草莓,蔷薇科多年生草本植物,其果实营养价值高,口感好,不仅含有丰富的维生素、矿物质、花青素等多种对人体有益的营养物质,还具有生津止渴、帮助肠胃蠕动、促进血液循环与肠胃吸收等作用[1]。现代医学研究表明,草莓中含有超氧化物歧化酶,能清除人体内有害的过氧化物,具有延年益寿的功效[2]。但是草莓含水量高,皮薄、组织娇嫩,易受外界微生物的侵扰使果实腐烂变质。草莓的保鲜一直是食品科学研究的重点之一,目前对于果蔬保鲜技术主要有热处理、低温贮藏、气调贮藏等,虽然这些保鲜技术可以在一定程度上延长草莓的保质期,但其成本和技术要求相对较高,限制了在果蔬保鲜中的应用。
海藻酸钠(sodium alginate,SA)是一种无毒、来源广、生物可降解性好、成本低的多糖[3],在医药及食品工业领域应用较广。但是,作为食品保鲜材料,海藻酸钠的力学性能、抗菌性能、保鲜性受到严峻的考验,这限制了海藻酸钠保鲜膜的应用。壳聚糖(chitosan,CS)成膜性能好,但水蒸气阻隔性能较差,脆性严重,而海藻酸钠具有良好的保水性能,与壳聚糖存在一定的氢键和静电相互作用。二者的结合显著提高了复合膜的保水性能和力学性能[4]。硒是一种人体必不可缺的金属类微量营养素,在人体深度参与多种蛋白质的构建过程,不仅能够有效防止细胞受损,还能精确调控甲状腺功能,并且有助于维持免疫系统的稳定状态[5]。纳米硒被认为是一种新型的硒补充剂,毒性较低且生物活性较高,具有杀菌和抗菌能力[6],其在动物养殖、生物医药和植物营养等领域已有较为广泛的应用,但在果蔬保鲜方面还鲜有报道。
海藻酸钠和壳聚糖作为天然高分子材料,具有很好的生物相容性和成膜性,而纳米硒作为一种新型纳米材料,具有很好的抑菌性和抗氧化性。因此,本文将海藻酸钠、壳聚糖和纳米硒结合制备一种新型复合膜,通过对复合膜的性能测试和草莓的保鲜应用分析,探讨该复合膜在果蔬中的保鲜效果,为水果保鲜提供新的思路和方法。
新鲜草莓,市售;海藻酸钠,天津市登封化学试剂厂;壳聚糖、亚硒酸钠,上海麦克林生化科技有限公司;抗坏血酸,湖南比克曼生物科技有限公司;NaCl、丙三醇、冰乙酸、无水氯化钙,天津市大茂化学试剂厂;KBr、酚酞,天津市科密欧化学试剂有限公司;邻苯二甲酸氢钾,上海百舜生物技术有限公司;浓硫酸、HCl、NaOH,郑州派尼化学试剂厂;LB营养琼脂固体培养基,杭州百思生物技术有限公司。
Nicolet iS50傅里叶变换红外光谱仪,赛默飞世尔科技有限公司;ZEISS Sigma 300扫描电子显微镜,上海滴冠实业有限公司;TMS-PRO质构仪,北京盈盛恒泰科技有限责任公司;LS182太阳膜测试仪,深圳市林上科技有限公司;VYJG-9920鼓风干燥箱,杭州亿捷科技有限公司;LDZM-80L-III高压蒸汽灭菌锅,上海申安医疗器械厂;SW-CJ2FD超净工作台,上海坤城科学仪器有限公司;DPH-260恒温培养箱,上海梅香仪器有限公司;JW-2016H离心机,安徽嘉文仪器有限公司;GY-2手持硬度计,衢州艾普计量仪器有限公司。
1.3.1 纳米硒的制备
向10 mmol/L Na2SeO3溶液中加入30 mmol 维生素C进行还原,将其置于水浴磁力搅拌器避光搅拌30 min,使其充分混匀。
1.3.2 海藻酸钠/壳聚糖/纳米硒复合膜的制备
称取1.5 g海藻酸钠溶于100 mL蒸馏水中,使其充分溶解;称取1.5 g壳聚糖溶于体积分数为98%的冰乙酸中,充分溶解。将海藻酸钠与壳聚糖溶液按质量比0∶1、1∶0、1∶1、2∶1、1∶2混合,加入1 g甘油和2 mL纳米硒溶液搅拌30 min,混合均匀。将45 mL的膜液均匀倒在亚克力板上,45 ℃干燥8 h,取出自然晾干一定时间,成膜。将揭下来的膜放在室温下,备用待测。技术路线如图1所示。
 
    图1 海藻酸钠/壳聚糖/纳米硒复合膜制备的技术路线
Fig.1 Technology roadmap for preparation of sodium alginate/chitosan/nano selenium composite film
1.3.3 SA/CS/纳米硒复合膜性能测定
1.3.3.1 复合膜厚度测定
根据GB/T 6672—2001《塑料薄膜和薄片 厚度测定 机械测量法》,用螺旋测微器在SA/CS/纳米硒复合膜上随机取点测定复合膜厚度,以mm为单位。
1.3.3.2 透光性的测定
选择聚乙烯(polyethylene,PE)保鲜膜作对比,使用太阳能膜测试仪测定SA/CS/纳米硒复合膜的紫外线阻隔和可见光透过性能[7]。
1.3.3.3 复合膜水分含量的测定
参考陈顺心等[8]方法:将复合膜剪成1 cm×1 cm的正方形,称其质量记为m1(g),然后将其置于玻璃培养皿中称质量记为m2(g),在105 ℃鼓风干燥至恒重,置于干燥器中冷却至室温,称质量记为m3(g),水分含量按照公式(1)计算:
水分含量
(1)
1.3.3.4 复合膜机械性能的测定
参考刘海鹏等[9]方法:根据GB/T 1040.3—2006《塑料 拉伸性能的测定 第3部分:薄塑和薄片的试验条件》,分别按照公式(2)、公式(3)计算复合膜的抗拉强度和断裂伸长率:
 
   (2)
式中:T,样品的抗拉强度,MPa;F,膜断裂时的压力,N;S1,膜的横截面积,mm2。
 
   (3)
式中:E,断裂伸长率,%;L,断裂时的长度,mm;L0,初始长度,mm。
1.3.3.5 水蒸气透过率(water vapor permeability,WVP)的测定
参考张金凤等[10]方法稍作修改,对5组复合膜依次测定。室温下,将干燥的无水CaCl2粉末加入到塑料盒中,至盒口5 mm左右。选取膜光滑平整的部分,放置在塑料盒上,胶带封口,称重。将该塑料盒放入底部为蒸馏水的干燥器内,2 d后取出塑料盒并称重。水蒸气透过率按公式(4)计算:
 
   (4)
式中:WVP,水蒸气透过率,×10-12[g/(cm·s·Pa)];Δm,稳定后膜的增重,g;d,复合膜的厚度,cm;S2,样品膜的试验面积,cm2;T,两次测量时间间隔,s;ΔP,薄膜两侧水蒸气压差,2 154.92 Pa。
1.3.3.6 CO2透过率的测定
参考杨洁茹等[11]的方法并稍作修改,在塑料杯中加入10 mL浓NaOH溶液,把复合膜固定在杯口,2 d后取出,称重。CO2透过率根据公式(5)计算:
 
   (5)
式中:QCO2,待测膜CO2透过速率,g/(cm2·d);Δm1,NaOH吸收CO2质量,g;T1,测试周期,d;S3,杯口面积,cm2。
1.3.3.7 复合膜抑菌性能的测定
参照梁宇杰等[12]的方法,以大肠杆菌为指示菌,采用平板法测定复合膜对大肠杆菌的抑菌作用。把培养好的大肠杆菌用9 g/L生理盐水稀释到10-6 CFU/mL,接种在LB营养琼脂固体培养基上,将复合膜裁剪成6 mm的圆形放到培养基的中间,将培养基放置在37 ℃的微生物培养箱中培养24 h,利用游标卡尺对抑菌圈直径进行测量。
1.3.4 SA/CS/纳米硒复合膜红外光谱分析
根据对5种不同质量比的SA/CS/纳米硒复合膜进行扫描分析。将待测样品烘干捣碎成粉末状,与KBr按1∶100的质量比进行压片处理。扫描范围在4 000~400 cm-1,分辨率4 cm-1,扫描次数32次[13]。
1.3.5 SA/CS/纳米硒复合膜的微观结构表征
用扫描电子显微镜(scanning electron microscope,SEM)对SA/CS/纳米硒复合膜的表面形貌进行分析[11]。将样品裁成方形,放置在贴有导电胶的小圆台上,进行喷金处理后置于扫描电子显微镜中进行测试,仪器电压15 kV,放大倍数1 500倍。
1.3.6 复合膜对草莓的保鲜效果
挑选果型大小相近、色泽接近、外表无腐烂或伤痕的草莓,按照预定方案分为6个处理组:5个实验组和1个空白对照组,对应SA/CS/纳米硒复合膜保鲜编号依次为对照组(CK组)、实验组海藻酸钠与壳聚糖分别为1∶0、0∶1、1∶1、2∶1、1∶2(分别用字母SA、CS、S1C1、S2C1、S1C2表示)。选取失重率、腐烂率、维生素C含量、可滴定酸含量等指标测定草莓分别在第0、1、3、5、7天的储藏品质。
1.3.6.1 硬度的测定
用果实(手持硬度计)对草莓硬度测定。从样品组中随机抽取3个草莓,对每个草莓在不同位置进行硬度测量,取测量结果的平均值作为该组草莓的有效硬度值。
1.3.6.2 失重率的测定
在相同贮藏时间内,与初始质量相比,按照公式(6)计算草莓的失重率:
失重率
(6)
式中:m3,草莓初始质量,g;m4,每到一个储藏时间草莓的质量,g。
1.3.6.3 腐烂率的测定
草莓腐烂率以外观检测是否出现腐烂为参考标准。腐烂率按照公式(7)进行计算:
腐烂率
(7)
1.3.6.4 维生素C含量的测定
参考曹建康等[14]的方法,采用紫外快速测定法。制作维生素C标准曲线(y=0.537 6x-0.008 3,R2=0.998 3),取5.0 g草莓果肉置于研钵中,加入2 mL体积分数为1%的盐酸溶液研磨,将匀浆转移至50 mL的容量瓶中,用蒸馏水定容,将定容好的溶液转移至离心管,800 r/min,离心10 min,记录液体体积。取2 mL离心液,加入2 mL体积分数为10%的HCl溶液,转移至50 mL容量瓶中,加蒸馏水定容至刻度线。以蒸馏水为空白,在波长287 nm处测定吸光值。然后将吸光值带入标准曲线,根据公式(8)计算草莓中维生素C的含量。
维生素C含量
(8)
式中:c,根据标准曲线计算得出维生素的质量浓度,μg/mL;V总,研磨后样品定容总体积,mL;V待测,待测样品总体积,mL;V1,测定时吸取样液体积,mL;W总,果蔬质量,g。
1.3.6.5 可滴定酸含量的测定
参考曹建康等[14]的方法,采用NaOH滴定法。配制0.05 mol/L的NaOH溶液。滴定前使用邻苯二甲酸氢钾标定NaOH溶液。称取草莓果肉5.0 g,研磨充分后,转移至50 mL容量瓶中,定容至刻度,摇匀。静置30 min后过滤。吸取20.0 mL上清液,加入酚酞指示剂,用NaOH溶液滴定至溶液为微红色,并在半分钟内不褪色,记录滴定消耗NaOH溶液体积。根据公式(9)计算可滴定酸含量。
可滴定酸含量
(9)
式中:V总,样品提取液总体积,mL;V样,滴定时所取上清液体积,mL;c1,NaOH滴定液浓度,mol/L;V滴定,滴定消耗NaOH溶液体积,mL;m,样品质量,g;f,折算系数,0.067 g/mmol。
所有实验设置3个平行,结果以“平均值±标准差”表示。数据采用SPSS 27、Excel 2019计算分析,使用Origin 2021绘图。
2.1.1 对水分和厚度的影响
在复合膜制备过程中,海藻酸钠与壳聚糖在复合时会形成不同的网络结构,这些结构会影响成膜性。从表1可以看出,SA/CS质量比对复合膜厚度略有影响,对复合膜水分含量有显著影响,不同SA/CS质量比制得的复合膜水分含量均低于40%,不利于绝大多数微生物的生长。因为复合膜具有一定吸水性,若复合膜水分含量过高则有利于微生物的生长繁殖,失去保鲜特性,而低水分含量能抑制食品的化学变化和微生物生长繁殖[8]。当SA/CS质量比为1∶2时,复合膜的水分含量最低,说明两者可能形成了更加紧密且稳定的网络结构,使得膜在制备过程中成型效果较好。
表1 SA/CS质量比对复合膜水分和厚度的影响
Table 1 Effect of SA/CS mass ratio on the moisture content and thickness of the composite film
 
    SA与CS质量比膜厚度/mm水分含量/%1∶00.045±0.002a36.49±5.12ab0∶10.045±0.001a31.07±2.29b1∶10.043±0.003a29.31±3.07b2∶10.047±0.003a39.53±5.25a1∶20.053±0.002a19.69±3.28c
注:同列不同小写字母表示差异显著(P<0.05)。
2.1.2 对机械性能的影响
薄膜的力学性能与其形成的网络中分子间和分子内的相互作用力有关。复合膜的抗拉强度可以描述薄膜抵抗拉伸的能力,抗拉强度越高,表明复合膜能够承受的力越大;复合膜的断裂伸长率可以描述薄膜的弹性和柔韧性,断裂伸长率越高,复合膜的弹性和柔韧性越好[15]。SA/CS质量比对复合膜的抗拉强度和断裂伸长率如图2所示,当SA与CS质量比为1∶2时,复合膜抗拉强度和断裂伸长率均达到最大值,说明复合膜此时具有较强的稳定性,这可能是因为海藻酸钠与壳聚糖有很好的相互作用,混合后形成稳定的结构,有助于提高复合膜的抗拉强度和断裂伸长率。
 
    图2 SA/CS质量比对复合膜机械性能的影响
Fig.2 Effect of SA/CS mass ratio on the mechanical properties of composite film
注:同一指标不同小写字母表示差异显著(P<0.05)(下同)。
2.1.3 对透光性的影响
紫外光在食品保鲜中,会加快食品的降解和氧化,造成食品的营养成分流失[16]。SA与CS质量比对复合膜的透光性和紫外阻隔率的影响如图3所示,使用PE保鲜膜作为对照,可以更直观地了解复合膜的透明度。由图3可知,5个试验组的透光率均显著低于对照组,紫外阻隔率均显著高于对照组,说明不同SA与CS质量比复合膜均显示出一定的紫外可见光阻隔性能,其中,CS组呈现最好的可见光和紫外线阻隔率,而SA、S1C1、S1C2组复合膜透光率之间差异不显著。当SA∶CS质量比为1∶2时,复合膜透光率为72.3%,紫外阻隔率为35.7%,与PE保鲜膜相比,该复合膜的可见光和紫外线阻隔较好,由2.1.1节和2.1.2节结果可知,可能是此时复合膜中的海藻酸钠与壳聚糖两者之间的结构更为致密,使复合膜的透光率降低,能够有效的防止光辐射对食品造成损害。
 
    图3 SA/CS质量比对复合膜透光性的影响
Fig.3 Effect of SA/CS mass ratio on the transparency of composite film
2.1.4 对水蒸气透过率的影响
水蒸气透过率是衡量薄膜作为果蔬包装材料性能的重要指标之一。薄膜的水蒸气透过率大,会导致果蔬失水萎蔫,不利于长期贮藏;薄膜的水蒸气透过率小,包装内部会因果实呼吸作用发生“结露”现象,导致微生物迅速生长繁殖致使果蔬腐败变质。适宜的水蒸气透过率既可以维持适宜的湿度,又不会使包装内部产生结露,从而达到较好的保鲜效果[17]。SA与CS质量比对复合膜水蒸气透过率的影响如图4所示。当SA与CS质量比为2∶1时,水蒸气透过率值最低,原因可能是海藻酸钠中聚阴离子负载的COO-与壳聚糖负载的NH4+的相互作用,海藻酸钠在水中呈现聚阴离子行为,而壳聚糖在稀酸中呈现聚阳离子行为,阻碍了水分子与膜基质中极性基团之间的相互作用[18]。当SA与CS质量比为1∶2时,水蒸气透过率值最高,可能是因为壳聚糖为亲水性物质,壳聚糖含量高有利于水蒸气的透过,郭婕等[19]也发现了类似的规律。
 
    图4 SA/CS质量比对复合膜水蒸气透过率的影响
Fig.4 Effect of SA/CS mass ratio on the water vapor permeability of composite film
2.1.5 对CO2透过率的影响
果蔬在贮藏过程中容易发生腐败变质的现象,这与其周围的水分和气体环境有着密切的联系。具有高CO2/O2选择性和合适H2O渗透性的透气膜可以为果蔬提供低O2浓度和高CO2浓度的理想气体环境,从而有效延长其贮藏期[20]。SA与CS质量比对复合膜CO2透过率的影响如图5所示,CO2透过率越低,说明复合膜对CO2的阻隔性能越好。由图5可知,SA组复合膜的CO2透过率最低,说明海藻酸钠对CO2的阻隔性较好;S1C1组和S2C1组复合膜的CO2透过率均低于CS组,说明在壳聚糖复合膜中添加一定比例的海藻酸钠时,能够提高复合膜的CO2阻隔性;而S1C2组复合膜的CO2透过率高于CS组,即其CO2阻隔性相对较弱。这可能是因为带负电荷的海藻酸钠与带正电荷的壳聚糖通过正负电荷作用,交联形成网状结构提高了复合膜的阻气效能[21],但若壳聚糖占比较高,溶液中聚氧离子含量增加,pH下降,溶液中聚阴离子的解离受到抑制,复合物形成困难[22],导致海藻酸钠自身阻气截留优势丧失。
 
    图5 SA/CS质量比对复合膜CO2透过率的影响
Fig.5 Effect of SA/CS mass ratio on on the CO2permeability of composite film
根据卫生部印发的《消毒技术规范》(2002年版),抑菌圈直径小于7 mm没有抑菌效果,抑菌圈直径越大,抑菌效果越好。由图6和图7可知,5组复合膜都显示出明显的抑菌作用。CS组抑菌圈直径大于SA组,说明壳聚糖的抑菌性比海藻酸钠强;S1C1、S2C1和S1C2组抑菌圈直径均大于SA组,其中S1C2组抑菌圈直径达到5组最高值19.99 mm,抑菌效果最好,说明纳米硒与海藻酸钠和壳聚糖结合后,形成了更加稳定且高效的复合物,从而提高了复合膜的抗菌性能[23]。
 
    图6 海藻酸钠/壳聚糖/纳米硒复合膜对大肠杆菌的抑菌效果
Fig.6 Antibacterial effect of sodium alginate/chitosan/nano-selenium composite film on Escherichia coli
 
    图7 SA/CS质量比对复合膜抗菌性能的影响
Fig.7 Effect of SA/CS mass ratio on the antibacterial properties of composite film
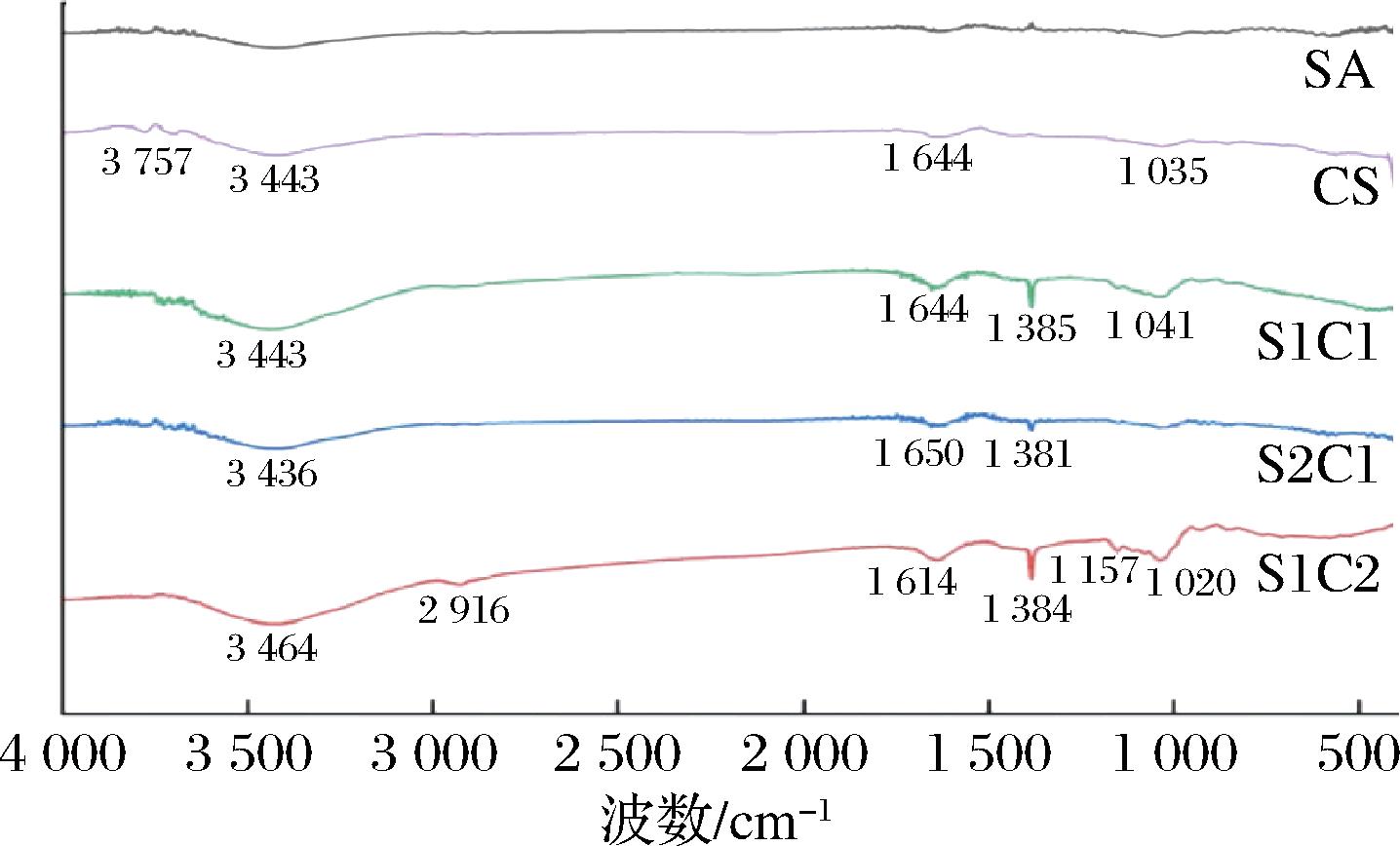
如图8所示,在S1C2光谱3 464 cm-1处、S2C1光谱3 436 cm-1处、S1C1和CS光谱3 443 cm-1处均为羟基O—H键的伸缩振动吸收峰;在S1C2光谱1 384 cm-1处、S2C1光谱1 381 cm-1处和S1C1光谱1 385 cm-1处,出现一个较弱峰值,该峰为C—H键弯曲振动和C—O—C的伸缩振动引起。而SA膜中未出现新的吸收峰,整体呈现平缓的趋势,可能是由于复合膜的透光效果较差,使得吸收峰的形成受到干扰。S1C2与CS膜在3 700~3 500 cm-1峰宽变宽,说明复合膜之间的氢键作用增强,相容性较好[24]。
 
    图8 海藻酸钠/壳聚糖/纳米硒复合膜的傅里叶变换红外光谱图
Fig.8 Fourier transform infrared spectroscopy of sodium alginate/chitosan/nano selenium composite film
通过SEM可以更加直观地观察复合膜的结构,如表面是否光滑平整,膜的层次及排列是否紧密有序,以及各种成分在复合膜中分布的均匀度等。由图9可知,5组复合膜的微观结构均没有出现空隙、分离的现象,可能是因为海藻酸钠中的聚阴离子与壳聚糖之间的聚阳离子在一定条件下混合,通过静电作用相互吸引,形成了络合结构,促进了海藻酸钠与壳聚糖之间的紧密结合[5]。但复合膜表面出现颗粒状物质,这可能是纳米硒的添加所致,使得复合膜表面略微粗糙。SA组和CS组复合膜表面平整无褶皱,说明海藻酸钠和壳聚糖成膜性能良好。而S1C1、S2C1和S1C2组复合膜有明显褶皱形成,可能是因为海藻酸钠与壳聚糖复配溶解性较差,能够形成聚离子复合物析出[19]。其中,S1C2组复合膜褶皱和表面颗粒物均较少,显示出较好的成膜性。
 
    图9 海藻酸钠/壳聚糖/纳米硒复合膜的SEM图
Fig.9 SEM images of sodium alginate/chitosan/nano selenium composite film
2.5.1 复合膜对草莓硬度的影响
硬度可以反映果蔬新鲜度,在果蔬贮藏期间,由于呼吸作用、水分流失、细胞壁成分降解等因素,导致果实软化、硬度变小[25]。从图10可以看出,随着贮藏时间的增加,草莓的硬度逐渐降低,CK组草莓硬度下降最快,5组复合膜均显示出一定的抑制草莓硬度下降的效果,说明不同SA与CS质量比的复合膜均能够抑制草莓的呼吸作用和减缓水分蒸发,从而有效地维持果实的硬度。其中S1C2组的抑制效果最好,其次是S2C1组,SA组、CS组和S1C1组的抑制效果差别不大。
 
    图10 不同质量比海藻酸钠/壳聚糖/纳米硒复合膜对草莓硬度的影响
Fig.10 Effect of different mass ratios of sodium alginate/chitosan/nano selenium composite films on the hardness of strawberries
2.5.2 复合膜对草莓腐烂率的影响
由图11可知,在贮藏期间,CK组和5个实验组的草莓腐烂率均随贮藏时间的增加而升高,CK组的腐烂率最高,在贮藏第7天达到91.7%;SA组仅次于CK组,纯SA膜处理的草莓腐烂率较高,可能是因为海藻酸钠作为亲水性基材,其含量较高时,复合膜的水分吸收能力较强,有利于微生物的生长繁殖。S1C2组草莓腐烂率始终保持最低,在第7天的腐烂率仍然在在40%以下,具有较好的抑制草莓腐烂的效果。可能是因为壳聚糖和纳米硒均具有较好的抑菌作用,能够有效阻止微生物的侵入[26]。
 
    图11 不同质量比海藻酸钠/壳聚糖/纳米硒复合膜对草莓腐烂率的影响
Fig.11 Effect of different mass ratios of sodium alginate/chitosan/nano selenium composite film on strawberry decay rate
2.5.3 复合膜对草莓失重率的影响
从图12可以看出,随着贮藏时间的延长,草莓的失重率逐渐升高,CK组草莓的失重率在贮藏后期迅速升高。5组复合膜处理均能够一定程度上抑制草莓的质量损失,尤其是当贮藏时间超过5 d时,5组草莓的失重率均明显低于CK组。这可能是因为壳聚糖和海藻酸钠均是良好的成膜基质,与纳米硒复配形成的复合膜能够有效抑制草莓的呼吸和蒸腾作用,使得草莓果实保持较低失重率。其中,S1C2组复合膜处理的草莓失重率最低,这可能是因为该复合膜虽然具有相对较高的水蒸气透过率和CO2透过率,但是其抑菌性能最强,相对于其他处理组最适合草莓的贮藏需求,保鲜效果最好。
 
    图12 不同质量比海藻酸钠/壳聚糖/纳米硒复合膜对草莓失重率的影响
Fig.12 Effect of different mass ratios of sodium alginate/chitosan/nano selenium composite films on the weight loss rate of strawberries
2.5.4 复合膜对草莓维生素C含量的影响
维生素C是草莓的重要营养成分之一,贮藏期间容易氧化分解导致含量下降。由图13可知,维生素C的含量随着贮藏时间的延长逐渐下降,CK组的维生素C含量整体下降幅度最大,维生素C损失速度较快。与对照相比,5组复合膜处理均显示出一定的抑制维生素C下降的效果。说明不同SA/CS质量比的纳米硒复合膜对草莓均起到了一定的抗氧化作用,这可能与复合膜的气体阻隔性和纳米硒的强抗氧化性有关。其中,S1C2组草莓在整个贮藏期间维生素C含量均高于其他组,说明当SA与CS质量比为1∶2时,海藻酸钠/壳聚糖/纳米硒复合膜能够有效减慢草莓维生素C的氧化和降解,延长草莓的保质期。
 
    图13 不同质量比海藻酸钠/壳聚糖/纳米硒复合膜对草莓维生素C含量的影响
Fig.13 Effect of different mass ratios of sodium alginate/chitosan/nano selenium composite films on the vitamin C content of strawberries
2.5.5 复合膜对草莓可滴定酸含量的影响
图14为草莓贮藏期间可滴定酸含量的变化趋势,随着贮藏时间的延长可滴定酸含量逐渐下降,CK组草莓可滴定酸含量下降幅度最大,5组复合膜均显示出一定的抑制可滴定酸下降的效果。在贮藏的第1天,SA组可滴定酸含量最高,抑制效果最好,但是随着贮藏时间的延长,SA组可滴定酸含量迅速下降。这可能是因为SA组复合膜具有较高的CO2阻隔性,能够较好地抑制草莓的呼吸作用,所以在贮藏初期能够有效抑制可滴定酸含量的下降,但SA组抑菌性能不如其他组,随着贮藏时间的延长,微生物生长繁殖导致草莓的可滴定酸含量下降。而S1C2组的可滴定酸含量除了在贮藏第1天时低于SA组外,其含量在贮藏后期均高于其他组,显示出较好的抑制可滴定酸下降的效果。结果表明海藻酸钠/壳聚糖/纳米硒复合膜能够有效减缓有机酸转化成糖的速度,减少可滴定酸的消耗,维持贮藏品质。
 
    图14 不同质量比海藻酸钠/壳聚糖/纳米硒复合膜对草莓可滴定酸含量的影响
Fig.14 Effect of different mass ratios of sodium alginate/chitosan/nano selenium composite films on the titratable acid content of strawberries
本文以5种不同比例的海藻酸钠和壳聚糖为成膜基质,甘油为增塑剂,添加纳米硒进行改性,制备出性能良好的复合膜,然后探究了这5种复合膜对草莓的贮藏保鲜效果。结果表明,当海藻酸钠与壳聚糖质量比为1∶2时,该复合膜的机械性能良好,具有适宜的空气阻隔性。此时膜厚度为0.053 mm,水分含量为20.27%,抗拉强度为141 MPa,对大肠杆菌的抑菌圈直径为19.99 mm,该复合膜能延缓草莓的腐烂进程,维持草莓的硬度、质量、维生素C含量和可滴定酸含量,显示出良好的保鲜效果。传统低温等物理保鲜技术较为安全有效,但通常投资门槛较高;化学保鲜往往工艺简便、成本低,但消费者往往有食品安全方面的顾虑。因此该复合膜作为一种环保的复合材料,在保鲜领域展现出良好的应用前景,为果蔬保鲜提供了新策略。
[1] 王淑瑶. 聚乙烯醇/壳聚糖抗菌膜的制备及对草莓保鲜效果研究[D].雅安:四川农业大学, 2019.WANG S Y.Preparation of polyvinyl alcohol/chitosan antibacterial film and study on the effect of preserving strawberry freshness[D].Ya’an:Sichuan Agricultural University, 2019.
[2] 于天颖, 陈玉成, 张锐.草莓贮藏保鲜技术[J].农业科技与装备, 2012(8):77-79.YU T Y, CHEN Y C, ZHANG R.Study on strawberry preservation techniques[J].Agricultural Science &Technology and Equipment, 2012(8):77-79.
[3] 逯文倩, 王娟.牛至精油-介孔纳米二氧化硅/海藻酸钠复合膜对双孢蘑菇保鲜效果研究[J].中国果菜, 2021, 41(4):1-9.LU W Q, WANG J.Preservation effect of OEO-MSNPs/sodium alginate film on Agaricus bisporus[J].China Fruit &Vegetable, 2021, 41(4):1-9.
[4] 王和平. 海藻酸钠/壳聚糖/ZnO复合材料的制备及其在药物缓释、食品保鲜中的应用研究[D].太原:太原理工大学, 2019.WANG H P.Preparation of sodium alginate/chitosan/ZnO composite materials and research on their application in sustained drug release and food preservation[D].Taiyuan:Taiyuan University of Technology, 2019.
[5] 张润峰. 没食子酸/纳米硒/结冷胶基活性膜的制备及特性研究[D].南宁:广西大学, 2023.ZHANG R F.Preparation and characterization of gallic acid/selenium nanoparticles/gellan gum-based active film[D].Nanning:Guangxi University, 2023.
[6] 肖锡湘. 纳米硒复合包装材料的制备及其在果蔬保鲜中的应用[D].泉州:华侨大学, 2021.XIAO X X.Preparation of nano-selenium composite packaging material and its application in fruit and vegetable preservation[D].Quanzhou:Huaqiao University, 2021.
[7] 吴若寒, 曹立妤, 孙芸, 等.羧甲基壳聚糖/醛化羧甲基纤维素聚合物的制备及其在草莓保鲜中的应用[J].生物加工过程, 2023, 21(6):702-708.WU R H, CAO L Y, SUN Y, et al.Preparation of carboxymethyl chitosan/aldehyde carboxymethyl cellulose polymer and its application in strawberry preservation[J].Chinese Journal of Bioprocess Engineering, 2023, 21(6):702-708.
[8] 陈顺心, 刘海波, 朱静, 等.海藻酸钠-壳聚糖-茶末复合膜的制备及其对葡萄的保鲜效果[J].食品研究与开发, 2024, 45(2):145-153.CHEN S X, LIU H B, ZHU J, et al.Preparation and preservation effect of sodium alginate-chitosan-tea powder composite membrane and on grapes[J].Food Research and Development, 2024, 45(2):145-153.
[9] 刘海鹏, 李玲, 韩佳利, 等.改性瓜尔胶/乳清蛋白/芦丁复合膜的制备、表征及其对双孢菇贮藏品质的影响[J].食品科学, 2024, 45(5):233-242.LIU H P, LI L, HAN J L, et al.Preparation and characterization of modi ed guar gum/whey protein/rutin composite membrane and its effect on storage quality of Agaricus bisporus[J].Food Science, 2024, 45(5):233-242.
ed guar gum/whey protein/rutin composite membrane and its effect on storage quality of Agaricus bisporus[J].Food Science, 2024, 45(5):233-242.
[10] 张金凤, 陈龙, 王广慧, 等.纳米SiO2-壳聚糖/脱脂豆粕复合膜的制备及保鲜性能测定[J].中国食品添加剂, 2023, 34(9):201-209.ZHANG J F, CHEN L, WANG G H, et al.Preparation of nano SiO2-chitosan/defatted soybean meal  lm and its preservation properties[J].China Food Additives, 2023, 34(9):201-209.
lm and its preservation properties[J].China Food Additives, 2023, 34(9):201-209.
[11] 杨洁茹, 刘海波, 张雯雯, 等.漂白紫胶/海藻酸钠复合膜的制备及其在冷鲜肉保鲜中的应用[J].食品工业科技, 2023, 44(18):407-414.YANG J R, LIU H B, ZHANG W W, et al.Preparation of bleached shellac/sodium alginate composite film and its application in chilled fresh meat preservation[J].Science and Technology of Food Industry, 2023, 44(18):407-414.
[12] 梁宇杰, 李双双, 廖海艳, 等.壳聚糖/明胶/纳米氧化锌复合膜的制备及其性能研究[J].仲恺农业工程学院学报, 2024, 37(1):43-50;58.LIANG Y J, LI S S, LIAO H Y, et al.Preparation of chitosan/gelatin/zinc oxide nanocomposite films and their properties[J].Journal of Zhongkai University of Agriculture and Engineering, 2024, 37(1):43-50;58.
[13] 姚玉梅, 袁湘汝, 韩鲁佳, 等.不同分子质量牛骨胶原多肽制备复合膜特性研究[J].农业机械学报, 2020, 51(6):318-325.YAO Y M, YUAN X R, HAN L J, et al.Microstructures and properties of bovine bone collagen polypeptide composite films with different molecular weight distributions[J].Transactions of the Chinese Society for Agricultural Machinery, 2020, 51(6):318-325.
[14] 曹建康, 姜微波, 赵玉梅.果蔬采后生理生化实验指导[M].北京:中国轻工业出版社, 2007:24-41.CAO J K, JIANG W B, ZHAO Y M.Postharvest Physiological and Biochemical Experiment Guidance of Fruits and Vegetables[M].Beijing:China Light Industry Press, 2007:24-41.
[15] 方娟丽, 熊群燕, 龚锐枝, 等.黄皮多糖/壳聚糖复合可食膜的制备、结构表征及理化性质[J].现代食品科技, 2024, 40(8):263-273.FANG J L, XIONG Q Y, GONG R Z, et al.Preparation, structural characterization and physicochemical properties of wampee polysaccharide/chitosan composite edible film[J].Modern Food Science and Technology, 2024, 40(8):263-273.
[16] ZHAO S S, JIA R Y, YANG J, et al.Development of chitosan/tannic acid/corn starch multifunctional bilayer smart films as pH-responsive actuators and for fruit preservation[J].International Journal of Biological Macromolecules, 2022, 205:419-429.
[17] 云雪艳. 高韧性、高选择透过性聚乳酸薄膜的制备及其对果蔬的气调保鲜效果[D].呼和浩特:内蒙古农业大学, 2017.YUN X Y.High toughness and permselective poly(lactic acid) membranes and its beneficial effect of MAP packaging of fruits and vegetables[D].Hohhot:Inner Mongolia Agricultural University, 2017.
[18] 连欢, 孙占新, 杨相政.壳聚糖抑菌复合膜对蓝莓贮藏保鲜效果的影响[J].中国果菜, 2023, 43(9):29-34.LIAN H, SUN Z X, YANG X Z.Effect of antibacterial chitosan composite film on storage and preservation of blueberry[J].China Fruit &Vegetable, 2023, 43(9):29-34.
[19] 郭婕, 付佳慧, 刘爱荣, 等.海藻酸钠-壳聚糖-碳酸氢钠复合膜优化制备及性能表征[J].环境工程学报, 2024, 18(7):2010-2018.GUO J, FU J H, LIU A R, et al.Film preparation and performance of sodium alginate-chitosan-sodium bicarbonate membrane[J].Chinese Journal of Environmental Engineering, 2024, 18(7):2010-2018.
[20] AL-ATI T, HOTCHKISS J H.The role of packaging film permselectivity in modified atmosphere packaging[J].Journal of Agricultural and Food Chemistry, 2003, 51(14):4133-4138.
[21] 曾嵘. 壳聚糖/聚乙烯醇共混交联和亲和膜的制备及应用研究[D].武汉:湖北大学, 2018.ZENG R.Preparation and application of cross linked chitosan/polyvinyl alcohol blend and affinity membranes[D].Wuhan:Hubei University, 2018.
[22] 章汝平, 丁马太.聚乙烯醇/壳聚糖共混膜的制备及表征[J].功能材料, 2007, 38(12):2004-2007.ZHANG R P, DING M T.Preparation, properties and characterization of the blend film of polyvinyl alcohol and chitosan[J].Journal of Functional Materials, 2007, 38(12):2004-2007.
[23] 沈思蔚, 王玥, 曾渊博, 等.海藻酸钠/壳聚糖/苹果多酚复合膜制备及研究[J].塑料工业, 2021, 49(11):157-161;172.SHEN S W, WANG Y, ZENG Y B, et al.Preparation and research of sodium alginate/chitosan/apple polyphenol composite film[J].China Plastics Industry, 2021, 49(11):157-161;172.
[24] 杨曼丽, 石云龙, 于志浩, 等.海藻酸钠/聚丙烯酸/二氧化硅纳米复合膜的制备及性能研究[J].食品科技, 2019, 44(4):274-280.YANG M L, SHI Y L, YU Z H, et al.Preparation and properties investigation of sodium alginate/polyacrylic acid/SiO2 nanocomposite films[J].Food Science and Technology, 2019, 44(4):274-280.
[25] 曹立妤, 陈澄, 周治, 等.羧甲基壳聚糖/氧化羧甲基纤维素/姜黄素复合膜的制备及其在草莓涂膜保鲜中的应用[J].现代食品科技, 2022, 38(12):247-254.CAO L Y, CHEN C, ZHOU Z, et al.Fabrication of a carboxymethyl chitosan/oxidized carboxymethylcellulose/curcumin composite film and its application in the film-coating preservation of strawberry[J].Modern Food Science and Technology, 2022, 38(12):247-254.
[26] 刘艳, 刘莹, 高邵雪, 等.壳聚糖-纳米ZnO-黄芪提取物复合涂膜对草莓的保鲜效果[J].北方园艺, 2023(12):84-90.LIU Y, LIU Y, GAO S X, et al.Effects of chitosan-nano ZnO-Astragalus membranaceus (Fisch.) bunge.extract composite coating on strawberry fresh-keeping[J].North Horticulture, 2023(12):84-90.