3天表达量高于对照组,第4~5天低于对照组。筛选出FC>2且P<0.05的基因,其中maker-Fvb5-4-augustus-226.51(FaAPX)和maker-Fvb5-3-augustus-264.47(FaMIOX)变化显著。FaAPX在第2~3天表达量高于对照组,第1天和第4~5天低于对照组;FaMIOX在第1~3天低于对照组,第4~5天高于对照组。FaMIOX为肌醇途径调控肌醇分解的关键基因,参与调节AsA的底物合成。FaAPX为抗坏血酸过氧化物酶(ascorbate peroxidase, APX)的编码基因,在AsA和DHA的转化中发挥重要作用[22]。
为进一步解析转录因子对EBR维持采后草莓果实AsA/DHA平衡的响应及其对关键基因的转录调控关系,对FaMIOX、FaAPX启动子中主要顺式作用元件进行预测,结果如图5所示。FaMIOX、FaAPX启动子中除了包括了抗氧化反应元件(antioxidant response element, ARE)、启动子和增强子区域中的常见顺式作用元件(CAAT-box)、乙烯响应元件(ethylene responsive element, ERE)等,还包括能与WRKY家族转录因子特异性结合的作用元件(W-box),其中,FaMIOX启动子中均含有2个能与WRKY转录因子家族发生结合的W-box作用元件,FaAPX启动子中含有4个W-box,此结果说明,FaMIOX、FaAPX基因有可能受到WRKY家族转录因子的调控,进而参与EBR对草莓果实中AsA/DHA平衡的调控作用。
 
    图5 FaMIOX、FaAPX启动子顺式作用元件分析
Fig.5 Analysis of cis-elements in FaMIOX andFaAPX promoter region
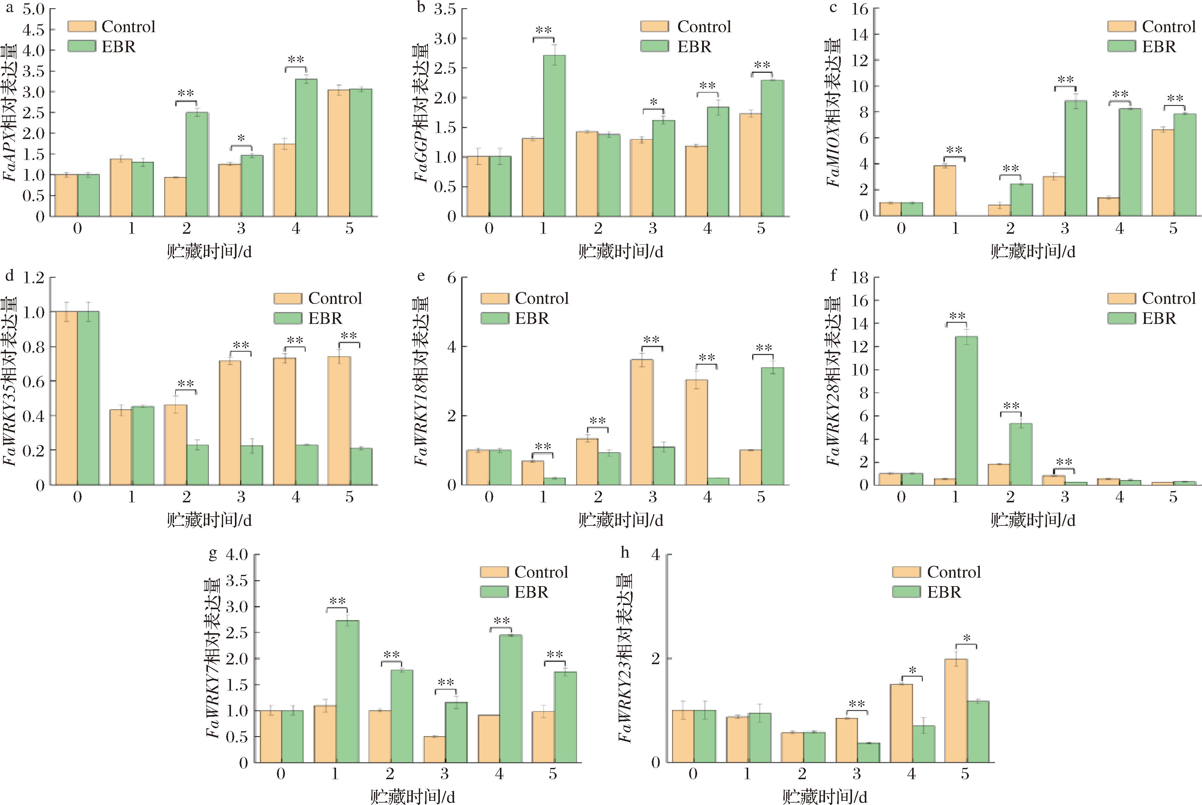
基于RNA-seq数据分析,筛选出与AsA合成代谢密切相关的2个关键基因,即FaAPX和FaMIOX。此外,考虑到FaGGP基因的FC仅次于上述2个基因,且其在L-半乳糖合成途径中将GDP-L-半乳糖催化为L-半乳糖-1-磷酸,具有一定的研究价值。因此本研究将FaGGP一并纳入相对表达量分析。通过qRT-PCR技术对上述3个基因的相对表达量进行了分析,结果如图6所示。与对照组相比,EBR处理后草莓果实中FaAPX(图6-a)、FaGGP(图6-b)和FaMIOX(图6-c)均呈上调趋势。FaAPX和FaMIOX在第2~5天显著上调,FaMIOX在第3天达到峰值,较对照组上调193.69%;FaAPX在第4天达到峰值,较对照组上调89.66%。FaGGP在第1天、第3~5天显著上调,第1天达到峰值后迅速下降49.26%。此外,随机筛选出5个WRKY家族的差异转录因子进行表达量分析(图6)。包括FaWRKY35(maker-Fvb6-1-augustus-164.29)、FaWRKY18(maker-Fvb3-2-augustus-280.44)、FaWRKY28(maker-Fvb5-1-snap-292.63)、FaWRKY7(maker-Fvb2-2-augustus-3.56)、FaWRKY23(maker-Fvb4-4-augustus-72.68)。FaWRKY35(图6-d)在第2~5天显著下调,FaWRKY18(图6-e)在第1~4天显著下调、第5天显著上调,FaWRKY28(图6-f)在第1~2天显著上调、第3天显著下调,FaWRKY7(图6-g)在第1~5天显著上调,FaWRKY23(图6-h)在第3~5天显著下调。说明这些转录因子均参与了EBR处理对草莓果实品质的调控。
 
    a-FaAPX相对表达量;b-FaGGP相对表达量;c-FaMIOX相对表达量;d-FaWRKY35相对表达量;e-FaWRKY18相对表达量;f-FaWRKY28相对表达量;g-FaWRKY7相对表达量;h-FaWRKY23相对表达量
图6 EBR处理草莓果实在20 ℃贮藏5 d期间的8个基因相对表达量水平
Fig.6 The relative expression levels of 8 genes in EBR-treated strawberry fruits during storage at 20 ℃ for 5 d
将上述8个基因(FaAPX、FaGGP、FaMIOX、FaWRKY35、FaWRKY18、FaWRKY28、FaWRKY7、FaWRKY23)的qRT-PCR结果与RNA-seq中的FPKM值进行相关性分析。相关系数为0.858 4,表明RNA-seq结果具有可靠性,同时验证了EBR处理对上述基因转录水平的影响(图7)。
 
    图7 8个基因的qRT-PCR与RNA-seq结果相关性分析
Fig.7 Correlation analysis between qRT-PCR and RNA-seq results of 8 genes
EBR处理可以抑制采后草莓AsA、DHA、总AsA含量的下降,并且能够调节AsA/DHA的比值,这与LI等[16]的研究结果基本保持一致。目前研究表明共有4条途径参与AsA的合成,包括L-半乳糖途径、L-古洛糖途径、D-半乳糖醛酸途径、肌醇途径。其中L-半乳糖途径是目前公认的AsA合成的主要途径,由GDP-D-甘露糖-3′,5′-表型异构酶(GDP-D-mannose-3′,5′-epimerase,GME)、GDP-L-半乳糖磷酸化酶(GDP-L-galactose,GGP)、L-半乳糖-1-磷酸磷酸酶(L-galactose-1-phosphate phosphatase,GPP)等关键基因参与该途径合成AsA。D-半乳糖途径中通过D-半乳糖酸酸还原酶 (D-galacturonate reductase,GalUR)和L-半乳糖-1,4-内酯脱氢酶(L-galactono-1,4-lactone dehydrogenase,GalLDH)与L-半乳糖途径协同合成AsA。L-古洛糖途径通过以L-半乳糖途径的中间物质GDP-D-甘露糖为前体物质,经过GME、GalLDH等催化最终合成AsA。肌醇途径是指肌醇在MIOX的作用下生成D-葡萄糖醛酸,随后,经过葡萄糖醛酸脱氢酶的催化后生成L-古洛糖醛酸,在醛糖内酯酶的作用下,L-古洛糖醛酸转化为L-古洛糖-1,4-内酯,最终合成AsA[5,22]。然而,目前关于肌醇途径的研究甚少。果实中AsA的含量不仅取决于合成途径,还取决于其分解代谢途径。AsA可以作为APX的电子供体,从而被氧化成单脱氢抗坏血酸(monodehydroascorbic acid,MDHA),MDHA会自身歧化为DHA,或者被单脱氢抗坏血酸还原酶(monodehydroascorbate reductase,MDHAR)还原为AsA,DHA则被脱氢抗坏血酸还原酶(dehydroascorbate reductase,DHAR)迅速催化还原成AsA。本研究利用RNA-seq技术分析了EBR处理对采后草莓AsA合成代谢相关基因的影响,并通过测定相关DEGs的表达进一步证实了EBR处理显著提高了采后草莓AsA合成的肌醇途径中FaMIOX的基因表达,同时显著提高了AsA分解途径中FaAPX的基因表达,从一定程度上维持了草莓果实中的AsA/DHA平衡。在猕猴桃的研究中已经证实了FaMIOX基因与AsA的积累有关[22]。紫外处理豌豆苗,可以显著提高其AsA含量以及FaMIOX表达水平[23]。此外,晋莹莹[5]利用八硼酸钠处理草莓后发现,该处理可提高草莓AsA、DHA、总AsA含量及AsA/DHA比值,并且可以提高草莓FaAPX基因表达量,草莓FaAPX基因表达与AsA含量呈现相关性。这些研究都揭示了FaMIOX及FaAPX基因在植物AsA代谢中的关键作用,与本研究结果相一致。上述研究表明,外源EBR通过上调肌醇合成途径以及AsA分解代谢途径中关键基因的表达,提高了采后草莓中AsA、DHA、总AsA含量,保持了草莓果实中AsA/DHA的平衡。
本研究还通过对转录因子的筛选,筛选了可能对DEGs起转录作用的WRKY家族转录因子,该家族的转录因子已被证实与植物采前及采后的诸多生理过程相关。姚苗苗[24]对青椒的研究中发现,CaWRKY32和CaWRKY20可以在脱落酸处理下促进CaAPX1基因的表达,提高青椒的抗氧化能力。洪长勇[25]研究发现,ZmWRKY4转录因子可能通过参与ZmSOD4和ZmAPX的基因表达从而参与了玉米的抗氧化防护过程。本研究发现,EBR处理激活了草莓果实中FaMIOX和FaAPX的基因表达,且这2个DEGs的基因启动子区均含有WRKY转录因子的顺式作用元件W-box,这说明FaMIOX和FaAPX均可能受到WRKY家族转录因子的调控,为后续深入探究本研究中筛选得到的5个WRKY家族差异转录因子与FaMIOX和FaAPX之间的关系提供了依据。
综上所述,本研究阐明了5 μmol/L的EBR喷洒处理对采后草莓果实(20±1) ℃贮藏5 d期间AsA代谢的具体影响,揭示了EBR维持草莓果实中AsA/DHA平衡的机理。利用RNA-seq技术解析了EBR处理对采后草莓AsA合成代谢相关基因表达谱的影响,明确了FaAPX和FaMOIX是EBR维持草莓AsA平衡的关键基因,且WRKY转录因子可能参与了对FaAPX和FaMOIX表达的调控,并明确了对EBR调节草莓果实AsA/DHA平衡具有明显响应的5个WRKY差异转录因子,研究结果可为深入探究WRKY转录因子参与EBR调控采后草莓果实AsA合成代谢的转录调控作用提供依据。
[1] 潘少香, 刘雪梅, 郑晓冬, 等.基于质构分析的鲜食草莓质地感官品质综合评价[J].食品科技, 2023, 48(8):37-43.PAN S X, LIU X M, ZHENG X D, et al.Comprehensive evaluation of texture sensory quality of fresh strawberry based on texture analysis[J].Food Science and Technology, 2023, 48(8):37-43.
[2] DAVEY M W, MONTAGU M V, INZÉ D, et al.Plant L-ascorbic acid:Chemistry, function, metabolism, bioavailability and effects of processing[J].Journal of the Science of Food and Agriculture, 2000, 80(7):825-860.
[3] ZHANG J Y, WANG C, CHEN C K, et al.Glycine betaine inhibits postharvest softening and quality decline of winter jujube fruit by regulating energy and antioxidant metabolism[J].Food Chemistry, 2023, 410:135445.
[4] LI C, TAO J Q, WU Z X.Gaseous ozone regulates reactive oxygen species metabolism and ascorbate-glutathione cycle to delay the senescence of fresh-cut red pitaya (Selenicereus undatus) fruit[J].Scientia Horticulturae, 2023, 312:111839.
[5] 晋莹莹. 八硼酸钠对“红颜”草莓果实品质的影响及调控AsA积累的生理机制[D].新乡:河南科技学院, 2022.JIN Y Y.Effect of sodium octaborate on fruit quality of “Beinihoppe” strawberry and the physiological mechanism for the regulation of AsA accumulation in strawberry fruit by sodium octaborate[D].Xinxiang:Henan Institute of Science and Technology, 2022.
[6] 刘帆. 磁场对草莓果实冷藏品质和生理代谢的影响[D].无锡:江南大学, 2023.LIU F.Effects of magnetic field on quality and physiological metabolism of strawberry during cold storage[D].Wuxi:Jiangnan University, 2023.
[7] TOPPING J F, MAY V J, MUSKETT P R, et al.Mutations in the HYDRA1 gene of Arabidopsis perturb cell shape and disrupt embryonic and seedling morphogenesis[J].Development, 1997, 124(21):4415-4424.
[8] DIENER A C, LI H X, ZHOU W X, et al.Sterol methyltransferase 1 controls the level of cholesterol in plants[J].The Plant Cell, 2000, 12(6):853.
[9] SOUTER M, TOPPING J, PULLEN M, et al.Hydra mutants of Arabi-dopsis are defective in sterol profiles and auxin and ethylene signaling[J].The Plant Cell, 2002, 14(5):1017-1031.
[10] 钟文, 张珊, 王传方, 等.油菜素内酯调控植物生长发育的研究进展[J].山东农业科学, 2024, 56(8):173-180.ZHONG W, ZHANG S, WANG C F, et al.Research progress on regulatory roles of brassinosteroids in plant growth and development[J].Shandong Agricultural Sciences, 2024, 56(8):173-180.
[11] 王孟珂. 2,4-表油菜素内酯对银杏类黄酮代谢的影响及相关基因的功能研究[D].南京:南京林业大学, 2022.WANG M K.Effects of EBR on flavonoid metabolism of Ginkgo biloba and functional of related genes[D].Nanjing:Nanjing Forestry University, 2022.
[12] CHEN Y H, WANG Y L, CHEN H Z, et al.Brassinosteroids mediate endogenous phytohormone metabolism to alleviate high temperature injury at panicle initiation stage in rice[J].Rice Science, 2023, 30(1):70-86.
[13] 王军萍, 宋留丽, 郁志芳.2, 4-表油菜素内酯处理对不同温度贮藏中小白菜品质和生理生化的影响[J].食品工业科技, 2022, 43(9):349-358.WANG J P, SONG L L, YU Z F.Effects of 2, 4-epibrassinolide treatment on quality, physiology and biochemistry of pakchoi (Brassica chinensis L.) during storage at different temperatures[J].Science and Technology of Food Industry, 2022, 43(9):349-358.
[14] MIN Z, JIANG L, ZHAO Y M, et al.Effects of 24-epibrassinolide on the postharvest quality and antioxidant activities of blueberry fruits[J].New Zealand Journal of Crop and Horticultural Science, 2025, 53(1):53-66.
[15] LI M L, LUO L L, LIU L N, et al.Transcriptomic analysis reveals the key genes involved in EBR inducing resistance against Botrytis cinerea in postharvest strawberries[J].Scientia Horticulturae, 2025, 343:114072.
[16] LI M L, CHI H M, SUN L L, et al.Spraying 2, 4-epibrassinolide maintains the quality attributes and activates reactive oxygen species metabolism of postharvest strawberries[J].Scientia Horticulturae, 2024, 331:113123.
[17] 刘照宇, 刘新婷, 白新宇, 等.黄皮转录组测序及抗氧化相关基因的挖掘[J].食品科学, 2022, 43(2):199-209.LIU Z Y, LIU X T, BAI X Y, et al.Transcriptome sequencing of Clausena lansium and mining of antioxidation-related genes[J].Food Science, 2022, 43(2):199-209.
[18] 汪开拓, 雷长毅, 黎春红, 等.BABA处理对草莓采后灰霉病的控制及其转录组学分析[J].果树学报, 2020, 37(11):1744-1757.WANG K T, LEI C Y, LI C H, et al.Effect of BABA treatment on controlling grey mould disease of postharvest strawberries and transcriptomic analysis[J].Journal of Fruit Science, 2020, 37(11):1744-1757.
[19] 汪月宁, 代红军, 贺琰, 等.基于转录组分析油菜素内酯对高温胁迫下酿酒葡萄花色苷合成及果实品质的调控机制[J].中国农业科学, 2023, 56(6):1139-1153.WANG Y N, DAI H J, HE Y, et al.Regulation mechanism of brassinolide on anthocyanins synthesis and fruit quality in wine grapes under high temperature stress based on transcriptome analysis[J].Scientia Agricultura Sinica, 2023, 56(6):1139-1153.
[20] MEYER A J.The integration of glutathione homeostasis and redox signaling[J].Journal of Plant Physiology, 2008, 165(13):1390-1403.
[21] CHANG S J, PURYEAR J, CAIRNEY J.A simple and efficient method for isolating RNA from pine trees[J].Plant Molecular Biology Reporter, 1993, 11(2):113-116.
[22] 高丽杨. 不同基因型猕猴桃果实抗坏血酸水平差异比较与分析[D].雅安:四川农业大学, 2019.GAO L Y.Difference comparison and analysis of antioxidant substance and antioxidant capability in different kiwifruit genotypes[D].Ya’an:Sichuan Agricultural University, 2019.
[23] 徐英豪. 基于转录组和蛋白组的紫外辐照对豌豆苗抗坏血酸和类黄酮代谢调控研究[D].沈阳:沈阳农业大学, 2022.XU Y H.Transcriptomic and proteomic-based studies on the regulation of ascorbic acid and flavonoids metabolism in pea seedlings by UV irradiation[D].Shenyang:Shenyang Agricultural University, 2022.
[24] 姚苗苗. 转录因子CaWRKY32/CaWRKY20协同调控抗氧化关键基因CaAPX1介导采后青椒冷害发生的分子机制[D].沈阳:沈阳农业大学, 2023.YAO M M.Molecular mechanism of CaAPXl regulated by transeription factor CaWRKY32/20 mediating the chilling injury of postharvest bell pepper[D].Shenyang:Shenyang Agricultural University, 2023.
[25] 洪长勇. 玉米ZmWRKY4参与ZmMPK5调节的抗氧化防护[D].南京:南京农业大学, 2012.HONG C Y.ZmWRKY4 is involved in the antioxidant defense modulated by ZmPK5 in maize[D].Nanjing:Nanjing Agricultural University, 2012.