酪蛋白胶束与甜菜红素相互作用及其复合物性质研究

曾学而,柯发辉,杨敏*,张文娟,魏彦明

(甘肃农业大学 理学院,甘肃 兰州,730070)

摘 要 甜菜红素(betanin,BT)是具有生物活性的水溶性含氮色素,但稳定性较差,限制了其在食品工业中的应用。该文以酪蛋白胶束(micellar casein,MC)为载体,制备了BT-MC复合物,研究了BT与MC的相互作用,并评估了不同温度(40、60、80 ℃)、不同pH(8.0、11.0)、不同金属离子(Fe3+、Zn2+)处理下MC对BT稳定性的影响。结果表明,MC与BT以范德华力和氢键结合,结合过程为放热过程,298 K时的结合常数Ka为(8.18±6.17)×103 L/mol。结合后MC构象发生改变,α-螺旋含量增加,β-转角及无规卷曲含量降低。与MC结合显著提高了BT在高温处理下的保留率,其中,80 ℃下处理2 h后1 mmol/L BT的保留率从(29.22±1.64)%提高至(91.88±0.77)%,5 mmol/L BT的保留率从(23.90±1.11)%提高至(81.07±0.73)%。另外,与MC结合改善了BT在碱性条件下的稳定性,pH 11.0下处理2 h后1 mmol/L BT的保留率从(47.62±0.33)%提高至(94.00±0.54)%,5 mmol/L BT的保留率从(56.88±0.42)%提高至(95.54±0.17)%。然而,MC结合降低了BT的金属离子稳定性。综上,与MC结合有利于改善BT的热稳定性和碱稳定性。MC可作为一种天然载体用于BT负载,以扩大BT的应用范围。

关键词 甜菜红素;酪蛋白胶束;相互作用;稳定性;保留率

甜菜红素(betanin,BT)常见于红甜菜根、仙人掌果、火龙果果皮中,由发色基团甜菜醛氨酸和仲胺缩合而成,是天然的多酚类水溶性含氮色素[1]。据报道,BT不仅能作为天然着色剂应用于食品和化妆品领域,而且因具有抗炎、抗癌和抗糖尿病等有益特性,在医药行业应用广泛[2]。然而,BT稳定性较差,在提取和加工阶段容易受到温度、光照、酸碱度及金属离子等因素的影响而发生降解[3]。为了改善BT的稳定性,常采用络合、辅色、包埋等稳定化技术来减缓其降解。其中,大分子对BT的包埋过程通常只涉及物理作用,复合物制备工艺简单、产物安全性高,是提高BT稳定性最有效的途径。已有研究人员利用可食大分子对BT进行封装或络合,CAI等[4]利用麦芽糊精与淀粉对苋菜中的BT进行包埋处理,有效减少了BT的吸湿性,增强了贮藏稳定性。CHRANIOTI等[5]则将BT与麦芽糊精、壳聚糖等进行复合,发现其有利于维持BT的颜色稳定。

近年来,蛋白质因来源广泛、价格低廉、生物相容性好,以及营养丰富而备受关注,常作为负载基质用于活性小分子负载和递送。研究表明,大豆分离蛋白与BT通过疏水作用结合;结合后,BT的热保留率从55.3%提高到75.9%[6]。另外,水稻-豌豆复合植物蛋白与BT结合后,在4 ℃下保存28 d,复合物a*值的保留率保持在65%以上,仍呈现出BT原有的紫红色,即复合蛋白负载后减缓了BT的降解,提高了BT的贮藏稳定性[7]

乳蛋白主要由乳清蛋白和酪蛋白组成,制备简单、价格低廉且营养价值高。乳蛋白负载可有效提升BT的稳定性[8]。据报道,乳清蛋白与BT主要通过范德华力和氢键形成复合物,可使BT在80 ℃下的保留率从6.17%增加到27.26%,提高了BT的热稳定性[9]。酪蛋白是动物乳中的大量蛋白质,约占乳蛋白总量的80%[10]。通过膜过滤制备的酪蛋白浓缩物为酪蛋白胶束(casein micelles,MC),其对活性小分子具有较高的亲和性,是活性小分子天然纳米载体的首选基质之一[11]。LANG等[12]的研究表明,酪蛋白结合能够增强蓝莓花青素在肠道消化过程中的稳定性,提高其抗氧化性能。课题组前期研究发现,MC与葛根素、黄豆苷元[13]、原花青素[14]均能形成稳定的复合物,有效提升活性分子的稳定性。然而MC与BT的相互作用以及MC负载对BT稳定性的影响研究鲜有报道。

本文以MC为基质,通过荧光分析法解析了MC与BT的结合作用及结合机理,采用多种光谱技术、测定粒径和Zeta电位等手段表征了BT-MC复合物结构,系统研究了在热处理、碱处理以及金属离子处理下BT-MC复合物中BT的稳定性变化规律。研究结果可为BT稳定性的提升提供理论依据。

1 材料与方法

1.1 材料与试剂

新鲜红甜菜根采自甘肃省张掖市;Na2HPO4、NaH2PO4、FeCl3、ZnCl2,天津市百世化工有限公司。所有试剂均为分析纯。

巴氏杀菌牛乳购自兰州庄园牧场股份有限公司,于4 000×g下离心脱脂20 min,过100 kDa有机膜,跨膜压力为0.4 MPa,流量为480 L/h,浓缩液冷冻干燥后制得MC,4 ℃冷藏备用[15]

1.2 仪器与设备

H1850台式高速离心机,湖南湘仪实验室仪器开发有限公司;LC-10 N-50D真空冷冻干燥机,上海力辰邦西仪器科技有限公司;MAI-GZJ小型喷雾干燥机,上海那艾精密仪器有限公司;UV-1780双光束紫外可见分光光度计,岛津仪器有限公司;RF-5301PC荧光分光光度计,日本日立仪器有限责任公司;Nicolet iS50 FTIR光谱仪,美国赛默飞世尔科学公司;XH-T X射线多晶衍射仪,北京普析通用仪器有限责任公司;BT-Zeta100 Zeta电位/纳米粒度/分子量分析仪,丹东百特仪器有限公司;STA449F5热分析仪,德国耐驰仪器制造有限公司。

1.3 实验方法

1.3.1 甜菜红素的提取

挑选新鲜红甜菜根,去皮、清洗、切块、冷冻干燥、粉碎。粉末和蒸馏水按料液比1∶15(g∶mL)混合,于37 ℃恒温水浴中避光搅拌12 h后,在9 000 r/min下离心15 min,取上清液进行喷雾干燥,进口温度为140 ℃,物料流量为200 mL/h,即得BT粉末,于4 ℃下避光保存[16]

1.3.2 BT-MC复合物制备

称取适量BT粉末溶于水,配制成浓度为1、2、3、4、5 mmol/L的BT水溶液,分别记为BT1、BT2、BT3、BT4、BT5,现配现用。BT-MC复合物制备参照瓦文强等[15]的方法,将MC溶解于0.05 mol/L、pH 6.86的磷酸盐缓冲溶液中,获得终质量浓度为30 g/L的MC溶液。称取适量BT粉末配制成浓度为2、4、6、8、10 mmol/L的BT水溶液,分别与等体积MC溶液混合,37 ℃水浴搅拌20 min,即得BT-MC复合物溶液;将复合物冷冻干燥48 h制得BT-MC复合物粉末,记为BT-MC1、BT-MC2、BT-MC3、BT-MC4、BT-MC5,4 ℃避光保存。

1.3.3 紫外-可见光谱测定

采用紫外-可见分光光度计在300~800 nm处对游离BT溶液及BT-MC复合物溶液的紫外-可见光谱进行测定。

1.3.4 荧光光谱测定

参照DAI等[17]的方法,使用荧光分光光度计测定BT-MC复合物溶液的荧光光谱,激发波长为280 nm、激发狭缝和发射狭缝均为5 nm,在300~450 nm测量。

由Stern-Volmer方程确定MC和BT之间的荧光猝灭机制;利用Double-logarithmic计算静态猝灭时MC与猝灭剂之间的结合常数Ka和每个蛋白的结合位点数n;用Van’t Hoff方程计算BT与MC结合过程的热力学参数。

1.3.5 傅里叶变换红外光谱(Fourier transform infrared spectroscopy,FTIR)测定

将BT-MC复合物粉末置于衰减全反射元件上,使用红外光谱仪扫描500~4 000 cm-1的红外光谱,扫描次数32次,分辨率4 cm-1。参考ZHAO等[6]的方法,采用Peakfit4.12软件对酰胺Ⅰ带(1 600~1 700 cm-1)进行二阶导数计算,进而确定二级结构含量;其中,1 648~1 664 cm-1处为α-螺旋,1 615~1 637 cm-1和1 682~1 700 cm-1处为β-折叠,1 664~1 681 cm-1处为β-转角,1 637~1 648 cm-1处为无规卷曲。

1.3.6 X射线衍射(X-ray diffraction,XRD)测定

使用X射线多晶衍射仪,在Cu Kα辐射下对样品进行XRD扫描[18]

1.3.7 粒径和Zeta电位测定

使用BT-Zeta100粒度仪,测定BT-MC复合物溶液的粒径及Zeta电位[19]

1.3.8 热重-差示扫描量热(thermogravimetric-differential scanning calorimetry,TG-DSC)测定

参照郑杰等[20]的方法,称取10 mg样品于坩埚中,空坩埚作为空白对照,使用TG-DSC热分析仪测定BT-MC复合物在50~400 ℃的热分解特性,升温速率为5 ℃/min。

1.3.9 稳定性测定

1.3.9.1 温度对BT稳定性的影响

参照芦霞等[8]的方法并稍作修改,将不同浓度BT及复合物溶液避光置于40、60、80 ℃下,分别加热30、60、90、120 min后,用紫外-可见分光光度计测定溶液在536 nm处的吸光度,根据吸光度计算BT的保留率。

根据朗伯-比尔定律[A(λ)=K×b×c],保留率可用处理前后BT吸光度之比表示[21],计算见公式(1):

(1)

式中:R,BT保留率,%;A1,样品溶液的初始吸光度;A2,热处理后样品溶液的吸光度。

1.3.9.2 pH对BT稳定性的影响

将样品溶液pH值分别调为8.0和11.0,室温避光静置30、60、90、120 min后,采用紫外-可见分光光度计测定溶液在536 nm处的吸光度,根据吸光度计算BT的保留率[22]

1.3.9.3 金属离子对BT稳定性的影响

将样品溶液分别以1∶1的体积比与0.01 mol/L FeCl3或0.01 mol/L ZnCl2溶液均匀混合,室温避光静置30、60、90、120 min,测定溶液在536 nm处的吸光度,根据吸光度计算BT的保留率[14]

1.4 数据统计分析

所有实验均独立重复3次,所得数据通过Excel 软件进行处理,并以“平均值±标准差”表示。图表绘制采用Origin Pro 2021软件,数据的显著性差异分析使用IBM SPSS Statistics 22软件,采用Duncan 法进行各数据间的差异显著分析。

2 结果与分析

2.1 BT-MC复合物结构表征

2.1.1 紫外-可见光谱分析

图1为游离BT及BT-MC复合物在300~800 nm处的紫外光谱图。由图1-a可知,BT溶液在536 nm处出现最大吸收峰,且随着浓度的增加,最大吸光度也增加。由图1-b所示,随着BT浓度的增加,BT-MC复合物在536 nm附近的吸光度也增加,且其最大吸收波长红移至538 nm处,表明BT和MC形成复合物。胡婷等[9]研究发现,BT与乳清分离蛋白结合后,乳清分离蛋白的吸光度随BT浓度的增加而增大,证明BT与乳清分离蛋白形成复合物,与本文研究结果一致。

a-游离BT;b-BT-MC复合物

图1 游离BT及BT-MC复合物的紫外光谱图
Fig.1 UV-Vis spectra of BT and BT-MC complexes

2.1.2 荧光光谱分析

由图2可知,MC在352 nm处有最大荧光值(1 513.04),当BT浓度为10 mmol/L时,BT-MC复合物在355 nm处有最大荧光强度(266.59),且MC的最大荧光强度随BT浓度的增加而降低,同时最大发射波长出现红移,表明BT对MC有荧光猝灭作用,即BT与MC以非共价作用结合,形成BT-MC复合物。

图2 BT-MC复合物的荧光光谱图
Fig.2 Fluorescence spectra of BT-MC complexes

MARTNEZ等[23]研究发现,BT对11S藜麦种子蛋白的内源荧光有猝灭作用,证实了复合物的形成。另外,BT与大豆分离蛋白结合后,蛋白质同步荧光强度随着BT浓度的增大出现明显下降和轻微红移,表明BT与大豆分离蛋白非共价结合[6]

2.1.3 荧光猝灭机制及结合参数

从表1中可以看出,BT对MC的最小猝灭速率常数Kq为(3.22±0.49)×1010 L/(mol·s),大于猝灭剂对分子的最大动态猝灭速率2.0×1010 L/(mol·s),表明BT与MC为静态猝灭过程;随着温度的上升,结合常数Ka呈明显下降趋势,说明温度升高使BT与MC的结合作用减弱;对于结合位点n,温度对其影响较小,3种温度下的MC与BT的结合位点约为1。

表1 MC与BT的结合参数
Table 1 Binding parameters of MC and BT

温度/KKsv/(×102L/mol)Kq/[×1010L/(mol·s)]Ka/(×103L/mol)nΔG/(kJ/mol)ΔS/[J/(mol·K)]ΔH/(kJ/mol)2983.22±0.493.22±0.498.18±6.171.58±0.19-21.13±2.293105.39±0.835.39±0.833.79±2.681.41±0.17-20.31±2.22-397.73±97.42-141.39±31.833187.80±0.127.80±0.122.18±0.981.34±0.09-14.31±0.74

由表1中的热力学参数可知,ΔG、ΔH及ΔS均小于零,表明BT与MC结合过程是焓驱动的自发过程,二者主要的相互作用力为范德华力和氢键[24]

有研究表明,在298 K和310 K下,BT与乳清分离蛋白的结合常数分别为1.78×103 L/mol和2.60×102 L/mol,结合常数随温度的升高而降低,二者作用力为氢键及范德华力[9],与本研究结果一致。

2.1.4 FTIR分析

由图3可知,对于MC,酰胺Ⅰ带1 644.0 cm-1处是CO的伸缩振动,酰胺Ⅱ带1 531.7 cm-1处为N—H的弯曲振动[25]。对于BT,980.14 cm-1处是C—H面外弯曲振动,1 411.2 cm-1处是C—H伸缩振动,1 613.6 cm-1处为CN伸缩振动,3 298.6 cm-1处为O—H伸缩振动[26]。加入BT后,MC酰胺Ⅰ带红移至1 652.2 cm-1,且BT在1 411.2 cm-1处的峰消失,表明BT与MC结合形成了BT-MC复合物。

图3 BT-MC复合物的FTIR图
Fig.3 FTIR spectra of BT-MC complexes

对酰胺I带(1 700~1 600 cm-1)进行拟合,得出MC及BT-MC复合物的二级结构如表2所示。与MC相比,复合物中α-螺旋的含量显著增加(P<0.05),β-转角及无规卷曲的含量则降低。即添加BT后,MC二级结构改变,形成了稳定的BT-MC复合物。ZANG等[27]将预热乳清蛋白与花青素混合后,发现蛋白的α-螺旋和无规卷曲减少,β-折叠和β-转角增加,表明二者混合后形成了更稳定的复合物。

表2 BT-MC复合物的二级结构含量 单位:%
Table 2 Secondary structure contents of BT-MC complexes

样品α-螺旋β-折叠β-转角无规卷曲MC25.62±1.38d18.37±0.55b16.08±0.29a39.93±0.97aBT-MC127.33±0.08cbd22.19±1.05a12.92±0.15b37.57±0.98abBT-MC230.42±0.87a22.12±1.35a12.48±0.48b34.97±0.97bBT-MC326.89±1.57cd22.72±2.22a13.19±0.76b37.20±0.89bBT-MC430.12±0.50ab21.92±1.66a12.33±0.43b35.63±1.21bBT-MC529.43±1.53abc21.51±0.89ab12.70±0.22b36.36±0.82b

注:不同小写字母表示样品间差异显著(P<0.05)。

2.1.5 XRD分析

由图4可知,MC在20°附近出现1个宽峰,而BT没有任何明显的衍射峰,表明两者均为无定形结构。BT与MC混合后,在32°处出现1个新的晶体衍射峰,且衍射峰强度随着BT浓度增加而略有增强,表明BT-MC复合物形成,且BT浓度越大,作用力越强。根据毕会敏等[28]的研究,添加花青素后,大豆分离蛋白膜在20°处出现衍射峰,说明两者之间形成了较强的分子间作用力,与本研究结果类似。

图4 BT-MC复合物XRD图
Fig.4 XRD patterns of BT-MC complexes

2.1.6 粒径及Zeta电位分析

由5-a可知,复合物粒径小于游离BT粒径,这是由于蛋白质与BT发生相互作用后形成了更紧密的结构,导致整体粒径的减小。另外观察到BT-MC复合物的粒径随着BT浓度的增大而增大,这是由于BT与MC结合,致使MC粒径增大。DAI等[29]的研究显示,随着儿茶素浓度的上升,大豆分离蛋白-儿茶素复合物的粒径增加,说明复合物的形成。另外,BT与大豆分离蛋白、乳铁蛋白以及β-乳球蛋白复合后,粒径均增大,证明形成稳定的体系[30]

由图5-b可知,游离BT及BT-MC复合物均带负电荷,且BT-MC复合物Zeta电位的绝对值随着BT浓度的增大而增大,表明BT-MC复合物形成。复合物的电位绝对值增加,一方面是由于BT浓度的增加使溶液中负电量增加;另一方面,BT使MC的二级结构发生改变,这种变化可能会减少正电荷基团的暴露,并增加蛋白质的负电荷[19]

a-粒径;b-Zeta电位

图5 BT-MC复合物的粒径和Zeta电位图
Fig.5 Particle size and Zeta-potential of BT-MC complexes

注:图中不同大写字母表示BT样品间差异显著(P<0.05),不同小写字母表示BT-MC样品间差异显著(P<0.05)(下同)。

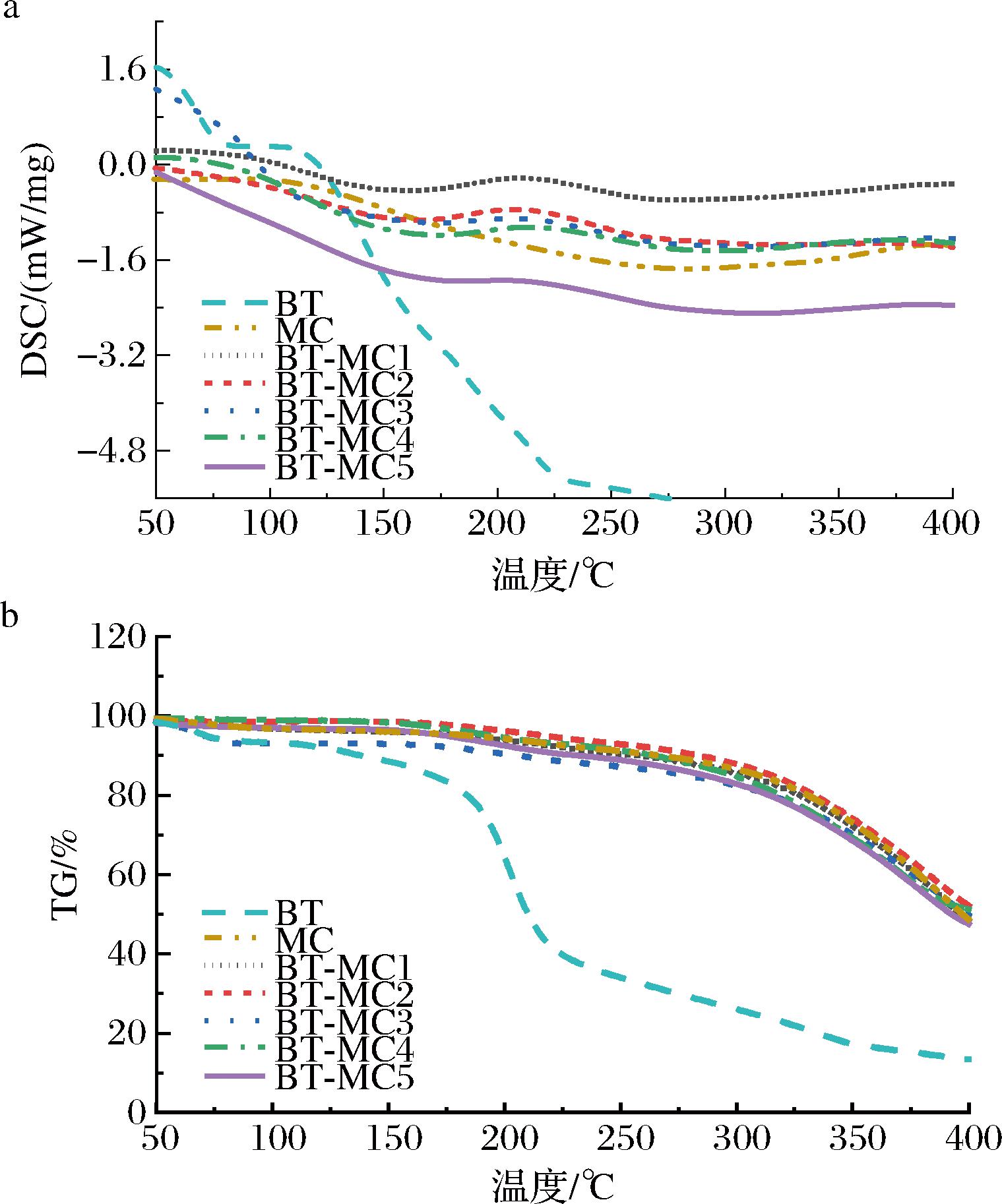
2.1.7 TG-DSC分析

图6为BT-MC复合物的DSC和TG曲线。由图6-a可以看出,BT在80 ℃附近出现吸热峰,是由水分的蒸发所致;随着温度继续上升,BT并未出现晶体的熔融吸热峰,说明BT具有无定形结构,与XRD结果一致。当BT与MC发生相互作用后,BT的特征吸热峰消失,与此同时在220 ℃附近出现一个显著的放热峰,这是由于复合物的热分解所致。

a-DSC;b-TG

图6 BT-MC复合物的DSC和TG曲线
Fig.6 DSC and TG curves of BT-MC complexes

由图6-b可知,游离BT在80 ℃附近出现第一次失重,为水分的蒸发阶段,质量损失为6.93%;第二次失重在180~210 ℃,为BT的热分解,质量损失为31.84%[31]。而BT-MC复合物失重则在200~300 ℃,质量损失约为6%,质量损失率明显低于游离BT,说明复合物的形成可以明显减缓BT的热分解,与MC复合后BT的热稳定性增加。有研究指出,微胶囊化的BT热降解率更低,蛋白质和麦芽糊精体系对BT的热降解起到保护作用[32],与本研究结果一致。

2.2 温度对BT-MC复合物稳定性的影响

2.2.1 不同温度热处理下BT的保留率分析

由图7可知,随着温度的升高,游离BT的保留率下降,且温度越高保留率下降趋势越大。研究指出,温度对BT的稳定性有显著影响,在温度超过40 ℃时,其吸光度明显下降[33]。在40、60、80 ℃的热处理条件下,复合物中的BT降解率均明显低于游离BT,且随着加热时间的延长,复合物中BT的保留率变化不大。其中,BT浓度为1 mmol/L时,在80 ℃高温处理120 min后游离BT的保留率为(29.22±1.64)%,而复合物中BT的保留率为(91.88±0.77)%;当BT浓度为5 mmol/L时,相同条件下BT的保留率从游离状态的(23.90±1.11)%提高至复合物中的(81.07±0.73)%。即,MC负载对BT起到了显著的保护作用,这是由于BT与MC的相互作用增强了其结构的稳定性,缓解了其在高温下的降解速率,进而提高了BT的保留率。综上所述,MC与BT的结合有效增强了BT的热稳定性。

a-40 ℃;b-60 ℃;c-80 ℃

图7 不同温度处理下BT保留率
Fig.7 Retention rate of BT with different heat treatment

2.2.2 不同温度处理对BT-MC复合物粒径和Zeta电位的影响

为了进一步解释MC对BT热稳定性的影响,对40、60、80 ℃下加热120 min的BT-MC复合物进行粒径和Zeta电位分析,结果如图8所示。

a-粒径;b-Zeta电位

图8 不同温度处理120 min后BT及BT-MC复合物的粒径及Zeta电位
Fig.8 Particle size and Zeta-potential of BT and BT-MC complexes after heat treatment at different temperatures for 120 min

如图8-a所示,游离BT的粒径随着热处理温度的增加而明显减小,表明BT在高温下发生降解,且降解程度较高。而随热处理温度的增加,复合物的粒径维持稳定,基本保持在350 nm左右,说明与MC复合能明显改善BT在高温下的降解,与上述保留率的分析结果一致。

由图8-b可知,随着温度的升高,游离BT的负电荷增加,说明高温下BT发生降解。热处理后,BT-MC复合物Zeta电位的变化程度较小,且规律性不强,这是由于与MC复合防止了BT的热降解,提高了其结构稳定性。

2.3 pH对BT-MC复合物稳定性的影响

2.3.1 不同pH处理下BT保留率分析

BT及其衍生物在碱性条件下容易降解,生成甜菜醛氨酸和环多巴-β-葡萄糖苷[34],故选择pH 8.0和11.0条件下研究BT-MC复合物中BT稳定性的变化规律。图9-a和图9-b分别为pH 8.0和pH 11.0下处理不同时间后BT保留率变化。随着碱处理时间的延长,游离BT的保留率下降,表明碱性环境使BT的稳定性降低。但在pH 8.0和11.0条件下,复合物中BT的保留率高于游离BT,如pH 11.0下处理2 h后BT1的保留率为(47.62±0.33)%,而复合物BT-MC1中BT的保留率为(94.00±0.54)%;相同条件下游离BT5的保留率为(56.88±0.42)%,复合物BT-MC5中BT的保留率为(95.54±0.17)%,表明MC负载对BT起到了保护作用。这是由于BT与MC非共价结合后,防止其在强碱环境中水解,从而提高了BT的保留率。

a-pH 8.0;b-pH 11.0

图9 不同pH处理下BT保留率
Fig.9 Retention rate of BT with different pH

2.3.2 pH 11.0处理对BT-MC复合物粒径和Zeta电位的影响

由图10-a可知,pH 11.0时,游离BT的粒径随处理时间的延长而减小,说明BT在强碱性条件下易降解成粒径更小的粒子,即BT大分子在碱性条件下水解成分子质量更小的物质,与上述保留率分析结果一致。就BT-MC复合物而言,随着碱处理时间的延长,粒径的变化程度不大且BT浓度对其影响较小,说明MC与BT复合后能增强BT对强碱的抵御能力,缓解醛胺键在强碱作用下的水解,使BT在碱性环境中的稳定性增加。

a-粒径;b-Zeta电位

图10 pH 11.0处理下BT及BT-MC复合物的粒径及Zeta电位
Fig.10 Particle size and Zeta-potential of BT and BT-MC complexes at pH 11.0

由图10-b可知,随着碱处理时间的延长,BT所带的负电荷呈现增长趋势,这一现象表明游离BT降解,形成带有更多负电荷基团的分子,而BT-MC复合物的Zeta电位增长趋势不大,即与MC结合后,BT降解程度大幅度减小,稳定性提升。由此可见,在碱性条件下,MC对BT具有较好的保护作用。

2.4 金属离子对BT-MC复合物稳定性的影响

2.4.1 不同金属离子处理下BT保留率分析

Cu2+和Ni2+对BT的稳定性影响较大[35],而Fe3+和Zn2+在食品基质中较为常见,但其对BT稳定性的影响研究较少,故此次选择FeCl3和ZnCl2处理,分析其对BT稳定性的影响。

图11-a和11-b分别为FeCl3和ZnCl2处理不同时间后的BT保留率变化。由图可知,BT的保留率随着金属离子处理时间的延长而降低,这是由于金属离子与BT发生反应,BT褪色。添加Al3+、Cu2+等金属离子后,BT的保留率显著下降,且伴随颜色变化[36]

a-Fe3+;b-Zn2+

图11 Fe3+及Zn2+处理下BT保留率
Fig.11 Effect of Fe3+ and Zn2+ on the retention rate of BT

由图11-a可知,加入Fe3+后,与复合物相比,游离BT的保留率更高。加入Fe3+120 min后,1 mmol/L游离BT的保留率为(73.97±1.68)%,而复合物中BT保留率为(56.19±0.20)%。由图11-b可知,加入Zn2+后,游离BT及BT-MC复合物中BT的保留率变化趋势与Fe3+的一致。加入Zn2+120 min后,BT1和BT-MC1中BT的保留率分别为(73.97±1.26)%和(62.10±0.26)%。即在金属离子的处理下,复合物中BT的降解率更高,可见复合物对金属离子更敏感。这可能是Fe3+和Zn2+与蛋白质中的氨基酸残基形成配位键,中和蛋白质负电荷,改变蛋白质的构象,进而影响了MC对BT的保护作用。另一方面,游离BT与金属离子形成稳定的络合物,从而增加其结构的稳定性[1]。与MC结合后,BT与金属离子的络合作用减弱,稳定性下降。

2.4.2 Fe3+对BT-MC复合物粒径和Zeta电位的影响

由图12-a可知,游离BT粒径在加入Fe3+后迅速下降,说明Fe3+与BT反应,使其降解。随着Fe3+处理时间的延长,BT-MC复合物的粒径呈现增长趋势,这可能是Fe3+与MC反应生成了更大的分子,或是Fe3+与MC负载的BT发生络合作用,形成了更大的结构体系。

a-粒径;b-Zeta电位

图12 Fe3+处理下BT及BT-MC复合物的粒径及Zeta电位
Fig.12 Particle size and Zeta-potential of BT and BT-MC complexes with addition of Fe3+

由图12-b可以看出,Fe3+的加入使得游离BT的电荷从负变为正,表明Fe3+中和了BT的电荷。而加入Fe3+后,BT-MC复合物Zeta电位绝对值随着处理时间的延长而降低,但依然为负电,说明可能是Fe3+与MC形成了大分子,屏蔽了MC的部分负电荷。综上所述,加入MC使BT的金属离子稳定性下降。

3 结论

以MC为载体,制备了BT-MC非共价复合物。荧光光谱分析结果表明,MC对BT具有较高的亲和性,二者通过范德华力和氢键自发结合形成复合物,结合过程为放热过程。与BT结合后,MC的最大发射波长红移,荧光强度降低,二级结构改变。MC负载有效防止了BT的热降解,经40、60、80 ℃热处理后,复合物中BT的保留率显著高于游离BT。另外,MC负载有效提升了碱性条件下BT的稳定性,使其降解率降低。然而,与游离BT相比,BT-MC复合物中BT对Fe3+和Zn2+更加敏感,降解程度增加。综上所述,MC可作为载体基质,用于BT的负载,以改善其加工稳定性,扩大其在食品工业中的应用范围。

参考文献

[1] 肖默艳, 黄燕芬, 王东伟, 等.甜菜红素提取、纯化、稳定性及抗氧化活性研究进展[J].食品工业科技, 2019, 40(16):304-311:319.XIAO M Y, HUANG Y F, WANG D W, et al.Advances in extraction, purification, stability and antioxidant activity of betacyanin[J].Science and Technology of Food Industry, 2019, 40(16):304-311;319.

[2] 刘亚昕, 闫桦, 唐玲, 等.红甜菜和甜菜红素的综合应用研究进展[J].中国农学通报, 2022, 38(13):157-164.LIU Y X, YAN H, TANG L, et al.Red beet and betacyanins:Research progress on comprehensive application[J].Chinese Agricultural Science Bulletin, 2022, 38(13):157-164.

[3] SADOWSKA-BARTOSZ I, BARTOSZ G.Biological properties and applications of betalains[J].Molecules, 2021, 26(9):2520.

[4] CAI Y Z, CORKE H.Production and properties of spray-dried Amaranthus betacyanin pigments[J].Journal of food science, 2000, 65(7):1248-1252.

[5] CHRANIOTI C, NIKOLOUDAKI A, TZIA C.Saffron and beetroot extracts encapsulated in maltodextrin, gum arabic, modified starch and chitosan:Incorporation in a chewing gum system[J].Carbohydrate Polymers, 2015, 127:252-263.

[6] ZHAO H S, MA Z, JING P.Interaction of soy protein isolate fibrils with betalain from red beetroots:Morphology, spectroscopic characteristics and thermal stability[J].Food Research International, 2020, 135:109289.

[7] GENG Q, HU T, CHEN J, et al.Emulsion stability enhancement against storage and environment stresses using complex plant protein and betanin[J].Food Bioscience, 2024, 59:104075.

[8] 芦霞, 胡飞.乳蛋白对甜菜红苷热稳定性的影响[J].中国食品学报, 2022, 22(12):94-103.LU X, HU F.Effect of milk proteins on the thermal stability of betanin[J].Journal of Chinese Institute of Food Science and Technology, 2022, 22(12):94-103.

[9] 胡婷, 耿勤, 付敏, 等.多光谱学与分子模拟技术表征甜菜苷与乳清蛋白的相互作用[J].食品工业科技, 2022, 43(23):86-94.HU T, GENG Q, FU M, et al.The interaction between betanin and whey protein:Based on multi-spectroscopy and molecular simulation[J].Science and Technology of Food Industry, 2022, 43(23):86-94.

[10] FOX P F, BRODKORB A.The casein micelle:Historical aspects, current concepts and significance[J].International Dairy Journal, 2008, 18(7):677-684.

[11] SADIQ U, GILL H, CHANDRAPALA J.Casein micelles as an emerging delivery system for bioactive food components[J].Foods, 2021, 10(8):1965.

[12] LANG Y X, LI B, GONG E S, et al.Effects of α-casein and β-casein on the stability, antioxidant activity and bioaccessibility of blueberry anthocyanins with an in vitro simulated digestion[J].Food Chemistry, 2021, 334:127526.

[13] WANG Y C, YANG M, QIN J J, et al.Interactions between puerarin/daidzein and micellar casein[J].Journal of Food Biochemistry, 2022, 46(2):e14048.

[14] 王楠, 杨敏, 郑杰, 等.酪蛋白胶束对原花青素稳定性的影响[J].食品与发酵工业, 2023, 49(3):164-174.WANG N, YANG M, ZHENG J, et al.Effect of micellar casein on the stability of proanthocyanidins[J].Food and Fermentation Industries, 2023, 49(3):164-174.

[15] 瓦文强, 秦娟娟, 杨敏, 等.酪蛋白胶束乳液凝胶性质及其在大黄素负载中的应用[J].食品与发酵工业, 2023, 49(1):132-139.WA W Q, QIN J J, YANG M, et al.Properties of emulsion gel based on casein micelles and its application in emodin loading[J].Food and Fermentation Industries, 2023, 49(1):132-139.

[16] 吕思润. 甜菜红素的提取纯化及其生物活性研究[D].哈尔滨:哈尔滨工业大学, 2024.LYU S M.Extraction and purification of beet erythropoietin and its biological activities[D].Harbin:Harbin Institute of Technology, 2024.

[17] DAI T T, LI R Y, LIU C M, et al.Effect of rice glutelin resveratrol interactions on the formation and stability of emulsions:A multiphotonic spectroscopy and molecular docking study[J].Food Hydrocolloids, 2019, 97:105234.

[18] QIN J J, YANG M, WANG Y C, et al.Interaction between caffeic acid/caffeic acid phenethyl ester and micellar casein[J].Food Chemistry, 2021, 349:129154.

[19] LI D, ZHAO Y, WANG X, et al.Effects of (+)-catechin on a rice bran protein oil-in-water emulsion:Droplet size, Zeta-potential, emulsifying properties, and rheological behavior[J].Food Hydrocolloids, 2020, 98:105306.

[20] 郑杰, 杨敏, 甄晨波, 等.酪蛋白胶束与多元活性分子的相互作用及其复合物特性[J].食品科学, 2023, 44(14):8-19.ZHENG J, YANG M, ZHEN C B, et al.Interactions between casein micelles and various active molecules and properties of their complexes[J].Journal of Food Science, 2023, 44(14):8-19.

[21] 于明, 张谦, 过利敏, 等.甜菜红素理化性质及其稳定性研究[J].新疆农业科学, 2002, 39(6):331-334.YU M, ZHANG Q, GUO L M, et al.Study on the physicochemical property and stability of the beet red pigment[J].Xinjiang Agricultural Science, 2002, 39(6):331-334.

[22] 张琦, 孟宪军, 孙希云, 等.葡萄籽中原花青素的稳定性研究[J].沈阳农业大学学报, 2006, 37(2):232-234.ZHANG Q, MENG X J, SUN X Y, et al.Stabilization of ability proanthocyanidins from grape seeds[J].Journal of Shenyang Agricultural University, 2006, 37(2):232-234.

[23] MARTNEZ J H, VELZQUEZ F, BURRIEZA H P, et al.Betanin loaded nanocarriers based on quinoa seed 11S globulin.Impact on the protein structure and antioxidant activity[J].Food Hydrocolloids, 2019, 87:880-890.

[24] ROSS P D, SUBRAMANIAN S.Thermodynamics of protein association reactions:Forces contributing to stability[J].Biochemistry, 1981, 20(11):3096-3102.

[25] KONG J L, YU S N.Fourier transform infrared spectroscopic analysis of protein secondary structures[J].Acta Biochimica et Biophysica Sinica, 2007, 39(8):549-559.

[26] AZTATZI-RUGERIO L, GRANADOS-BALBUENA S Y, ZAINOS-CUAPIO Y, et al.Analysis of the degradation of betanin obtained from beetroot using Fourier transform infrared spectroscopy[J].Journal of Food Science and Technology, 2019, 56(8):3677-3686.

[27] ZANG Z H, TIAN J L, CHOU S R, et al.Investigation on the interaction mechanisms for stability of preheated whey protein isolate with anthocyanins from blueberry[J].International Journal of Biological Macromolecules, 2024, 255:127880.

[28] 毕会敏, 徐柠檬, 范方宇.花青素/大豆分离蛋白智能包装膜特性及鱼肉新鲜度监测[J].食品与发酵工业, 2023, 49(7):232-240.BI H M, XU N M, FAN F Y.Characteristics of smart packaging films of anthocyanin/soy protein isolate and monitoring of fish meat freshness[J].Food and Fermentation Industries, 2023, 49(7):232-240.

[29] DAI S C, LIAN Z T, QI W J, et al.Non-covalent interaction of soy protein isolate and catechin:Mechanism and effects on protein conformation[J].Food Chemistry, 2022, 384:132507.

[30] 胡婷, 韩嘉龙, 耿勤, 等.动物蛋白与植物蛋白对甜菜苷的热保护作用机制研究[J].食品工业科技, 2023, 44(7):10-18.HU T, HAN J L, GENG Q, et al.Study of the thermal protection mechanism of animal proteins and plant proteins on betanin[J].Science and Technology of Food Industry, 2023, 44(7):10-18.

[31] DEVADIGA D, AHIPA T N.Betanin:A Red-Violet Pigment-Chemistry and Applications[M].Chemistry and Technology of Natural and Synthetic Dyes and Pigments.London:IntechOpen, 2020.

[32] 楚朝霞. 红甜菜中甜菜红素的提取纯化及其微胶囊制备的研究[D] 哈尔滨:哈尔滨工业大学, 2021.CHU Z X.Extraction and purification of beet erythropoietin from red beet and its microcapsule preparation[D].Harbin:Harbin Institute of Technology, 2021.

[33] 王萍, 闫明哲.红甜菜色素稳定性影响因素研究进展[J].食品与生物技术学报, 2021, 40(7):11-29.WANG P, YAN M Z.Research advances on influencing factors of betalains stability in red beet[J].Journal of Food Science and Biotechnology, 2021, 40(7):11-29.

[34] ABARNA S, ALKA J, SHRUTI S,et al.Betalains stability and antioxidant activity of beetroots:As a function of maturity stage[J].Sugar Tech, 2024, 26(1):77-86.

[35] WYBRANIEC S, STARZAK K, A,et al.Effects of metal cations on betanin stability in aqueous-organic solutions[J].Food Science and Biotechnology, 2013, 22(2):353-363.

[36] 刘冰. 火龙果果皮甜菜红素提取及抗氧化保护作用研究[D].锦州:锦州医科大学, 2018.LIU B.The extraction and antioxidation protection of the betacyanin from the pitaya peel[D].Jinzhou:Jinzhou Medical University, 2018.

Study on the interaction between micellar casein and betanin, and the properties of their complexes

ZENG Xueer, KE Fahui, YANG Min*, ZHANG Wenjuan, WEI Yanming

(College of Science, Gansu Agricultural University, Lanzhou 730070, China)

ABSTRACT Betanin (BT) is a kind of water-soluble nitrogenous pigment with multiple biological activities, but its stability is low, which limits its application in the food industry.In this study, micellar casein (MC) was used as a matrix to prepare BT-MC complexes.The interaction between BT and MC was investigated, as well as the effects of heat treatment (40, 60, 80 ℃), pH (8.0, 11.0), and addition of metal ions (Fe3+, Zn2+) on the stability of BT with or without MC loading.The results showed that BT combined with MC through van der Waals force and hydrogen bonds, the binding process of which was exothermic with the binding constant (Ka) of (8.18±6.17)×103 L/mol at 298 K.After combination, the conformation of the MC was altered, in which the content of α-helix increased while the contents of β-turn and random coil reduced.Combining with MC significantly enhanced the retention rate of BT after heat treatment, with the retention rate of 1 mmol/L BT increasing from (29.22±1.64)% to (91.88±0.77)% after 2 hours of heating at 80 ℃, while 5 mmol/L BT increased from (23.90±1.11)% to (81.07±0.73)%.In addition, MC improved the stability of BT under alkaline conditions, with the retention rate of 1 mmol/L BT increasing from (47.62±0.33)% to (94.00±0.54)% after 2 hours at pH 11.0, while for 5 mmol/L BT increasing from (56.88±0.42)% to (95.54±0.17)%.However, the MC combination reduced the stability of BT in the presence of metal ions.Thus, combination with MC was beneficial to improve the thermal stability and pH stability of BT.MC could be used as a natural carrier for BT loading to expand its application.

Key words betanin; micellar casein; interaction; stability; retention rate

DOI:10.13995/j.cnki.11-1802/ts.041619

引用格式:曾学而,柯发辉,杨敏,等.酪蛋白胶束与甜菜红素相互作用及其复合物性质研究[J].食品与发酵工业,2025,51(18):127-135.ZENG Xueer,KE Fahui,YANG Min, et al.Study on the interaction between micellar casein and betanin, and the properties of their complexes[J].Food and Fermentation Industries,2025,51(18):127-135.

第一作者:硕士研究生(杨敏教授为通信作者,E-mail:yummy12@163.com)

基金项目:甘肃省重点研发计划项目(23YFNA0017);2024年创新驱动助力工程项目(GXH20240328-15);兰州市人才创新创业项目(2023-RC-22);2023年省级制造业高质量发展专项

收稿日期:2024-11-18,改回日期:2025-02-13