不同晶型淀粉对魔芋葡甘聚糖冷冻凝胶特性与结构的影响

孙颖1,厉晓静1,王一州1,薛冰洁1,朱崇1,张甫生1,2*

1(西南大学 食品科学学院,重庆,400715)2(川渝共建特色食品重庆市重点实验室,重庆,400715)

摘 要 为探究不同晶型淀粉对魔芋葡甘聚糖(konjac glucomannan,KGM)凝胶品质的影响,选取了小麦淀粉(A型)、马铃薯淀粉(B型)、豌豆淀粉(C型)分别与KGM进行共混,经冷冻处理制成凝胶后,比较分析了其凝胶在色泽、质构、保水性方面的差异。结果表明,小麦淀粉、豌豆淀粉、马铃薯淀粉均能提高纯KGM冷冻凝胶的白度,增幅分别达到34.94%、28.19%、23.11%;并且能够降低纯KGM冷冻凝胶的析水率,降幅分别达到45.95%、46.73%、47.08%。在质构特性方面,小麦淀粉/KGM复合冷冻凝胶弹性较好;马铃薯淀粉/KGM复合冷冻凝胶在淀粉添加量低于15 g/L的条件下脆性较好。豌豆淀粉/KGM复合冷冻凝胶在淀粉添加量为10 g/L时,脆性达到最大值,比对照组提高约18.81%;当淀粉添加量为15 g/L时,硬度达到最大值,比对照组提高约23.07%。综上,不同晶型淀粉对KGM冷冻凝胶的不同特性分别有着不同程度的改善作用,其中豌豆淀粉/KGM复合冷冻凝胶在外观、凝胶强度、冻融稳定性3个方面的提升效果最好,这将在一定程度上拓展KGM凝胶的开发潜力和应用范围。

关键词 魔芋葡甘聚糖;冷冻凝胶;小麦淀粉;豌豆淀粉;马铃薯淀粉;特性;结构

魔芋(Amorphophallus konjac C.Koch),又称蒟蒻,是一类药食两用的天南星科多年生草本植物。魔芋葡甘聚糖(konjac glucomannan,KGM)提取于魔芋块茎,是一种中性非离子型多糖,因具有良好的增稠性、成膜性、胶凝性而广受消费者青睐[1-2]。传统魔芋凝胶因色泽偏暗、强度不足、持水性差等缺点,限制了其在食品行业的应用,因此常通过物理、化学和生物酶法对其进行改性。物理改性如共混、超声、超高压等处理手段,能够在不产生化学残留的情况下较为安全和高效地对KGM进行改性,而共混改性增效又是其中最为简便快捷的方式。

近年来,国内外研究者主要采用卡拉胶、黄原胶、淀粉等多糖[3-4]与KGM共混,以改善KGM的凝胶和流变特性,淀粉因其成本低廉、容易获取而更为常用[5]。不同种类淀粉对KGM凝胶品质的改良具有不同效果,LI等[6]发现绿豆淀粉提高KGM的水溶性和凝胶强度,红薯淀粉提高KGM的黏度,玉米淀粉提高KGM的凝胶均匀性;徐聪等[7]研究表明木薯淀粉降低KGM凝胶的脱水收缩率,提高其抗冻性;田宸等[8]研究显示小麦淀粉在降低KGM凝胶硬度的同时提高其弹性。目前大多数淀粉共混KGM研究侧重于几种淀粉对KGM某些特性的影响,并未对不同类型淀粉与KGM的共混特性进行全方位分析,对微观结构和互作机理的研究更不多见。

基于此,在利用淀粉老化回生协同冷冻提升KGM凝胶性能的基础上,以天然淀粉晶型作为划分依据[9],分别在谷类、豆类、薯类中选取了小麦淀粉(wheat starch,WS)、豌豆淀粉(pea starch,PES)、马铃薯淀粉(potato starch,PTS)这3种产量大、来源广且具有代表性的淀粉,与魔芋精粉共混后制成冷冻凝胶,进行相关理化性质及结构的测定和分析,探究其对魔芋凝胶品质的影响特点及作用规律,以期为魔芋凝胶素食的研发和应用提供理论支撑。

1 材料与方法

1.1 材料与试剂

特级魔芋精粉(纯度≥85%),重庆鑫来农产品开发有限公司;WS、PES、PTS,上海源叶生物科技有限公司;食用纯碱(Na2CO3,纯度≥99%),河南中源化学股份有限公司。

1.2 仪器与设备

90-2定时恒温磁力搅拌器,上海泸西分析仪器厂;LE104E电子分析天平,梅特勒-托利多仪上海器有限公司;HH-ZK8数显恒温水浴锅,巩义市予华仪器有限责任公司;H2-16KR台式高速离心机,湖南可成仪器设备有限公司;SCIENTZ-10 ND真空冷冻干燥机,宁波新芝生物科技股份有限公司;WR-18色差仪,深圳市威福光电科技有限公司;RVA-TecMaster快速黏度分析仪,澳大利亚Perten公司;TA.XT Plus质构仪,英国Stable Micro System公司;Spectrum Two傅里叶变换红外光谱分析仪(Fourier transform infrared spectroscopy,FTIR),美国PE公司;NETZSCH差示扫描量热仪,美国TA公司;TD3500X-射线衍射仪(X-ray diffraction,XRD),丹东通达科技有限公司;Phenom Pro扫描电镜,荷兰Phenom公司。

1.3 实验方法

1.3.1 淀粉/KGM复合冷冻凝胶制备

分别称取0、0.5、1.0、1.5、2.0、2.5 g淀粉,加入至溶有0.4 g碳酸钠的100 mL蒸馏水内,并将其搅拌分散;然后加入5.0 g魔芋精粉,搅拌均匀后快速倒入立方体模具(2.0 cm×2.0 cm×1.4 cm)。在25 ℃室温下静置溶胀3 h后放入90 ℃水浴锅加热1 h形成凝胶,取出后冷却至室温,再置于-18 ℃冰箱中冷冻24 h,4 ℃冰箱中解冻12 h后,隔夜待测。以纯KGM冷冻凝胶作为对照组,复合冷冻凝胶样品按共混淀粉种类命名为KGM-WS、KGM-PES、KGM-PTS。

1.3.2 复合冷冻凝胶色泽测定

用色差仪测定复合凝胶的色度值。L*表示亮度(0为黑色,100为白色);a*表示红绿值,正值为红色,负值为绿色;b*表示黄蓝值,正值为黄色,负值为蓝色。按公式(1)计算复合凝胶的白度(W)。

(1)

1.3.3 复合冷冻凝胶全质构测试

将凝胶样品从立方体模具中取出,擦干表面水分,采用质构仪全质构模式进行测定。测试条件:探头P/0.5,测试前速度2 mm/s,测试中和测试后速度1 mm/s,触发力5 g,形变50%。

1.3.4 复合冷冻凝胶剪切测试

将凝胶样品从立方体模具中取出,擦干表面水分,采用质构仪剪切模式进行测定。测试条件:探头A/MORS,测试前速度2 mm/s,测试中和测试后速度1 mm/s,触发力5 g,形变75%。

1.3.5 复合冷冻凝胶保水性测定

参考ZHANG等[10]的方法。记录加热后冷却至室温的凝胶质量为a;将经冻融处理后的凝胶用滤纸擦去表面水分,记录质量为b;将擦去表面水分的凝胶在离心机中以10 000 r/min的速度离心15 min后擦去表面水分,记录质量为c。按公式(2)和公式(3)分别计算复合凝胶的析水率和持水率。

析水率

(2)

持水率

(3)

1.3.6 复合冷冻凝胶差示扫描量热法

将凝胶样品预冷冻24 h后真空冷冻干燥48 h,研磨粉碎,过100 目筛。准确称取5 mg凝胶粉末样品置于坩锅内压片密封,用差示扫描量热仪进行测定,以空坩埚作为空白。测试温度:25~250 ℃,升温速率为10 ℃/min[11]

1.3.7 复合冷冻凝胶傅里叶变换红外光谱

将凝胶样品预冷冻24 h后真空冷冻干燥48 h,研磨粉碎,过100目筛。用傅里叶变换红外光谱仪进行测定,在4 000~600 cm-1进行扫描,分辨率为4 cm-1[12]

1.3.8 复合冷冻凝胶X-射线衍射

将凝胶样品预冷冻24 h后真空冷冻干燥48 h,研磨粉碎,过100目筛。用X-射线衍射仪进行测定,扫描范围为5°~50°,步长为0.02°,扫描速度为2°/min,通过MDI Jade 6.0软件计算相对结晶度(relative crystallinity,RC)[13]

1.3.9 复合冷冻凝胶扫描电镜

将凝胶样品预冷冻24 h后真空冷冻干燥48 h,切成薄片(5.0 mm×5.0 mm×1.0 mm),用扫描电子显微镜观察样品横截面形貌并拍照[14]

1.4 数据统计与分析

采用Microsoft Excel处理数据,每组试验重复3次,结果以“平均值±标准差”表示,采用SPSS 26.0对结果进行统计分析,不同的字母标记表示样品具有显著性差异(P<0.05),采用Origin 2021绘制图表。

2 结果与分析

2.1 不同淀粉及复合冷冻凝胶的理化性质分析

2.1.1 淀粉类型和添加量对复合冷冻凝胶色泽的影响

不同淀粉/KGM复合冷冻凝胶的色泽如表1所示。随着淀粉添加量的增加,复合冷冻凝胶a*值、b*值总体呈下降趋势,L*值和W值呈上升趋势。与对照组相比,淀粉/KGM复合冷冻凝胶向绿色、蓝色转变,亮度和白度提高,这与齐慧等[15]的研究结果相似。

表1 不同复合凝胶的色泽参数
Table 1 Color parameters of different composite gel

凝胶样品L*值a*值b*值WKGM18.37±0.14Ad3.61±0.44Aa5.62±0.50Aa18.09±0.19AdKGM-5 g/L WS19.34±0.31Ac2.24±0.04Cb1.16±0.08Cb19.30±0.31AcKGM-10 g/L WS19.51±0.15Ac1.82±0.27Ab-0.53±0.56Bc19.48±0.15AcKGM-15 g/L WS20.58±0.47Ab1.83±0.31Bb-0.58±0.26Cc20.55±0.48AbKGM-20 g/L WS23.82±0.09Aa0.53±0.07Bc-2.08±0.08Cd23.79±0.09AaKGM-25 g/L WS24.43±0.19Aa0.20±0.02Cc-1.80±0.05Cd24.41±0.19AaKGM18.37±0.14Ad3.61±0.44Aab5.62±0.50Aa18.09±0.19AdKGM-5 g/L PES18.74±0.76Acd4.51±0.17Aa4.39±0.35Ab18.50±0.76AcdKGM-10 g/L PES19.90±0.46Abc2.88±0.33Ab1.85±0.23Ac19.82±0.47AbcKGM-15 g/L PES19.33±0.16Bbcd1.64±0.14Bc1.66±0.33Ac19.29±0.16BbcdKGM-20 g/L PES20.74±0.25Cb1.65±0.23Ac1.07±0.19Ac20.72±0.26CbKGM-25 g/L PES23.20±0.33Ba0.63±0.12Bd-0.27±0.03Bd23.19±0.33BaKGM18.37±0.14Ad3.61±0.44Aa5.62±0.50Aa18.09±0.19AdKGM-5 g/L PTS19.51±0.15Ac4.02±0.07Ba3.14±0.18Bb19.35±0.16AcKGM-10 g/L PTS19.82±0.08Ac2.33±0.26Abc1.65±0.05Ac19.77±0.07AcKGM-15 g/L PTS19.51±0.27ABc2.67±0.16Ab0.74±0.12Bcd19.46±0.27ABcKGM-20 g/L PTS21.42±0.19Bb1.74±0.09Acd0.59±0.03Bd21.40±0.19BbKGM-25 g/L PTS22.28±0.40Ba1.26±0.09Ad0.49±0.35Ad22.27±0.40Ba

注:不同大写字母表示相同浓度下不同种类的淀粉/KGM复合凝胶样品间差异显著(P<0.05),不同小写字母表示同一种类下不同浓度的淀粉/KGM复合凝胶样品间差异显著(P<0.05)(下同)。

当淀粉添加量为5 g/L时,三者亮度、白度无显著差异,但小麦淀粉/KGM复合冷冻凝胶a*值、b*值均显著小于豌豆淀粉、马铃薯淀粉/KGM复合冷冻凝胶。当淀粉添加量为10 g/L时,三者亮度、白度仍无显著差异,此时小麦淀粉/KGM复合冷冻凝胶b*值跨过零点变为负值,由偏黄转为偏蓝;而豌豆淀粉、马铃薯淀粉/KGM复合冷冻凝胶a*值、b*值也有所减小。当淀粉添加量在15~25 g/L时,小麦淀粉/KGM复合冷冻凝胶亮度、白度显著高于豌豆淀粉、马铃薯淀粉。在15~20 g/L内,马铃薯淀粉/KGM复合冷冻凝胶亮度、白度略大于豌豆淀粉;在20~25 g/L内,马铃薯淀粉/KGM复合冷冻凝胶色度变化趋于平缓;而豌豆淀粉/KGM复合冷冻凝胶a*值大幅减小、b*值变为负值。当淀粉添加量达到25 g/L时,小麦淀粉、豌豆淀粉、马铃薯淀粉/KGM复合冷冻凝胶白度分别比对照组提升了34.94%、28.19%、23.11%。其中,小麦淀粉/KGM复合冷冻凝胶的a*值、b*值降幅最大,分别比对照组下降了94.46%、132.03%。结果表明,3种类型的淀粉均能对KGM冷冻凝胶起提亮增白的效果,其中,小麦淀粉对凝胶色泽提升效果最好,能够明显改善凝胶体系的外观。

2.1.2 淀粉类型和添加量对复合冷冻凝胶质构特性的影响

不同淀粉/KGM复合冷冻凝胶样品的质构特性如表2所示。

表2 不同复合凝胶的质构特性参数
Table 2 Texture characteristic parameters of different composite gel

凝胶样品 硬度/g弹性脆性/gKGM2 580.888±67.310Aa0.948±0.001Aa926.569±20.459AaKGM-5 g/L WS2 556.461±75.837ABa0.954±0.007Aa869.967±4.591BbKGM-10 g/L WS2 502.940±98.141Ba0.956±0.008Aa771.845±0.777CcKGM-15 g/L WS2 442.242±150.391Ba0.950±0.002Ba755.950±9.272CcKGM-20 g/L WS2 426.307±47.033Ba0.949±0.001ABa725.094±14.616BcKGM-25 g/L WS2 337.469±23.956Ba0.950±0.004Aa627.377±20.304BdKGM2 580.888±67.310Ac0.948±0.001Aa926.569±20.459AcdKGM-5 g/L PES2 733.034±20.513Ac0.946±0.003Aa989.743±23.546AbcKGM-10 g/L PES2 908.203±19.422Ab0.929±0.003Bb1 100.880±3.491AaKGM-15 g/L PES3 176.175±11.337Aa0.926±0.001Cb1 022.704±23.878AbKGM-20 g/L PES3 147.167±40.321Aa0.931±0.002Bb968.540±7.565AbcdKGM-25 g/L PES3 084.429±85.601Aa0.925±0.002Bb911.660±29.314AdKGM2 580.888±67.310Aa0.948±0.001Aa926.569±20.459AbKGM-5 g/L PTS2 345.132±85.178Bb0.956±0.002Aa988.284±10.437AaKGM-10 g/L PTS2 196.830±70.836Cbc0.961±0.006Aa952.323±12.898BabKGM-15 g/L PTS2 175.668±75.952Bbc0.959±0.003Aa954.229±7.562BabKGM-20 g/L PTS2 096.571±30.363Cc0.956±0.009Aa926.133±14.602AbKGM-25 g/L PTS2 046.624±20.612Cc0.942±0.007ABa862.321±21.290Ac

硬度指凝胶在受压情况下的凝胶强度[16];弹性为变形的凝胶撤去变形力后所恢复的状态与最初状态的高度之比[17];脆性采用探头切断凝胶时凝胶断裂点的相对刚度来表示。

在硬度方面,当淀粉添加量为5 g/L时,豌豆淀粉/KGM复合冷冻凝胶硬度略高于纯KGM冷冻凝胶(P>0.05),马铃薯淀粉/KGM复合冷冻凝胶硬度低于纯淀粉/KGM复合冷冻凝胶(P<0.05),小麦淀粉/KGM复合冷冻凝胶硬度介于两者之间。随着淀粉浓度提高,小麦淀粉/KGM复合冷冻凝胶硬度无显著变化;马铃薯淀粉/KGM复合冷冻凝胶硬度明显下降;豌豆淀粉/KGM复合冷冻凝胶硬度呈上升趋势,当豌豆淀粉添加量为15 g/L时达到最大值,比对照组提高约23.07%,而后趋于稳定。轩毫毫等[18]发现薯类淀粉样品回生值较低,其中马铃薯淀粉由于易糊化、不易老化,冷糊稳定性高而不易形成凝胶,凝胶强度较低,与本研究结果相似。豌豆淀粉因其直链淀粉含量高,具有优良的胶凝性,故而能够使凝胶三维网络结构更为致密。此外,老化回生重结晶过程也会使凝胶硬度增加[19]

在弹性方面,当淀粉添加量为5 g/L时,三者弹性无显著差别。随着淀粉浓度的提高,小麦淀粉/KGM复合冷冻凝胶弹性始终在0.95附近波动;豌豆淀粉/KGM复合冷冻凝胶弹性降低;马铃薯淀粉/KGM复合冷冻凝胶弹性先升高后降低,当淀粉添加量为15 g/L时达到最大值,而后下降,其原因可能是过量的淀粉影响了KGM分子与水分子间的接触与结合,因此对凝胶的硬度和弹性造成了不利影响[20]。在脆性方面,当淀粉添加量为5 g/L时,豌豆淀粉和马铃薯淀粉均具有增脆的效果,而小麦淀粉会降低脆性。随着淀粉浓度提高,小麦淀粉/KGM复合冷冻凝胶脆性持续降低;豌豆淀粉、马铃薯淀粉/KGM复合冷冻凝胶脆性均先升高后降低,当添加量为10 g/L时,豌豆淀粉/KGM复合冷冻凝胶脆性达到最大值,比对照组提高约18.81%。结果表明,低浓度马铃薯淀粉的添加能够提升KGM冷冻凝胶的弹性和脆性,高浓度马铃薯淀粉的添加会导致KGM冷冻凝胶质构特性变差;小麦淀粉的添加能够保持KGM冷冻凝胶弹性的稳定;适量豌豆淀粉的添加能够显著提升KGM冷冻凝胶的硬度和脆性。

2.1.3 淀粉类型和添加量对复合冷冻凝胶保水特性的影响

不同淀粉/KGM复合冷冻凝胶样品的保水性如图1所示。经冷冻-解冻处理后KGM凝胶的非聚集区因凝胶网络受破坏而出现失水现象,可用析水性和持水性表征凝胶的冻融稳定性[21]

a-析水率;b-持水率

图1 不同复合凝胶的保水特性
Fig.1 Water retention characteristics of different composite gel

注:不同大写字母表示相同浓度下不同种类的淀粉/KGM复合凝胶样品间差异显著(P<0.05),不同小写字母表示同一种类下不同浓度的淀粉/KGM复合凝胶样品间差异显著(P<0.05)。

如图1-a所示,在析水性方面,不同晶型淀粉的添加均能降低KGM冷冻凝胶的析水率,当淀粉添加量达到25 g/L时,复合冷冻凝胶析水率分别比对照组降低了45.95%、46.73%、47.08%,此结果与SHANG等[22]的研究结果一致,说明添加不同类型的淀粉均可减小KGM冷冻凝胶的脱水收缩程度。如图1-b所示,在持水性方面,当马铃薯淀粉添加量为10 g/L时,具有较高的持水率,轩毫毫等[18]发现马铃薯淀粉样品具有较高的峰值黏度,反映了其具有很强的水合能力,与本研究结果一致。当马铃薯淀粉添加量超过10 g/L之后,凝胶持水率大幅降低,这可能是因为凝胶网络结构遭到破坏,致使其束缚水分的能力变弱,持水性变差。豌豆淀粉/KGM复合冷冻凝胶持水率稳定在90.91%附近;小麦淀粉添加量低于10 g/L时,复合冷冻凝胶持水率略低;添加量超过10 g/L后,其持水率介于马铃薯淀粉和豌豆淀粉之间。林顺顺等[23]发现豌豆淀粉凝胶网络结构束缚水分使之成为结合水的能力最强,马铃薯淀粉凝胶最弱,而小麦等谷类淀粉凝胶居中,与此结果相似[24]。综上,在较低淀粉添加量条件下,马铃薯淀粉对KGM冷冻凝胶析水率的降低作用显著优于小麦淀粉和豌豆淀粉;在较高淀粉浓度条件下,三者析水率无显著差异,但此时马铃薯淀粉/KGM复合冷冻凝胶持水率发生大幅下降、冻融稳定性变差;豌豆淀粉/KGM复合冷冻凝胶持水性最好;小麦淀粉/KGM复合冷冻凝胶持水性居于两者之间。

2.2 淀粉/KGM复合冷冻凝胶的变化规律及微观结构分析

2.2.1 不同淀粉/KGM复合冷冻凝胶热特性分析

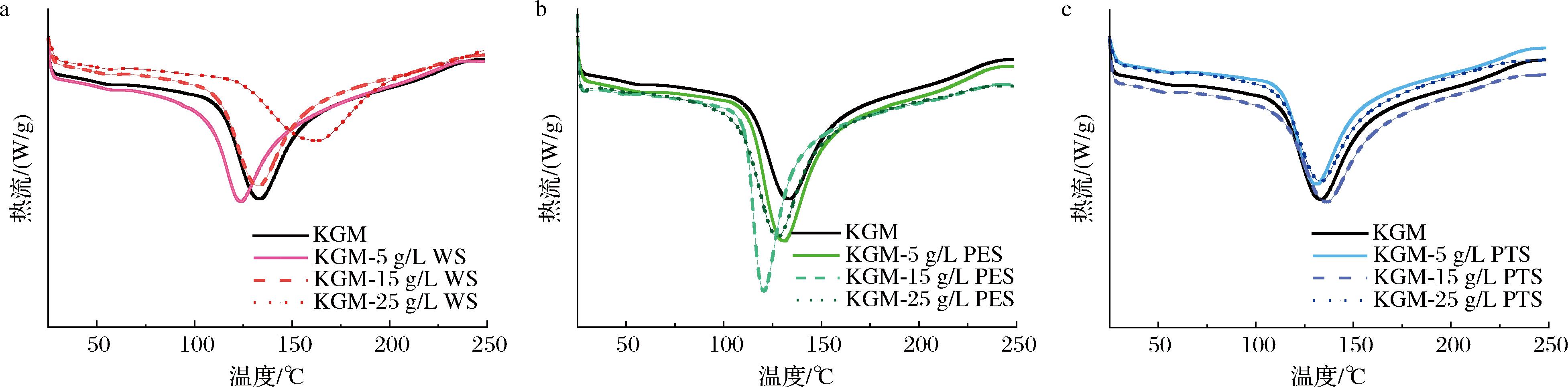
不同淀粉/KGM复合冷冻凝胶的差示扫描量热法分析结果如图2所示,反映了熔融过程中凝胶体系的能量变化和热特性。由图2可知,纯KGM凝胶峰值温度Tp为132.27 ℃,热焓值ΔH为118.36 J/g。

a-小麦淀粉;b-豌豆淀粉;c-马铃薯淀粉

图2 淀粉的添加对复合凝胶差示扫描量热曲线的影响
Fig.2 Effect of starch addition on DSC curve of composite gel

不同淀粉/KGM复合冷冻凝胶均在110~170 ℃出现了一个吸热峰,这与范盛玉等[25]关于魔芋葡甘聚糖-大豆分离蛋白复合凝胶性质影响的研究结果相似。当小麦淀粉添加量为5 g/L时热稳定性最差,随着淀粉添加量增加,Tp值和ΔH值均增大,热稳定性提高。当豌豆淀粉添加量为5 g/L时热稳定性最佳,其热焓值ΔH比对照组增大了16.99%,随着淀粉添加量继续增加,Tp值先降低后提高,ΔH值持续降低。马铃薯淀粉/KGM复合冷冻凝胶热稳定性先提高后降低,当淀粉添加量为15 g/L时达到最大值,随后ΔH值减小。其原因可能是,一方面随着加热的持续,KGM-淀粉凝胶体系中会暴露出更多的羟基,在KGM-KGM、KGM-淀粉、淀粉-淀粉分子间通过氢键结合,提高体系的热稳定性[26];另一方面淀粉的添加会扩大其凝胶网络结构的孔隙,削弱分子间相互作用力,使网络结构受到破坏,热稳定性降低,凝胶品质劣变。

2.2.2 不同淀粉/KGM复合冷冻凝胶短程有序结构分析

不同淀粉/KGM复合冷冻凝胶的傅里叶变换红外光谱结果如图3所示,曲线的吸收峰形状和位置反映了凝胶体系分子基团、共价键及非共价键等的变化情况。由图3可知,3组凝胶的红外光图谱曲线形状和位置相似,表明淀粉添加量的改变并未导致新特征峰的产生。

a-小麦淀粉;b-豌豆淀粉;c-马铃薯淀粉

图3 淀粉的添加对复合凝胶红外光图谱的影响
Fig.3 Effect of starch addition on FTIR spectroscopy of composite gel

3 700~3 200 cm-1处的峰与羟基的伸缩振动有关[27],羟基是形成氢键的关键基团之一。复合冷冻凝胶在3 302 cm-1附近的—OH吸收峰强度随淀粉添加量增加而呈减弱趋势,在低淀粉浓度下能够促进氢键形成,但高浓度条件下具有破坏作用。豌豆淀粉/KGM复合冷冻凝胶吸收峰强度强于马铃薯淀粉、小麦淀粉,表明在同等淀粉浓度条件下,豌豆淀粉/KGM复合冷冻凝胶的氢键作用最强。氢键对KGM的亲水性、增稠性有较大影响,是促进KGM凝胶形成的主要作用力[28]。此外,小麦淀粉/KGM复合冷冻凝胶中羟基的伸缩振动峰向频率更高的方向偏移,小麦淀粉与KGM复合体系中的游离羟基含量可能较高[29]。1 700 cm-1附近的峰与乙酰基上羰基的伸缩振动有关[30]。复合冷冻凝胶在1 744 cm-1附近的CO吸收峰强度随淀粉添加量增加而呈减弱趋势。

同时马铃薯淀粉/KGM复合冷冻凝胶吸收峰强度弱于豌豆淀粉、小麦淀粉,表明在同等淀粉浓度条件下,马铃薯淀粉/KGM复合冷冻凝胶脱乙酰程度最高。其原因可能是马铃薯淀粉粒径较大,增大了KGM分子间的距离,使KGM分子更多地暴露在碱性环境下,促进了脱乙酰作用。乙酰基对维持KGM分子螺旋结构,影响KGM疏水相互作用及凝胶强度具有重要作用[31-32]

2.2.3 不同淀粉/KGM复合冷冻凝胶结晶结构分析

不同淀粉/KGM复合冷冻凝胶的X-射线衍射结果如图4所示。纯KGM冷冻凝胶在2θ=10.0°附近存在较弱的弥散峰,在2θ=20.0°附近存在较强的衍射峰,表明凝胶结构中既有非晶态又有晶态存在,处于半晶态,相对结晶度为27.9%,与TAKENO等[33]的研究结果相似。

a-小麦淀粉;b-豌豆淀粉;c-马铃薯淀粉

图4 淀粉的添加对复合凝胶X-射线衍射图谱的影响
Fig.4 Effect of starch addition on XRD pattern of composite gel

小麦淀粉为典型的A-晶型淀粉。随着淀粉浓度提高,凝胶相对结晶度为25.8%、29.3%、26.1%,呈先增大后减小的趋势。豌豆淀粉特征峰的形态介于小麦淀粉和马铃薯淀粉的峰型之间,为典型的C-晶型淀粉。随着淀粉添加量的增加,凝胶相对结晶度为27.6%、29.0%、26.5%,也呈先增大后减小的趋势。马铃薯淀粉为典型的B-晶型淀粉,随着淀粉添加量的增加,部分衍射峰峰值降低,凝胶相对结晶度为26.6%、25.6%、25.2%,呈持续减小的趋势,说明有序结构遭到破坏,非晶态区域增加,向无序化形态转变,热稳定性变差[34],该结果与前文差示扫描量热分析结果一致。当淀粉添加量达到15 g/L时,小麦淀粉、豌豆淀粉/KGM复合冷冻凝胶结晶度高于对照组,表明该浓度下小麦淀粉、豌豆淀粉均能促进有序结构的形成。其原因可能是此浓度条件下淀粉主要起到填充作用,同时因淀粉能结合一部分水,有利于凝胶结构的稳定[35];而马铃薯淀粉粒径较大,其填充作用达到饱和时的临界浓度较低,因此同等浓度条件下马铃薯淀粉表现出对有序结构的破坏[36]

2.2.4 不同淀粉/KGM复合冷冻凝胶表面微观结构观察

不同淀粉/KGM复合冷冻凝胶横截面的扫描电镜结果如图5所示。由图5可知,淀粉添加量对复合冷冻凝胶微观形貌影响较为明显。

图5 淀粉的添加对复合凝胶表面微观结构的影响(300×)
Fig.5 Effect of starch addition on SEM images of composite gel (300×)

纯KGM冷冻凝胶的网络骨架光滑平整。随着淀粉添加量的增加,淀粉与KGM分子之间发生交联,网络骨架连接处出现缠结,复合凝胶逐渐呈现出片层状乃至多孔状结构。同等淀粉添加量条件下,小麦淀粉/KGM复合冷冻凝胶网络聚集程度大,较为密实,总体呈现出褶皱重叠的片层状结构,当小麦淀粉添加量达到25 g/L时,部分区域发生塌陷的情况,出现较大的空腔。豌豆淀粉/KGM复合冷冻凝胶孔洞较多,网络之间具有较多的连接区,当豌豆淀粉添加量达到25 g/L时,复合凝胶网络出现均匀有序的蜂窝状组织,结构更为致密。马铃薯淀粉/KGM复合冷冻凝胶总体呈多孔海绵状,随着马铃薯淀粉的增加,结构逐渐变得支离破碎,这可能是由于薯类淀粉粒径较大,过量的马铃薯淀粉破坏了凝胶网络的完整性,使衔接处出现破裂,结构变得疏松多孔。3种类型的淀粉/KGM复合冷冻凝胶的微观结构变化与前文凝胶质构特性和保水特性的结果一致。

3 结论

不同类型的淀粉均可在一定程度上提高KGM冷冻凝胶的亮度和白度,降低析水率。小麦淀粉/KGM复合冷冻凝胶在较高淀粉添加量条件下具有较好的色度、弹性和热稳定性,可用于制作魔芋丸子、魔芋豆腐、魔芋软糖等。马铃薯淀粉/KGM复合冷冻凝胶在较低淀粉添加量条件下具有较高的脆性和较低的析水率,可用于开发魔芋蛋糕、魔芋松饼等产品。豌豆淀粉能够显著提高KGM冷冻凝胶的硬度、脆性和持水性,适用于制作有一定韧性的魔芋制品,如魔芋凉皮、魔芋粉丝、魔芋素毛肚等。

综上,小麦淀粉(A型)在改善KGM冷冻凝胶的色度和稳定性方面表现突出;马铃薯淀粉(B型)能够赋予KGM冷冻凝胶松脆的口感;豌豆淀粉(C型)与KGM制成的复合冷冻凝胶在较宽浓度范围内可保持亮白的外观,较高的凝胶强度、脆性和冻融稳定性。后续可进一步探索将不同晶型淀粉在其最适浓度区间内先进行复配后再与KGM进行共混,以满足魔芋基素食制品多样化的加工要求。

参考文献

[1] ZHANG Y Q, XIE B J, GAN X.Advance in the applications of konjac glucomannan and its derivatives[J].Carbohydrate Polymers, 2005,60(1):27-31.

[2] BEHERA S S, RAY R C.Konjac glucomannan, a promising polysaccharide of Amorphophallus konjac K.Koch in health care[J].International Journal of Biological Macromolecules, 2016,92:942-956.

[3] ZHENG M J, WEI Y M, JIAO X J, et al.Improving gel properties of glucomannan/κ-carrageenan blends by controlling ethanol pH for glucomannan purification[J].Food Biophysics, 2024,19(2):400-411.

[4] 李晓飞, 李培源, 李安琪, 等.黄原胶添加对碱法诱导魔芋胶凝胶特性及凝胶机制的影响[J].中国农业科学, 2020,53(14):2941-2955.LI X F, LI P Y, LI A Q, et al.Effects of xanthan addition on the gel properties and gel mechanism of alkaline-induced konjac glucomannan gels[J].Scientia Agricultura Sinica, 2020,53(14):2941-2955.

[5] 韩扬, 杜娟, 何静, 等.淀粉魔芋豆腐的品质变化及货架期预测[J].食品研究与开发, 2024,45(11):62-71.HAN Y, DU J, HE J, et al.Quality changes and shelf life prediction of starch konjac tofu[J].Food Research and Development, 2024,45(11):62-71.

[6] LI L, ZHANG L, HAN Y, et al.Effect of the addition of mung bean, corn, and sweet potato starch on the properties of konjac gel[J].Journal of Food Science and Technology, 2023,60(12):3094-3101.

[7] 徐聪, 栗俊广, 张旭玥, 等.不同木薯淀粉对冻融魔芋葡甘聚糖凝胶特性的比较分析[J].现代食品科技, 2022,38(5):145-151.XU C, LI J G, ZHANG X Y, et al.Comparative analysis of gel properties of different cassava starch to freeze-thaw konjac glucomannan gels[J].Modern Food Science and Technology, 2022,38(5):145-151.

[8] 田宸, 廖卢艳, 吴卫国.冻融处理不同来源淀粉魔芋复合凝胶特性及其影响[J].食品研究与开发, 2024,45(7):94-102.TIAN C, LIAO L Y, WU W G.Effect of different sources of starch and properties of konjac gel under freeze-thaw treatment[J].Food Research and Development, 2024,45(7):94-102.

[9] 魏宇君, 肖华西, 林亲录, 等.大豆蛋白对不同晶型淀粉理化特性的影响[J].中国食品学报, 2024,24(5):254-263.WEI Y J, XIAO H X, LIN Q L, et al.Effects of soybean protein on physicochemical properties of different crystalline starch[J].Journal of Chinese Institute of Food Science and Technology, 2024,24(5):254-263.

[10] ZHANG C, LIM S T.Physical modification of various starches by partial gelatinization and freeze-thawing with xanthan gum[J].Food Hydrocolloids, 2021,111:106210.

[11] ZHANG T, XUE Y, LI Z J, et al.Effects of deacetylation of konjac glucomannan on Alaska pollock surimi gels subjected to high-temperature (120 ℃) treatment[J].Food Hydrocolloids, 2015,43:125-131.

[12] LIU F, ZOU H L, PENG J B, et al.Removal of copper(II) using deacetylated konjac glucomannan conjugated soy protein isolate[J].International Journal of Biological Macromolecules, 2016,86:338-344.

[13] WANG L X, DAO L P, GUO Q Y, et al.Investigation on the influence of AC electric filed and KCl on the structure and gel properties of Konjac glucomannan[J].Food Chemistry, 2022,386:132755.

[14] LIU X B, GAN J, NIRASAWA S, et al.Effects of sodium carbonate and potassium carbonate on colloidal properties and molecular characteristics of konjac glucomannan hydrogels[J].International Journal of Biological Macromolecules, 2018,117:863-869.

[15] 齐慧, 易春兰, 白菊红, 等. 不同淀粉对魔芋葡聚糖凝胶特性的影响及复合凝胶的制备[J]. 天然产物研究与开发, 2024, 36(12):2074-2087.QI H, YI C L, BAI J H, et al. Effect of different starches on konjac glucomannan gel properties and preparation of composite gel[J]. Natural Product Research and Development, 2024, 36(12):2074-2087.

[16] SEETAPAN N, LIMPARYOON N, GAMONPILAS C, et al.Effect of cryogenic freezing on textural properties and microstructure of rice flour/tapioca starch blend gel[J].Journal of Food Engineering, 2015,151:51-59.

[17] YUAN C, DU L, ZHANG G J, et al.Influence of cyclodextrins on texture behavior and freeze-thaw stability of kappa-carrageenan gel[J].Food Chemistry, 2016,210:600-605.

[18] 轩毫毫, 尚加英, 王钰惠, 等.不同外源植物淀粉对小麦鲜湿面条品质影响[J].食品科学, 2025,46(10):79-87.XUAN H H, SHANG J Y, WANG Y H, et al.The effect of different exogenous plant starches on the quality of fresh and wet wheat noodles[J].Food Science, 2025,46(10):79-87.

[19] LIU X, CHAO C, YU J L, et al.Mechanistic studies of starch retrogradation and its effects on starch gel properties[J].Food Hydrocolloids, 2021,120:106914.

[20] 贺隆基, 李世奇, 陈志刚.红薯淀粉和大豆分离蛋白对魔芋凝胶特性的影响及复合凝胶的制备[J].食品科学, 2023,44(24):58-67.HE L J, LI S Q, CHEN Z G.Effects of sweet potato starch and soybean protein isolate on konjac gel properties and preparation of composite gels[J].Food Science, 2023,44(24):58-67.

[21] GENEVRO G M, DE MORAES M A, BEPPU M M.Freezing influence on physical properties of glucomannan hydrogels[J].International Journal of Biological Macromolecules, 2019,128:401-405.

[22] SHANG L C, WU C L, WANG S S, et al.The influence of amylose and amylopectin on water retention capacity and texture properties of frozen-thawed konjac glucomannan gel[J].Food Hydrocolloids, 2021,113:106521.

[23] 林顺顺, 史家琪, 孙夫才, 等.淀粉水凝胶体系水分分布规律分析[J].食品科学, 2023,44(20):227-235.LIN S S, SHI J Q, SUN F C, et al.Water distribution in starch hydrogel systems[J].Food Science, 2023,44(20):227-235.

[24] HU X Y, WU P, ZHANG S P, et al.Moisture conversion and migration in single-wheat kernel during isothermal drying process by LF-NMR[J].Drying Technology, 2019, 37(7):803-812.

[25] 范盛玉, 严竟, 朱坤, 等.辣椒红色素对魔芋葡甘聚糖-大豆分离蛋白复合凝胶性质的影响[J].食品与发酵工业, 2023,49(8):216-222.FAN S Y, YAN J, ZHU K, et al.Effects of capsanthin on properties of konjac glucomannan-soybean protein isolate composite gel[J].Food and Fermentation Industries, 2023,49(8):216-222.

[26] 童慧琳, 谢勇, 覃小丽, 等. 脱乙酰魔芋葡甘露聚糖对玉米淀粉糊化及凝胶特性的影响[J]. 中国粮油学报, 2023, 38(10):97-103.TONG H L, XIE Y, QIN X L, et al. Effects of konjac glucomannan with various degrees of deacetylation on gelatinization and gel properties of corn starch[J]. Journal of the Chinese Cereals and Oils Association, 2023, 38(10):97-103.

[27] LIAN X J, LIU L Z, GUO J J, et al.Screening of seeds prepared from retrograded potato starch to increase retrogradation rate of maize starch[J].International Journal of Biological Macromolecules, 2013,60:181-185.

[28] 胡艳, 李悦, 吴玉萍, 等.低浓度乙醇对魔芋葡甘聚糖理化特性及其结构影响的研究[J].食品与发酵工业, 2024,50(14):233-239.HU Y, LI Y, WU Y P, et al.Effects of low-concentration ethanol on physicochemical properties and structure of konjac glucomannan[J].Food and Fermentation Industries, 2024,50(14):233-239.

[29] LIANG J, LUDESCHER R D.Effects of glycerol on the molecular mobility and hydrogen bond network in starch matrix[J].Carbohydrate Polymers, 2015,115:401-407.

[30] LI J W, MA J W, CHEN S J, et al.Characterization of calcium alginate/deacetylated konjac glucomannan blend films prepared by Ca2+ crosslinking and deacetylation[J].Food Hydrocolloids, 2018,82:363-369.

[31] XIN C, CHEN J, LIANG H S, et al.Confirmation and measurement of hydrophobic interaction in sol-gel system of konjac glucomannan with different degree of deacetylation[J].Carbohydrate Polymers, 2017,174:337-342.

[32] RAN X L, YANG H S.Promoted strain-hardening and crystallinity of a soy protein-konjac glucomannan complex gel by konjac glucomannan[J].Food Hydrocolloids, 2022,133:107959.

[33] TAKENO H, HASHIMOTO R, LU Y Q, et al.Structural and mechanical properties of konjac glucomannan gels and influence of freezing-thawing treatments on them[J].Polymers, 2022,14(18):3703.

[34] HAN K T, KIM H R, MOON T W, et al.Isothermal and temperature-cycling retrogradation of high-amylose corn starch:Impact of sonication on its structural and retrogradation properties[J].Ultrasonics Sonochemistry, 2021,76:105650.

[35] SU L, XIANG F J, QIN R B, et al.Study on mechanism of starch phase transtion in wheat with different moisture content[J].Food Science and Technology, 2022,42:e106521.

[36] ULBRICH M, NATAN C, FLÖTER E.Acid modification of wheat, potato, and pea starch applying gentle conditions-impacts on starch properties[J].Starch Stärke, 2014,66(9-10):903-913.

Effects of different crystalline starches on properties and structure of konjac glucomannan frozen gel

SUN Ying1, LI Xiaojing1, WANG Yizhou1, XUE Bingjie1, ZHU Chong1, ZHANG Fusheng1,2*

1(College of Food Science, Southwest University, Chongqing 400715, China)2(Chongqing Key Laboratory of Speciality Food Co-Built by Sichuan and Chongqing, Chongqing 400715, China)

ABSTRACT To explore the effect of different crystalline starches on the quality of konjac glucomannan (KGM) gel, this study selected wheat starch (A-crystalline), potato starch (B-crystalline), and pea starch (C-crystalline) to mix with KGM respectively.After being frozen to make gel, the study compared and analyzed the differences in color, texture, and water retention of their gel.Results showed that the addition of wheat starch, pea starch, and potato starch could increase the whiteness of pure KGM frozen gel by 34.94%, 28.19%, and 23.11%, respectively.Moreover, it could reduce the water separation rate of pure KGM frozen gel by 45.95%, 46.73%, and 47.08%, respectively.In terms of texture characteristics, the wheat starch/KGM composite frozen gel had better elasticity.The potato starch/KGM composite frozen gel had better brittleness when starch concentration was lower than 15 g/L.When the starch concentration of pea starch/KGM composite frozen gel was 10 g/L, the brittleness reached the maximum value, approximately 18.81% higher than the control group.When the starch concentration was 15 g/L, the hardness reached the maximum value, approximately 23.07% higher than the control group.In conclusion, different crystalline starches could have different degrees of improvement on different characteristics of KGM frozen gel, and the pea starch/KGM composite frozen gel could have the best improvement effect in three aspects of appearance, gel strength, and freeze-thaw stability, which would expand the development potential and application scope of KGM gel to a certain extent.

Key words konjac glucomannan; frozen gel; wheat starch; pea starch; potato starch; properties; structure

DOI:10.13995/j.cnki.11-1802/ts.041222

引用格式:孙颖,厉晓静,王一州,等.不同晶型淀粉对魔芋葡甘聚糖冷冻凝胶特性与结构的影响[J].食品与发酵工业,2025,51(18):167-175.SUN Ying,LI Xiaojing,WANG Yizhou, et al.Effects of different crystalline starches on properties and structure of konjac glucomannan frozen gel[J].Food and Fermentation Industries,2025,51(18):167-175.

第一作者:硕士研究生(张甫生副教授为通信作者,E-mail:zfsswu@163.com)

基金项目:重庆市自然科学基金项目(cstc2018jcyjAX0002)

收稿日期:2024-10-07,改回日期:2025-01-25