预制菜是以一种或多种食用农产品及其制品为原料,使用或不使用调味料等辅料,不添加防腐剂,经工业化预加工制成,不包括主食类食品。预制菜具有可快速食用的特点,与现阶段人们生活节奏快、对餐饮的需求量较大的时代特质相吻合,也有助于缓解餐饮企业原材料配送和人工菜的高成本[1],因此预制菜产业在我国快速兴起。预制菜行业在快速发展的同时,诸如食品安全等问题也引发了各方面的关注。2021年国务院印发了《“十四五”冷链物流发展规划的通知》,通知提出通过强化冷链物流网络,用以扩大预制菜的销售范围,助力预制菜产业发展。2024年国家市场监管总局联合多部门印发了《关于加强预制菜食品安全监管 促进产业高质量发展的通知》来引导预制菜产业健康发展。关于预制菜的加工质量[2]、口感[3]、食品安全[4]、包装[5]等问题的研究,发文数量呈现出快速上升的趋势。
专利制度可以有效激励产业创新,通过对预制菜相关专利申请可以有效促进该产业的发展,也是最有效的技术保护手段。因此,专利数据可以较为全面地展现出预制菜产业的发展趋势以及存在的问题。本研究旨在通过对预制菜的相关专利数据进行分析,挖掘专利数据中的技术趋势、技术热点、技术盲点以及市场前景等信息。研究结果可以为预制菜技术的研发提供参考依据,以期助力预制菜行业的发展。
本文主要基于PatSnap专利数据库中的专利信息对预制菜相关的专利技术信息进行分析。PatSnap专利数据库收录了1790年至今全球116个国家/地区的1.9亿多件专利,该数据库具有比较全面的专利数据资源,可为本研究提供较为充足的数据来源。在PatSnap数据库提供的专利信息基础上,本文还利用中国知网的文献检索与分析功能,用于辅证本文的分析结论。
通过检索标题中含有“预制菜”或者“Prefabricated dishes”的专利文件,形成检索式TTL:(“预制菜” or “Prefabricated dishes”),共计检索出专利文件892件。根据专利法的规定,专利公开有18个月的延缓期限,除非专利权人申请提前公开,因此本次检索应当排除了2023年与2024年的专利,但由于预制菜专利是近5年才产生的新生事物,2023年的专利数量已有较大规模,排除后将损失超过一半的样本,故予以保留,检索范围为2014—2023年,10年共计751件专利。
本文主要采用专利分析法对预制菜专利的数据进行分析,挖掘预制菜专利数据中的有用信息,并对其中的信息进行加工和组合,使专利技术信息能够产生预计功能。专利导航、专利分析评议、专利预警分析等都是专利分析法的子概念[6]。
通过对1.2节的检索数据进行分析,结合授权量,预制菜相关专利的申请趋势如图1所示,总体上,我国的预制菜产业处于高速发展期。
 
    图1 预制菜专利的申请趋势图
Fig.1 Trend chart of patent applications for prefabricated dishes
从专利的申请情况来看,预制菜相关技术起步于2018年,2018—2021年是预制菜产业发展的萌芽期。在这一时期内,预制菜专利呈现出申请量低,发明人少的特点。在此时期,相关市场主体尚未关注到这一行业,主要产生预制菜技术的基础性专利。从2021年开始,预制菜相关的专利申请量急剧增长,从2021年的13件申请,增长至2023年的557件申请。在此阶段内,关于预制菜技术的应用发明专利逐渐出现,市场扩大,介入的企业增多,预制菜专利的申请量和申请人数量迅速增长,市场风险减弱。
与之对应的,预制菜相关研究也有类似趋势。在中国知网中以“预制菜”为关键词进行检索,文献来源限定于北大核心、CSCD、EI几类核心期刊。目前的预制菜领域的研究热点呈现出“促进产业发展—预制菜关键技术—食品安全与质量”的发文趋势(如图2)。
 
    图2 预制菜相关研究热点趋势图
Fig.2 Hot topics in prefabricated dishes research
2018—2021年是我国预制菜产业发展的萌芽期,学界对预制菜的关注较少。零散涉及预制菜企业卫生情况[7]和预腌制配料[8]等问题。在2021年之后,相关论文发表数量急速上升。
2022—2023年上半年,有关“预制菜”的文献共有28篇,其中13篇围绕预制菜产业的现状和存在问题进行总结和分析,总被引用量达401次,占全时段总被引用量的64.47%,总下载量为64 707次,占比68.21%。其中赵超凡等[9]关于预制菜发展现状与对策的文章被引用量位居第一位,安俊文等[10]则从食品制造者、消费者、政府等多个维度剖析了我国预制菜行业的发展趋势和发展前景。
2023年5月—12月共有文献33篇,涉及预制菜产业的关键技术和工艺比例较高。其中有21篇文章对包装技术[11]、加工与复热技术[12]和杀菌技术[13]等环节的技术与工艺进行研究和分析,总被引数占比65.52%。
2024年市场监管总局、国家卫生健康委等六部门发文加强预制菜食品安全监管,如何保障预制菜食品安全成为研究重点[14]。2024年1月—5月,以预制菜食品安全为研究主题的文章总被引数占比超过70%。其中,张莉莉等[15]从生产、加工、贮存与运输、销售等环节分析所存在的食品安全风险并提出针对性优化建议,闫夏秋等[16]则重点从法律法规方面完善食品安全保护路径。也有不少研究涉及到具体食品小类预制菜加工中的食品安全问题[17]。2024年6月至今,大众对预制菜品质和口味要求不断提升,在5个月所发表的22篇文章中有11篇均以此为研究主题,学者以不同种类预制菜为研究对象,如鱼肉[18]、猪肉[19]、蔬菜[20]等,如何保障预制菜品质提升的同时尽可能做到口味的还原成为现阶段研究重点。
从预制菜相关专利的地域分布情况来看,呈现出2个特点:a)沿海发达省份和知名菜系省份占据我国预制菜专利的大部分;b)我国有大量的省份基本没有预制菜相关的专利(见图3)。
 
    图3 预制菜专利的地域分布图
Fig.3 Geographical distribution map of prefabricated dishes patents
山东、广东、浙江、福建是预制菜专利数量最多的省份,上述4个省份均为沿海且较为发达省份,共计367件专利,占比48%,其中数量最多的是广东省,共118件专利。除此之外,内陆地区的安徽、湖南、河南、四川也有较多的专利数量,这可能与湘菜、川菜在国内受欢迎有一定关联,下文称为菜系特色省份。除去上述省份之外,我国西北部地区存在大量省份没有检索出预制菜相关专利。这表明预制菜产业在上述省份中的受欢迎程度不高或者说还在起步阶段。研究中,粤菜预制菜[21]、湘菜预制菜[22]、川渝预制菜[23]、预制淮扬菜[24]受到较多关注,也有少量学者关注到了较为冷门地区,比如新疆预制菜的发展[25]。
为了展现各省份预制菜专利技术发展的特点及其偏好,本文通过广东和四川预制菜的国际专利分类(international patent classification,IPC)技术领域分布来进行对比分析,两省份分别代表了经济发达省份和菜系特色省份,具体对比见表1。
表1 两省预制菜专利授权前10位IPC技术领域分布
Table 1 Distribution of the top 10 IPC technology areas of authorized patents for prefabricated dishes in two provinces
 
    广东省四川省IPC分类号技术领域数量IPC分类号技术领域数量B65B43/52使用辊道或环形输送机11A23L13/40含有添加剂8A23L5/10烹调食品的一般方法,如焙烤或煎炸10A23L13/75 使用浸渍或腌制溶液,例如:包括调味料,酸,佐料或增香剂的腌渍汁7A23P30/00以工艺或装置为特征的食品的成形或加工10A23L5/10烹调食品的一般方法,如焙烤或煎炸7B65B7/28靠施加分离的预制闭合件,如盖、罩8A23L13/10肉食品或肉粉;小颗粒、团块或片4B65B51/10施加或产生热或压力或它们两者的结合6A23L5/30物理处理,如通过电、磁、波动能或辐射4B65B61/28用于从包装机上卸下成品包装件6A23P30/00以工艺或装置为特征的食品的成形或加工4B65B7/16封闭不由装入物改变形状或不采取装入物的形状的半刚性或刚性的容器或贮器,如盒子或纸板箱6A23L19/20腌制的,例如酸泡菜、泡菜3A23L17/00 水产食物制品;鱼类制品;鱼肉;鱼卵代用品;它们的制备或处理5A23L5/20去除不希望有的成分,如除臭,解毒3A23L17/10鱼肉或鱼粉;小颗粒、团块或片5B26D7/06除板料、薄条或细丝形状以外的工件的进给或输送装置3B65B7/16封闭不由装入物改变形状或不采取装入物的形状的半刚性或刚性的容器或贮器,如盒子或纸板箱5A23B4/20有机化合物;微生物;酶2
IPC分类号由代表部、大类、小类、大组、小组的5个符号组合构成,例如B65B43/52,B代表部,65代表大类,B代表小类,43代表大组,52代表小组。
我国各省预制菜专利差异化特征显著,特别是沿海经济发达省份与菜系特色省份,其技术领域分布展现出明显的偏好差异。以广东省和四川省为例,广东省以B类(作业、运输)最多,集中于65大类,侧重于预制菜的输送、包装、贮存的装置,表明其加工、运输、保存的效率是最受关注的领域。其次是A部,集中于23大类,主要涉及食材的加工方法,山东省、浙江省也有类似情况。相比之下,四川省的专利技术领域则主要集中在A部23大类,涉及制备或处理,例如烹调、营养品质的改进,尤其是与添加剂、调味料等相关专利较多,符合川菜麻、辣、鲜、香的风味特点[26],湖南、河南省也呈现类似分布。
通过预制菜专利质量分析,可以评估预制菜产业目前的创新水平、产业成熟度等问题。关于专利质量的分析有多种评价指标,理论中的评价标准较多,但通过技术、法律和经济3个指标分析专利质量基本已经形成共识[27]。结合预制菜技术的特点,本文选取预制菜专利的类型、市场价值以及被引用情况3个指标对预制菜专利的质量进行分析。
首先,某一产业中的发明专利占比越高,说明该产业总体的专利质量越高。由于发明专利与非发明专利在授权程序上存在明显差别,发明专利需要经过实质审查,专利审查员需要花费较长时间来进行专利比对,来确定其是否具有专利授权的“三性”(新颖性、创造性和实用性),因此更难获得授权,相对而言其专利质量更高。而非发明专利(实用新型和外观设计)则不需要实质审查,仅需初步审查合格即可获得授权,因此授权相对容易,因而总体的专利质量不高(见表2)。
表2 预制菜专利的类型表
Table 2 Types of prepared dish patents
 
    专利类型专利数量占比/%发明27937.15实用新型43658.06外观设计364.79
其次,市场价值通常与专利质量正相关,专利质量越高,其市场价值也越高。PatSnap数据库提供了专利的市场价值估算功能,根据数据库提供的参考标准,主要指标有:引用、专利国家规模、专利存活期、法律状态等。本文通过预制菜专利与同一IPC分类下专利价值均值进行对比,可知其总体的市场价值水平(图4)。
 
    图4 预制菜专利价值与行业基准比对图
Fig.4 Prefabricated dishes patent value vs.industry benchmarks
最后,专利被引次数越多,其专利质量一般越高。某一专利被其他专利引用类似于论文被引用,被引用的次数越多说明其创新水平越高,对其他技术的影响就越大,一般而言专利质量也越高(最高被引预制菜专利前3名见表3)。
表3 最高被引预制菜专利前3名
Table 3 Top 3 cited prefabricated dishes patents
 
    专利公开号被引用次数CN110451031A8CN216994905U6CN113602551A5
总体来看,我国预制菜专利中,实用新型专利的占比最高,共计检索出436件专利,占比58.06%。发明专利的比重较低,总计279件专利,占比37.15%。外观设计的占比最低,总计36件专利,占比4.79%。
预制菜专利的类型见表2,我国目前的预制菜专利以实用新型为主。由于实用新型的专利申请较为简单,对创新程度要求较低,且不用实质审查,所以实用新型专利总体的质量要低于发明专利,因而创新程度和科技含量较低。
由图4所示,预制菜专利的市场估值与同一IPC类别下的其他专利相差较大,明显低于同一类别下其他专利的均值。根据上文的分析,预制菜的发明专利含量不高,实用新型比重过大,实用新型专利相较于发明专利的研发周期短、投入经费也比较低,此外发明专利保护期为20年,实用新型专利仅为10年,保护周期更短。结合数据库提供的引用、专利国家规模、专利存活期、法律状态等指标,我国预制菜专利的总体市场估值总体较低,也反映出整体的专利质量存在欠缺。
最高被引预制菜专利前3名如表3所示,目前“一种预制菜流水生产设备”发明专利是目前预制菜领域最高被引用的专利,但被引次数仅有8次,表明预制菜专利总体被引率很低,因此总体的专利质量不高。这可能与预制菜产业本身处于发展初期,技术发展还不成熟有关。
综上所述,根据专利类型、市场价值以及总体被引情况3个指标分析,目前预制菜领域内的专利总体质量水平不高,创新程度和科技含量有限,后续在此方面还需要加强。
高被引的专利反映出其影响力较大,质量也较高,预制菜专利最高被引情况如表4所示。目前预制菜最高被引专利主要以设备改进为主,也涉及到人工智能等新兴技术与预制菜产业的结合,比如“一种基于机器视觉的预制菜生产检测方法”的发明专利就在最高被引专利中排名第三。有研究指出在食品检测领域,运用人工智能技术能够提升食品检测的自动化、精度和实时性,极大地优化了食品安全、品质控制等问题[28]。
表4 预制菜专利最高被引情况表
Table 4 Table of top cited prefabricated dishes patents 
 
    专利公开号被引用标题申请人CN110451031A8一种预制菜流水生产设备湖南湘典食品有限公司CN216994905U6一种用于预制菜包装的自动充填设备潍坊御俸食品有限公司CN113602551A5一种预制菜包装生产线用防感染装置湖南新聪厨食品有限公司CN113785995A5一种预制菜生产用干菜清洗浸泡装置湖南德旺农业科技发展有限公司CN217065325U5一种预制菜生产用干菜清洗浸泡装置潍坊御俸食品有限公司CN217515521U5一种预制菜保鲜用封膜装置北京福满顺合食品科技有限公司CN116594364A5基于预制菜生产控制系统的优化方法及系统浙江齐呈数字科技集团有限公司CN116824577A5一种基于机器视觉的预制菜生产检测方法泰安金冠宏食品科技有限公司CN112896646A4一种用于生产预制菜的食品加工设备及加工方法长沙理工大学CN113828195A4一种预制菜生产用肉制品搅拌装置湖南德旺农业科技发展有限公司
目前,最高被引的专利是湖南湘典食品有限公司发明的“一种预制菜流水生产设备”,该专利通过在链板上设置通孔,使得包装盒能够被固定在通孔内,避免在操作过程中移动,从而保证包装质量;同时,通过更换载物板和托物板提高了生产效率和工作效率。
总体上,预制菜最高被引的专利主要为预制菜生产过程中的加工设备,涉及生产的流水线、加工过程、检测等方面。值得注意的是,在最高被引的专利中,发明专利有7件,实用新型专利3件,发明专利的占比较高,也反映出发明专利的创新水平较高。可见,虽然实用新型专利授权快,可快速完成专利布局,但是其市场价值较低,权利的稳定性较弱,可获得短期效益,不利于长期发展。
在授权专利的类别下对预制菜专利进行检索,专利数量排名前10的申请人专利持有量排名情况见表5。目前,专利数量排名前10的发明人均为企业主体,无科研院所或者个人,体现出预制菜专利具有较高的市场接受度,但科研院所的参与度不高容易使专利整体质量不高。同时,上述专利多以实用新型为主(专利公开号以U结尾为实用型新专利),专利数量前10的发明人总计持有80件专利,其中实用新型77件,占比95.7%。仅湖南湘典食品有限公司涉及3项发明专利。
表5 预制菜专利申请人持有量排名表
Table 5 Ranking table of patent applicant holdings of prefabricated dishes
 
    申请人专利数量泉州市伍氏企业美食有限公司13杭州宏迈食品科技有限公司10福建海中舟海洋渔业发展有限公司9安徽福德斯食品科技有限公司9湖南湘典食品有限公司8隆回非常餐饮管理有限公司7福州优予食品科技有限公司6安徽梦子膳食配送服务有限公司6湖北万里食品有限公司6深圳市新鼎食品开发有限公司6
泉州市伍氏企业美食有限公司共持有13项专利,位列第一。通过对上述13件专利分析可知,该公司有意识地进行了专利布局,对预制菜加工的各个生产流程均申请了专利,且均为实用新型专利,可以实现较快授权,起到防御专利的效果。伍氏企业预制菜专利布局情况见图5。首先,该公司专利的技术领域虽然较多,但是申请时间集中在2023年4月—5月。其次,该公司的专利基本涵盖预制菜生产的各个环节,从原料处理、加工、速冻、储存、清洗消毒到包装,每一个环节均有所产出,表明公司正通过专利保护其在整个生产流程中的技术创新,从而构建了一面专利保护网。伍氏企业的专利布局为地毯式专利布局[29],计划性地在生产线的每一个步骤点形成专利,从而为其他竞争者布下地雷区,并且可以整合整体产业链资源,增强公司在市场上的竞争力。
 
    图5 伍氏企业预制菜专利布局图
Fig.5 Patent layout of prefabricated dishes at Wu Enterprise
伍式企业作为目前预制菜专利持有量最高的企业,其布局策略具有一定的代表性,通过申请实用新型专利虽然可以快速地完成专利布局,但是也应该注意到,实用新型专利有效期短、权利稳定性差、专利质量低,从长期发展的角度来看,仍然需要注重发明专利的申请。我国的发明专利与实用新型专利并非互相排斥,从企业布局策略的角度来看,可以采取长期与短期相结合的申请策略,可以选取部分优质专利进行发明与实用新型同时申请,若能获得发明专利申请,优先发明专利,放弃实用新型专利。
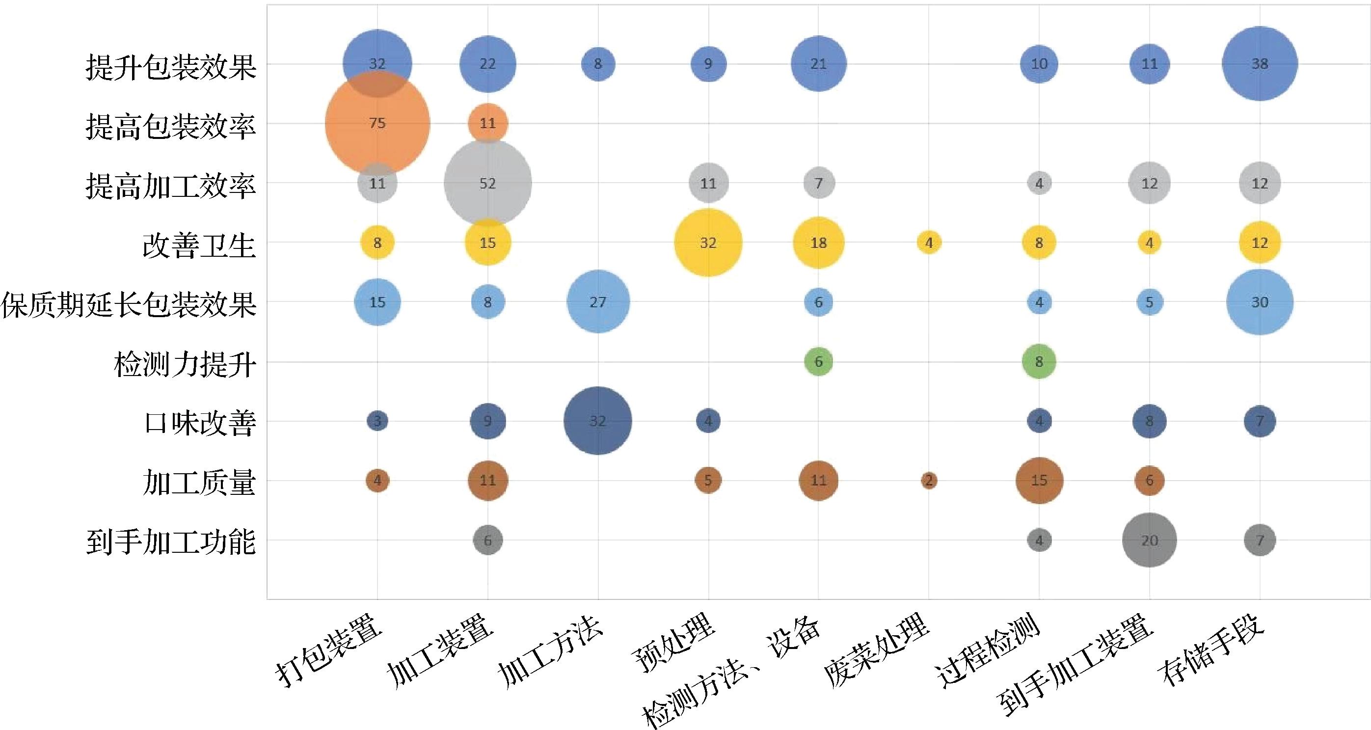
如图6所示,通过技术功效矩阵可以直观识别预制菜的热门和冷门研究领域,矩阵的横坐标为“手段”,纵坐标为“功效”,气泡大小代表出现的频次,气泡越大代表具有某种技术手段且实现某项技术功效的专利越多。
 
    图6 预制菜专利的技术功效矩阵图
Fig.6 Technical efficacy matrix of prefabricated dishes patents
从功效指标来看,预制菜生产过程中的技术功效主要集中在提升加工与包装的效能,特别是提高效率在所有功效中占据了主导地位,这反映出在预制菜专利领域,效率的提升是当前最受关注的焦点,此外,在预制菜的卫生状况、口味提升以及保质期延长等环节中亦有较多专利。比如:“一种基于预制菜生产的无菌包装设备”的专利(公开号CN118387399A)提高了预制菜包装环节的综合卫生度和安全性。“一种肉类预制菜加工非热杀菌方法”的专利(公开号CN118901972A)中公开了一种肉类预制菜超高压加工方法。不少研究也涉及类似问题,比如,有研究提出预制蔬菜制品生产车间的沉降菌较高、卫生条件需改善[7],水产类菜品预加工技术进展状况等[30]。
从技术手段来看,现有的预制菜生产专利的技术手段不仅集中于改进打包装置、加工装置、检测设备、到手加工装置等产品专利,还包括优化加工方法、预处理方法、检测方法、储存手段等方法专利。总体来看,预制菜生产专利的技术手段主要是通过改进各个环节的设备和方法来提升预制菜整体的生产效率和产品质量。其中,预制菜包装技术作为预制菜生产加工的重要环节,在提高预制菜的包装效率、提升品质[31]、提升口感[32]、保障食用安全性和延长货架期等方面发挥着重要作用,因此在统计的专利中,打包装置专利出现频次最多,为148次。比如“一种冷链预制菜铝制包装盒”的专利(公开号CN217945954U)即采用铝制材料,内设凸起以实现食材与液体分离,外设凹槽利于流水线中餐盒的准确定位,从而同时达到延长产品的保质期与提高包装效率的功效。同时,新型包装材料也得到了研发与应用,如复合材料包装、可降解材料包装[33],在“预制菜快餐包装盒材料及其制备工艺”(公开号CN118185260A)的专利中即展示了一种易降解的包装盒制备方法。
目前我国预制菜的技术发展聚焦于“自动化”,但是缺乏“智能化”。我国目前预制菜领域专利的技术研发主要集中在通过改进打包、加工装置与方法来实现提升包装效果、提高加工效率、改善卫生和提升产品质量等多个方面,其主要的技术手段即通过自动化加工实现生产的工业化,但在智能化程度方面还有所不足。有研究指出为实现预制菜肴行业全过程、高效率的自动化、标准化、智能化生产,仍需要进一步研发与应用新型智能加工装备与技术[34]。目前预制菜的智能化生产方面已有相关专利,除了上文提到的“一种基于机器视觉的预制菜生产检测方法”发明专利(公开号CN116824577B),该专利解决了传统计算机视觉方法在预制菜包装检测中检测精度低的问题,提高了包装检测的准确性,还有一项“基于图像处理的预制菜分选方法”的发明专利(公开号CN117173169B)也涉及人工智能技术。但总体上,预制菜智能化生产方面的专利数量较少,产业智能化程度不足。
在技术空白方面,虽然目前预制菜专利领域在废菜处理和预处理技术等方面取得一定的进步,但气泡较小、技术空白较多,为未来的技术研发提供了方向。一方面,技术空白可能是新的研发方向,具有比较好的前景;另一方面,也有可能形成技术雷区,即不可能用该技术手段完成该效果,因而需要在研发时进行前期调研。
第一,从总体发展趋势上看,预制菜行业作为新兴产业,自2021年后专利申请量迅速上升,相关研究在相似的时间段内大量产出,表明该产业处于快速发展期,活跃度较高,具有较好的发展前景。
第二,从预制菜专利的地域分布特点来看,目前我国预制菜专利主要分布于沿海发达与菜系特色省份,且各自预制菜专利的技术领域分布有各自的偏好,欠发达省份的预制菜专利较为缺乏。
第三,从专利质量角度上看,目前我国预制菜专利申请主体主要为企业,专利类型主要以实用新型为主,且总体的被引数量较低,专利总体市估值较低,因此专利总体的质量不高。
第四,从热门技术领域来看,目前我国预制菜专利的热门方向主要是通过改善生产设备提升加工与包装的效率、实现加工的自动化,以期实现更好的经济收益,但是在食品安全、食品质量、智能化加工等领域的专利偏少。
第一,预制菜企业应当注重与高校科研院所的合作,增强预制菜专利的质量。高校和科研院所具有较强的研发能力,而企业的专利转化能力较强,可以使相关专利顺利市场化。通过企业、高校、科研院所协同创新,实现“产学研”紧密结合,可以作为提升预制菜专利质量的有效手段。目前,已有不少高校与预制菜行业紧密合作,比如,上海旅游高等专科学校设立了预制菜微专业和培育互动科创中心[35],“中国河蟹养殖第一县”的兴化市设立了水产品预制菜的产业联盟,与上海海洋大学等高校和科研院所合作,进行水产品类预制菜工业化生产方面的技术研发与创新[36]。
第二,专利申请策略上注重短期与长期策略结合。通过对我国预制菜专利持有数量最多的企业进行分析可知,多数企业以申请实用新型专利为主,虽然可以快速完成布局,但专利价值较低,长期发展能力有限。可以在短期策略的基础上,加大发明专利的研发投入,提升专利质量。根据我国《专利法》第9条的规定,同一发明人用同一技术方案可以在同一天申请。因此,在申请策略上可以采取“发明+实用新型”同时申请的方法,能获得发明专利授权时,优先发明专利。如果先获得实用新型,之后可以放弃实用新型,从而获得发明专利授权。发明专利的产出比重更高,更利于提高专利质量,也更有助于预制菜企业与整体行业的长期健康发展。
第三,注重预制菜生产与人工智能等新质生产力的结合。目前我国的预制菜专利已经出现了智能加工的类型,但数量不多。为了实现生产的现代化,与人工智能、大数据等新兴技术领域结合是必然趋势,未来预制菜产业应当强化相关专利的研发。目前,智能识别技术已应用于预制菜生产过程,未来可将人工智能用于预制菜产业关键环节冷链物流[37],其中物联网、区块链等技术可实现预制菜产品的运输监控和追踪溯源,从而保障预制菜加工质量[38]。
第四,政策层面优化专利布局,平衡产业发展。专利布局应遵循前瞻性、匹配性、价值性、策略性等原则[39],并结合区域特点实施精准布局。一方面,沿海发达地区已有基础,应逐步从“数量驱动”向“质量引领”转变,前瞻新技术发展方向,促进产业升级。另一方面,欠发达省份的预制菜产业由于市场体量有限,完成完整的预制菜产业链布局可能并不科学。可以结合当地特色,在预制菜生产链条中选取部分产业开展专利技术布局,打造差异化产品,提升竞争力,比如内蒙古地区的牛羊肉半成品预制菜加工技术、沿海欠发达地区的海产品半成品预制菜加工技术、针对川菜、湘菜地区所需天然调味料方面的加工技术等。
第五,预制菜专利的研发在关注加工效率等研发热点的同时,也应当注重食品安全、食品质量等。从企业布局与“技术-功效”分析的结果来看,市场需求决定了通过自动化、智能化等方式来加快生产效率是目前最为集中的技术领域,但是市场的逐利性会使企业预制菜专利的研发忽视食品安全、产品质量等涉及公共利益的方面,不利于预制菜产业的健康发展。针对添加剂检测技术、原材料品质控制技术等涉及食品安全、食品质量保障方面的专利,可以在专利申请政策层面予以支持,比如纳入绿色专利名单、专利绿色通道等方式,以更加快捷的专利申请渠道激励此类专利技术的研发。当地政府也可以针对相关规定,对涉及食品安全领域的专利予以奖励或者补助,比如在苏州、南京、杭州等地均有涉及知识产权促进和保护方面的专门性地方立法。
[1] 王炜, 杨丹.新冠肺炎疫情下餐饮业的新发展:预制菜肴的加工应用[J].食品工业, 2022, 43(12):169-171.WANG W, YANG D.New developments in the catering industry in the face of COVID-19:The processing and application of prefabricated dishes[J].The Food Industry, 2022, 43(12):169-171.
[2] 马军, 乔青青, 赵芳, 等.我国预制菜行业现状及发展建议[J].保鲜与加工, 2024, 24(9):139-146.MA J, QIAO Q Q, ZHAO F, et al.Current status and development strategies of China’s prepared dishes industry[J].Storage and Process, 2024, 24(9):139-146.
[3] 郭湘蕾, 陈凌利, 陈慧, 等.预制菜生产过程关键加工技术研究进展[J].食品科技, 2024, 49(8):64-71.GUO X L, CHEN L L, CHEN H, et al.Research progress on key processing technologies in the production process of prepared dishes[J].Food Science and Technology, 2024, 49(8):64-71.
[4] 姚煊. 我国预制菜的食品安全保障及其法律回应[J].保鲜与加工, 2024, 24(4):65-70.YAO X.Food safety and security and legal response of prepared dishes in China[J].Storage and Process, 2024, 24(4):65-70.
[5] 周恩弛, 张春红, 李丹, 等.预制菜包装技术的研究及展望[J].包装工程, 2023, 44(23):142-147.ZHOU E C, ZHANG C H, LI D, et al.Research and prospect of packaging technology for prepared dishes[J].Packaging Engineering, 2023, 44(23):142-147.
[6] 马天旗. 专利分析——方法、图表解读与情报挖掘[M].北京:知识产权出版社, 2021:137-153.MA T Q.Patent Information Analysis:Method, Patent-Map Interpretation and Data Mining[M].Beijing:Intellectual Property Publishing House, 2021:137-153.
[7] 王纪川, 任国峰, 侯震, 等.预制菜企业微生物污染状况及影响因素分析[J].中国食品卫生杂志, 2020, 32(6):664-669.WANG J C, REN G F, HOU Z, et al.Analysis of microbial contamination status and influencing factors in pre-cooked food enterprises[J].Chinese Journal of Food Hygiene, 2020, 32(6):664-669.
[8] 张金晖, 赵钜阳, 李华烨, 等.预腌制配料对大麻哈鱼肉品质的影响[J].中国调味品, 2019, 44(3):26-30.ZHANG J H, ZHAO J Y, LI H Y, et al.Effect of pre-curing ingredients on the quality of Oncorhynchus keta[J].China Condiment, 2019, 44(3):26-30.
[9] 赵超凡, 陈树俊, 李文兵, 等.预制菜产业发展问题分析[J].现代食品科技, 2023, 39(2):104-109.ZHAO C F, CHEN S J, LI W B, et al.Analysis of issues in the development of the pre-prepared dishes sector[J].Modern Food Science and Technology, 2023, 39(2):104-109.
[10] 安俊文, 方梓蓥, 高希西, 等.我国预制菜产业的发展现状、影响因素及发展趋势[J].食品与发酵工业, 2024, 50(5):388-394.AN J W, FANG Z Y, GAO X X, et al.Development status, influence factors, and trend of prepared dishes in China[J].Food and Fermentation Industries, 2024, 50(5):388-394.
[11] 税小林, 孙钦秀, 夏秋瑜, 等.预制菜包装技术的发展概况及趋势[J].包装工程, 2023, 44(13):132-140.SHUI X L, SUN Q X, XIA Q Y, et al.Development and trend of pre-made food packaging technology[J].Packaging Engineering, 2023, 44(13):132-140.
[12] 黎梓杭, 黄凯雯, 江伟烽, 等.冷冻家禽类预制菜加工及复热技术研究进展[J].食品安全质量检测学报, 2023, 14(16):213-223.LI Z H, HUANG K W, JIANG W F, et al.Advances in processing and reheating technologies for frozen prepared poultry foods[J].Journal of Food Safety &Quality, 2023, 14(16):213-223.
[13] 单迪, 杨欢, 谢利, 等.杀菌技术在提升预制菜质量安全中的应用研究[J].包装工程, 2023, 44(9):18-27.SHAN D, YANG H, XIE L, et al.Application of sterilization technology in improving the quality and safety of prepared food[J].Packaging Engineering, 2023, 44(9):18-27.
[14] 伍琳. 中国食品安全协同治理改革:动因、进展与现存挑战[J].兰州学刊, 2021(2):72-86.WU L.Transition to food safety collaborative governance in China:Motivation, progress and existing challenges[J].Lanzhou Academic Journal, 2021(2):72-86.
[15] 张莉莉, 张楚楚.预制菜产业的食品安全风险及其治理对策[J].粮油食品科技, 2024, 32(1):201-208.ZHANG L L, ZHANG C C.The risk of food safety in prefabricated dishes industry and its countermeasures[J].Science and Technology of Cereals, Oils and Foods, 2024, 32(1):201-208.
[16] 闫夏秋, 郭玲玲.预制菜食品安全监管困境与法律规制探析[J].保鲜与加工, 2024, 24(1):64-69.YAN X Q, GUO L L.Research on food safety supervision dilemma and legal regulation of prepared dishes[J].Storage and Process, 2024, 24(1):64-69.
[17] YING X G, LI T Y, DENG S G, et al.Advancements in nonthermal physical field technologies for prefabricated aquatic food:A comprehensive review[J].Comprehensive Reviews in Food Science and Food Safety, 2024, 23(1):e13290.
[18] 吴青青, 黄卉, 郝淑贤, 等.挂浆对罗非鱼片预制菜品质提升及蛋白质稳定性的影响[J].南方水产科学, 2024, 20(4):11-23.WU Q Q, HUANG H, HAO S X, et al.Effect of hanging pulp on quality improvement and protein stability of prepared Tilapia fillets[J].South China Fisheries Science, 2024, 20(4):11-23.
[19] 陈晨, 叶柯, 贾伟祎, 等.油炒预制熟度对猪肉食用品质与消化特性的影响[J/OL].食品与发酵工业, 2024:1-10.(2024-10-17).https://link.cnki.net/doi/10.13995/j.cnki.11-1802/ts.040587.CHEN C, YE K, JIA W Y, et al.Effect of stir-fry prepared doneness on pork eating quality and digestive characteristics[J/OL].Food and Fermentation Industries, 2024:1-10.(2024-10-17).https://link.cnki.net/doi/10.13995/j.cnki.11-1802/ts.040587.
[20] 陆佳欣, 任唯兆, 任婧楠, 等.复热方式对预制胡萝卜玉米排骨汤品质的影响[J].食品科学, 2025, 46(2):193-203.LU J X, REN W Z, REN J N, et al.Effects of reheating methods on the quality of prepared pork rib soup with carrot and corn[J].Food Science, 2025, 46(2):193-203.
[21] 徐玉娟, 张业辉, 周芳, 等.广东预制菜发展模式与现状分析[J].中国食品学报, 2022, 22(10):27-38.XU Y J, ZHANG Y H, ZHOU F, et al.Analysis on the development mode and current situation of prepared dishes in Guangdong[J].Journal of Chinese Institute of Food Science and Technology, 2022, 22(10):27-38.
[22] 王建辉, 刘妙, 陈彦荣, 等.预制湘菜产业现状及发展路径分析[J].中国食品学报, 2022, 22(10):20-26.WANG J H, LIU M, CHEN Y R, et al.Analysis of current situation and development path of prepared dishes industry in Hunan[J].Journal of Chinese Institute of Food Science and Technology, 2022, 22(10):20-26.
[23] 张宇昊, 陈海.川渝预制菜产业现状与发展路径分析[J].中国食品学报, 2022, 22(10):9-19.ZHANG Y H, CHEN H.Analysis on the current situation and development path of prefabricated dishes industry derived from Sichuan cuisines[J].Journal of Chinese Institute of Food Science and Technology, 2022, 22(10):9-19.
[24] 孟祥忍, 许志诚, 王恒鹏, 等.预制淮扬菜工业化现状及发展路径[J].美食研究, 2023, 40(1):53-59.MENG X R, XU Z C, WANG H P, et al.Analysis of industrialization status and development path of prepared Huaiyang dishes[J].Journal of Researches on Dietetic Science and Culture, 2023, 40(1):53-59.
[25] ZHANG Y, LI J, et al.The development status and countermeasures of Xinjiang prefabricated dishes industry[J].Food Industry, 2024(1):172-177.
[26] 王绪模, 朱克永.顺应大势 形成合力 促进川菜预制菜产业加快发展[J].现代食品, 2022, 28(5):49-52.WANG X M, ZHU K Y.Conform to the general trend and form a joint force to promote the accelerated development of Sichuan prefabrication industry[J].Modern Food, 2022, 28(5):49-52.
[27] 于馨淼, 李文红.专利质量认知与评价体系研究综述及展望[J].科学学研究, 2024, 42(10):2100-2109.YU X M, LI W H.Review and prospect of patent quality cognition and evaluation system[J].Studies in Science of Science, 2024, 42(10):2100-2109.
[28] 丁浩晗, 谢祯奇, 沈嵩, 等.人工智能在食品检测中的应用[J/OL].食品科学技术学报, 2024:1-13.(2024-10-08).https://kns.cnki.net/KCMS/detail/detail.aspx?filename=BQGB20240930001&dbname=CJFD&dbcode=CJFQ.DING H H, XIE Z Q, SHEN S, et al.Application of artificial intelligence in food testing[J/OL].Journal of Food Science and Technology, 2024:1-13.(2024-10-08).https://kns.cnki.net/KCMS/detail/detail.aspx?filename=BQGB20240930001&dbname=CJFD&dbcode=CJFQ.
[29] 张换高, 张亚捷, 李淼, 等.基于专利组合模式的布局设计[J].计算机集成制造系统, 2023, 29(12):4293-4303.ZHANG H G, ZHANG Y J, LI M, et al.Layout design based on patent portfolio pattern[J].Computer Integrated Manufacturing Systems, 2023, 29(12):4293-4303.
[30] 杨丽凤, 李旭海, 汪兰, 等.预制黄鳝加工技术研究进展[J].食品安全质量检测学报, 2023, 14(14):184-191.YANG L F, LI X H, WANG L, et al.Progress in the processing technology of prefabricated eel[J].Journal of Food Safety &Quality, 2023, 14(14):184-191.
[31] LEE K S, PARK I S, LEE D S.Modified atmosphere packaging of a mixed prepared vegetable salad dish[J].International Journal of Food Science &Technology, 1996, 31(1):7-13.
[32] 卢琪, 杨德, 薛淑静.冻融循环对食用菌预制菌汤品质的影响[J].食品工业科技, 2024, 45(1):54-62.LU Q, YANG D, XUE S J.Effect of freezing-thawing cycle on the quality of prefabricated mushroom soup[J].Science and Technology of Food Industry, 2024, 45(1):54-62.
[33] 李洪军, 兰子帆, 贺稚非, 等.中国预制菜加工及其包装技术现状分析与发展趋势[J].西南大学学报(自然科学版), 2024, 46(7):2-10.LI H J, LAN Z F, HE Z F, et al.Analysis of the current situation and development trend of China’s prepared vegetable processing and its packaging technology[J].Journal of Southwest University (Natural Science Edition), 2024, 46(7):2-10.
[34] 吴晓蒙, 饶雷, 张洪超, 等.新型食品加工技术提升预制菜肴质量与安全[J].食品科学技术学报, 2022, 40(5):1-13.WU X M, RAO L, ZHANG H C, et al.Quality and safety improvement of premade cuisine by novel food processing technologies[J].Journal of Food Science and Technology, 2022, 40(5):1-13.
[35] 邵志明. 职业教育特色专业群与区域产业集群协同发展研究:以上海旅游高等专科学校海派餐饮非遗传创专业群建设为例[J].职业技术教育, 2024, 45(2):40-44.SHAO Z M.Research on the collaborative development of characteristic specialty groups of vocational education and regional industrial clusters:Taking the construction of intangible cultural heritage inheritance and innovation specialty group of Shanghai institut[J].Vocational and Technical Education, 2024, 45(2):40-44.
[36] 戴菁菁, 王征远, 吴艳丽.兴化市水产品预制菜产业发展现状及思考[J].科学养鱼, 2024(2):1-2.DAI J J, WANG Z Y, WU Y L.Current situation and thinking on the development of prefabricated vegetable industry of aquatic products in Xinghua city[J].Scientific Fish Farming, 2024(2):1-2.
[37] 甘俊伟, 马捷, 许丽娟.预制菜产业冷链物流支撑力影响因素分析与提升路径研究[J].食品与发酵工业, 2025, 51(6):390-397.GAN J W, MA J, XU L J.Analysis of influencing factors on cold chain logistics support for prepared dishes industry and design of enhancement paths[J].Food and Fermentation Industries, 2025, 51(6):390-397.
[38] 匡红云, 郝皓, 游世胜, 等.数字孪生赋能预制菜冷链发展的研究进展[J].现代食品科技, 2024, 40(6):356-363.KUANG H Y, HAO H, YOU S S, et al.Advances in the development of a digital twin to empower the pre-prepared cold food chain[J].Modern Food Science and Technology, 2024, 40(6):356-363.
[39] 马天旗. 专利布局[M].第二版.北京:知识产权出版社, 2020:2-7.MA T Q.Patent Portfolio Planning[M].Second Edition.Beijing:Intellectual Property Publishing House, 2020:2-7.