基于空间分辨高光谱技术的牛奶脂肪含量无损检测研究

杨莹莹1,潘嘹1,2*,卢立新1,2,唐亚丽1,2,陈曦3

1(江南大学 机械工程学院,江苏 无锡,214122)2(江苏省食品先进制造装备技术重点实验室,江苏 无锡,214122)3(无锡太湖学院,江苏 无锡,214063)

摘 要 该文提供了一种应用空间分辨高光谱技术(spatially resolved hyperspectral imaging,SR-HSI)快速无损检测牛奶脂肪含量的方法。该文采用空间分辨高光谱成像系统在500~1 000 nm内采集不同脂肪含量牛奶样本的空间分辨高光谱图像,结合漫射近似光传输模型反演提取其吸收(μa)和约化散射系数光谱。分别基于μa光谱数据,采用全波段、遗传算法(genetic algorithm,GA)和竞争性自适应加权算法(competitive adaptive reweighed sampling,CARS)的特征波长筛选方法,建立偏最小二乘回归(partial least squares regression,PLSR)和最小二乘支持向量机(support vector machine,SVM)模型。结果表明,与牛奶脂肪含量之间表现出良好的线性相关性,平均相关系数为0.995。基于光谱数据,选择GA波长筛选方法结合SVM建立的模型对牛奶脂肪含量预测效果最佳,预测集为0.951 3,预测集均方根误差(root mean square error of prediction,RMSEP)为0.055 5;空间分辨高光谱技术能有效表征牛奶样本的光学特性,为牛奶脂肪含量的定量分析提供了有效手段。

关键词 牛奶;脂肪含量;空间分辨高光谱;吸收系数;约化散射系数;无损检测

牛奶作为一种天然的绿色食品,富含多种人体必需的营养成分,已成为家庭营养搭配的必备选项[1]。牛奶脂肪含量是评价牛奶质量的重要指标之一,对奶制品的风味、质地和口感有直接影响。通过监测牛奶的脂肪含量,可以确保牛奶及其制品符合食品安全和行业质量标准,为生产工艺优化和标准化提供数据支持,并满足不同消费者需求,为膳食设计和健康指导提供科学依据[2]

牛奶脂肪含量的传统检测方法多为化学分析方法、生物学检测和声波分析法,存在着检测工序复杂繁琐、价格昂贵、费时费力等缺陷,无法满足实际生产中对快速、低成本、在线检测的需求[3]。随着高光谱成像技术的不断发展,其快速、无损检测的特性引起了学术界的广泛关注。李欣等[4]采用波长为400~1 000 nm的高光谱技术结合鲸鱼优化算法和SVM模型对牛奶脂肪含量进行了预测,结果表明优化后的SVM模型预测效果显著,预测集的决定系数为0.995。JIN等[5]结合不同高光谱预处理和特征波段提取方法对牛奶中蛋白质和脂肪含量建立了偏最小二乘回归(partial least squares regression,PLSR)模型,预测集决定系数分别为0.960 8和0.862 3。尽管这些研究都成功测定了牛奶脂肪含量,但高光谱只表征了不同波长光的反射强度,忽略了光与牛奶成分的相互作用,把光散射作为干扰因素进行修正,缺乏了对光传输理论的研究[6]

牛奶属于一种强散射浑浊介质,其中脂肪、蛋白质等成分具有不同的吸收和散射特性[7]。LUO等[8]开发了一套高光谱-空间频域成像系统,测量了450~750 nm不同脂肪含量和蛋白质含量的牛奶的光学特性参数,线性回归分析结果表明了牛奶中脂肪含量与约化散射系数高度相关,蛋白质含量与吸收系数高度相关。BOGOMOLOV等[9]采用空间分辨光纤探头获取了牛奶400~995 nm波长下的空间分辨光谱,准确测定了原料牛乳中的脂肪和总蛋白质含量。相对比传统化学分析和高光谱无损检测方法,空间分辨高光谱技术(spatially resolved hyperspectral imaging,SR-HSI)将高光谱成像与空间分辨光谱技术结合,不仅能够采集样品的光谱信息,也能探测光在样品中光学特性信息的空间分布,获取样品的光学特性参数,更利于分析样品内部成分与结构信息,实现快速实时和在线检测[10]

本研究采用新开发的空间分辨高光谱成像系统,获取500~1 000 nm连续波长下牛奶的吸收和散射特性,分析牛奶脂肪成分含量变化对其光学特性的影响,并根据吸收和约化散射系数建立PLSR和支持向量机(support vector machine,SVM)模型对牛奶脂肪含量进行定量预测,为牛奶脂肪含量的快速无损检测提供理论支持。

1 材料与方法

1.1 实验材料

液体光学仿体材料:TiO2(T104950-100 g),上海阿拉丁生化科技股份有限公司;印度墨水(Indian ink),荷兰;去离子水。

本文在研究过程中,选取了蒙牛和伊利2个品牌的牛奶样本,涵盖全脂、低脂和脱脂3种类型。所有牛奶样本均购于无锡市华润万家超市,生产批次一致且均在保质期内。将3种类型的牛奶样本送到江南大学国家重点实验室,蛋白质含量的测定采用GB 5009.5—2016《食品安全国家标准 食品中蛋白质的测定》中的分光光度计法,脂肪含量的测定采用GB 5009.6—2016《食品安全国家标准 食品中脂肪的测定》中的盖勃法。测量结果如表1所示,单位为g/100 mL,为便于后续表述,本文统一以百分数(%)表示。

表1 牛奶脂肪、蛋白质原始含量参数
Table 1 The fat and protein content parameters of the original milk

牛奶品牌牛奶类型脂肪含量/%蛋白质含量/%全脂Ⅰ3.983.20蒙牛低脂Ⅰ1.342.96脱脂Ⅰ0.323.18全脂Ⅱ4.403.58伊利低脂Ⅱ1.423.57脱脂Ⅱ0.283.76

1.2 仪器与设备

1.2.1 空间分辨高光谱系统

如图1所示,搭建的空间分辨散射高光谱成像系统的硬件部分主要包括:FX 10高光谱成像仪、Lab Scanner 40×20推扫式电动位移控制平台,芬兰Specim公司;HL100卤素灯光源,上海复享光学股份有限公司;装有采集软件的计算机。

图1 空间分辨高光谱成像系统
Fig.1 Spatially resolved hyperspectral imaging system

其中,高光谱成像仪的光谱范围为500~1 000 nm,光谱波段数为224,空间采样数为1 024,空间分辨率为0.2 mm/pixel。为减少外界环境光的干扰,整个系统放置于暗箱中[11]。照射在样本表面光斑直径约为1.5 mm,光源由一根传导光纤与定制的准直透镜相接并将其固定安装在高光谱成像仪镜头一侧,同时为避免因光照过强导致镜头饱和,控制照射在样本表面的点光源中心与扫描线相隔1.6 mm。光谱采集前,光源以及扫描系统预热30 min,从而使系统处于稳定的工作状态[12]

1.2.2 其他仪器

ACH-CUV准直透射附件,上海闻奕光电科技有限公司;HL2000-12光纤光源、PG2000-Pro光谱仪,上海复享光学股份有限公司;WAY-2 WAJ阿贝折射仪,上海力辰仪器科技有限公司;F-030S超声波清洗机,深圳福洋科技集团有限公司。

1.3 实验方法

1.3.1 样本制备

1.3.1.1 液体仿体制备

本研究采用文献中的光学仿体制作方法,以去离子水作为基底材料,TiO2为散射粒子,印度墨水作为吸收剂,制备仿体样本用于空间分辨高光谱系统的稳定性与准确性验证[8]。分别设置5个梯度的TiO2,体积分数为0.04%、0.06%、0.08%、0.10%、0.12%;5个梯度的印度墨水,体积分数为0.010%、0.012%、0.014%、0.016%、0.018%。将不同梯度的TiO2与印度墨水进行交叉组合,共制备25个液体仿体样本。

在制备过程中,首先使用1 000 mL的容量瓶量取去离子水,随后利用移液枪按不同体积分数精确添加墨水,得到混合液I。接着,用移液管吸取100 mL混合液I置于锥形瓶内。最后,用电子天平称取所需量的TiO2,加入锥形瓶并放到超声波清洗机中振荡2 min,使其均匀分散于溶液中,获得最终的液体仿体样本(混合液Ⅱ)。

1.3.1.2 单一脂肪含量变化的牛奶样本制备

牛奶可作为一种浑浊介质,其吸收系数和约化散射系数主要由牛奶的营养成分蛋白质和脂肪所决定,而乳糖等其他成分的含量对这2种光学参数的影响较小,可忽略不计[6-8]。为了研究脂肪含量对光学特性参数的影响规律,选用同一品牌(蒙牛)全脂、脱脂2种牛奶按照不同比例进行混合配制以获取蛋白质含量保持不变但不同梯度脂肪含量的牛奶溶液,如表2所示。另外,为减少实验误差等不确定因素的影响,每组设置5个重复样。

表2 不同脂肪含量的牛奶样本含量参数
Table 2 The content parameters of milk samples with varying fat levels

样本组编号配制质量比脂肪含量/%蛋白质含量/%1全脂3.983.202全脂∶脱脂=3∶13.073.183全脂∶脱脂=1∶12.153.184全脂∶脱脂=1∶31.243.165脱脂0.323.18

1.3.1.3 脂肪定量测量组样本制备

为保证采集样本的代表性,扩充脂肪浓度的分布范围,分别选用蒙牛、伊利2种品牌系列下的全脂、低脂、脱脂牛奶按照表3的比例混合配制,每组重复配制3次并测定配制完成后的样本的蛋白质和脂肪浓度,共配制96份样品。

表3 脂肪定量测量组样本的配制比例
Table 3 The configuration ratio of samples for fat quantification measurement

指标样本编号12345678910111213141516全脂10.90.80.70.60.50.40.30.20.1000000配制质量比低脂00.10.20.30.40.50.60.70.80.910.80.60.40.20脱脂000000000000.20.40.60.81配制后脂肪蒙牛3.983.723.453.192.922.662.402.131.871.601.341.140.930.730.520.32含量/% 伊利4.44.103.803.513.212.912.612.312.021.721.421.200.960.740.510.28

1.3.2 SR-HSI系统准确性验证

为了验证SR-HSI系统所测光学特性参数的准确性,需要在正式实验之前选择合适的参考方法以进行验证实验,以确保系统设备在构建完成后具备足够的准确性,从而保证后续实验的数据精度与可靠性。

1.3.2.1 参考值的计算

当液体仿体配制完毕后,使用剩余的只含印度墨水的混合液I作为纯吸收样本倒入10 mm光程的比色皿中进行准直透射率测量实验。在此过程中,每次进行准直测量前用待测溶液润洗比色皿至少3次,以确保其内壁均匀覆盖并避免样本交叉污染。利用测得的不同体积分数混合液I的准直透射率T与比色皿光程,根据比尔朗伯定律(1)即可得到μa参考值:

(1)

式中:μa为吸收系数,mm-1;d为光程长度,mm;T为总透射率,%。

Mie散射理论表明散射程度是取决于散射粒子的尺寸和入射波长的比值,同时也依赖于散射粒子折射率和基底材料的比值。根据所使用的TiO2的折射率、体积分数、直径、基底材料(去离子水)的折射率以及波长,代入到MTZLER[13]基于MATLAB开发的Mie算法中即可计算得到参考值。

1.3.2.2 液体仿体的SR-HSI光谱采集

将配制完成的25个含有TiO2与印度墨水的混合液Ⅱ(液体仿体)在用SR-HSI系统进行光谱采集前,先使用超声波清洗机振荡锥形瓶中的溶液约60 s,随后将其倒入尺寸为50 mm×50 mm×50 mm的石英玻璃器皿中进行实验。另外,由于高光谱成像采集过程耗时较长,为避免过程中TiO2发生沉淀,每次重复进行图像采集实验时,均使用玻璃棒对溶液进行搅拌,以保证样本的均匀性。

1.3.3 数据与图像处理

1.3.3.1 光谱特征提取及图像校正

在利用SR-HIS系统采集样本的空间分辨高光谱图像时,在每个样本表面平行选取10个不同位置的扫描线,取10条扫描线的平均图像作为该样本最终图像,作为后续处理的样本数据。

为消除不同波长处光源光强不一致和电子暗噪声带来的影响,以特氟龙作为标准白色校正板,遮盖镜头采集光谱暗电流,对光谱进行黑白参考校正[14],校正公式(2)如下:

(2)

式中:R为样本校正后的光谱特征,RO为样本原始光谱特征,RB为暗流环境下光谱特征,RW为白板光谱特征。

1.3.3.2 基于SR-HSI的μa的计算

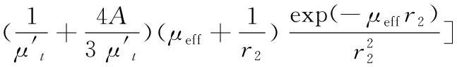
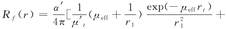
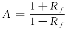
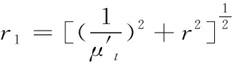
牛奶是一种浑浊介质,对于无线细小光源垂直照射在半无限浑浊介质表面,QIN等[15]推导了基于空间分辨技术的组织表面的闭合形式漫射近似方程解析解Rf

(3)

(4)

(5)

(6)

式中:r是入射点距离,为反照率;为有效衰减系数,为总衰减系数,mm-1;A为组织内部的反射系数;r1为检测器到实际入射点的距离,mm;r2为检测器到镜像入射点的距离,mm。

依据GRAAFF等[16]提出,约化散射系数可以用一个下降趋势的指数形式曲线的函数来表示:

(7)

式中:为约化散射系数,mm-1;ab是指数函数模型的参数,λ是光谱波长。

牛奶样本的空间分辨高光谱图像采集完毕后,对每个样本的平均图像均进行黑白校正处理,利用Farrell模型通过MATLAB结合信赖域反射最小二乘法(trust-region-reflective)对每个样本进行曲线拟合,反演计算出不同波段下的光学特性参数[17]。牛奶光学特性参数的具体反演步骤,如图2所示。

图2 μa的计算流程
Fig.2 Procedure of calculating μa and

1.3.4 模型建立与评价

使用MATLAB R2022a软件进行空间分辨高光谱数据处理和模型的建立。根据反演所得的光学特性参数,分别采用PLSR和SVM 2种模型方法建立牛奶脂肪含量的预测模型。PLSR是一种结合了多元线性回归、主成分分析和典型性相关分析特征的方法,旨在通过构建一组称为潜变量(latent variables,LVs)的线性组合,将高维输入空间降维,同时保留XY之间的相关性,从而实现回归建模和预测[18]。SVM模型对高维数据、少量样本以及噪声具有较强的鲁棒性,其核心思想是通过引入核函数将低维非线性数据映射到高维特征空间,在特征空间中找到具有最大间隔的超平面,以实现分类样本或预测样本中的物质浓度[19]。模型评价标准采用比较校正集和预测集的决定系数(R2)和均方根误差(root mean square error,RMSE)来验证模型的性能[20]。其中,校正集决定系数(coefficient of determination for calibration 和校正集均方根误差(root mean square error of calibration,RMSEC)用于评估模型在校正集上的拟合性能;预测集决定系数(coefficient of determination for prediction 和预测集均方根误差(root mean square error of prediction,RMSEP)用于评价预测模型性能的优劣。

2 结果与分析

2.1 系统准确性验证

含有5个梯度体积分数的India ink,其吸收系数μa在500~1 000 nm波长范围内的参考值测量结果如图3-a所示,从下到上的各曲线分别代表India ink体积分数从0.010%到0.018%。由图3-a可以观察到,随着体积分数的增加,μa整体呈现逐步增大的趋势。对于使用的TiO2作为散射粒子的仿体,根据其折射率、体积分数、直径、所需波长范围,计算得到参考值。如图3-b所示,从下到上各曲线分别代表TiO2体积分数从0.04%到0.12%。由图3-b可见,随着TiO2体积分数的增加,显著提高,尤其在短波长区域表现出更强的散射效应。

a-μa参考值;参考值

图3 液体仿体μa理论参考值
Fig.3 Theoretical reference values of μa and for liquid phantoms

通过SR-HSI系统对500~1 000 nm光谱范围内的25个液体仿体的光学参数进行计算,并将系统反演值与其参考值进行线性回归拟合。图4展示了系统值与参考值之间的线性拟合结果,其中每个散点表示5个重复样本的平均值。研究发现,液体仿体的μa的拟合系数R2分别为0.978和0.994,均方根误差分别为0.005 mm-1和0.199 mm-1,表明了系统所得到的测量值与参考值之间具有较高的吻合程度,较低的RMSE值也表明了该系统达到了较好的稳定性,能够较为准确地反映液体仿体的光学特性,进一步验证了本研究SR-HSI系统的可行性。

a-μa拟合;拟合

图4 液体仿体μa的散点图及其线性拟合
Fig.4 Scatter plot and linear fitting of μa and for liquid phantoms

2.2 空间分辨光谱分析

图5-a所示为SR-HSI系统采集的某一牛奶样本的空间分辨高光谱原理图,沿移动方向选取一条扫描线即可得到一幅二维高光谱散射图像(图5-b)。将距离作为自变量,可以提取出样本在某特定波长下的空间分辨漫反射光谱(图5-c),而以波长为变量,则可提取样本在某光源-检测器距离下的可见/近红外光谱(图5-d)。从图中直接提取出的空间分辨漫反射光谱和可见/近红外光谱,其横坐标以像素序号,根据系统空间分辨率可将其分别转换为光源-检测器距离和波长。

a-3D高光谱空间散射原理图;b-二维散射图像;c-3个波段下的空间分辨漫反射光谱;d-3个散射距离下的可见/近红外光谱

图5 某一牛奶样本未校正的空间分辨高光谱图像
Fig.5 Uncorrected spatially resolved hyperspectral image of a milk sample

由图5可知,牛奶样本在不同波段下的光强值表现出显著差异,此外不同散射距离下的光谱信息也存在差异,随着散射距离的增加,光谱信号的强度逐渐衰减。这些波段以及散射距离所承载的信息反映了光在牛奶组织中传输的特性,包括吸收与散射的规律。通过深入分析这些光谱特性,可有效揭示牛奶的成分分布和内部结构特性,为品质属性的预测提供科学依据[21]。同时考虑到散射距离对光谱信号的分布和强度的影响,在光学特性参数反演分析中加以充分考虑预测模型的准确性和可靠性,模型反演时均选取10 mm散射距离下的光谱数据。

2.3 牛奶脂肪含量对光学特性参数的影响规律

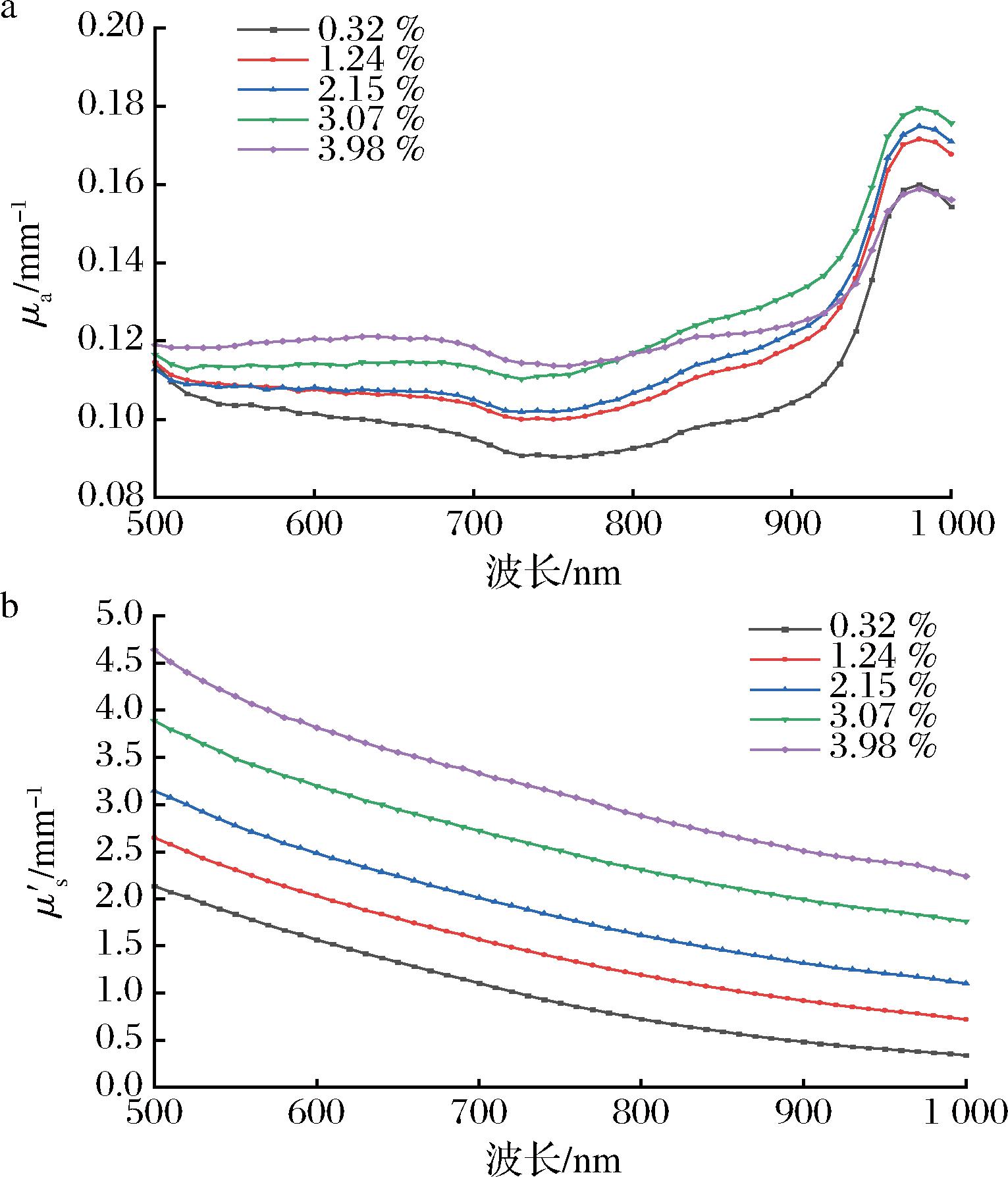
如图6所示,脂肪含量分别为0.32%、1.24%、2.15%、3.07%和3.98%的牛奶样本经空间分辨高光谱数据反演计算得到的μa所有样本的μa分别在0.08~0.18 mm-1和0~5 mm-1,与参比文献中所测量的结果非常接近[22],较小的偏差可能是由于奶源的个体差异造成的。此外,μa相比要小2个数量级,说明在500~950 nm波长范围内,散射主导了牛奶中各种物质与光的相互作用,这说明了基于漫射近似方程的SR-HSI技术用于检测牛奶脂肪含量的可行性。

图6 不同脂肪含量牛奶的光学特性参数光谱曲线
Fig.6 Spectral curves of optical property parameters for milk with different fat contents

在图6-a吸收光谱曲线中,μa数值整体较小,在750~900 nm波长范围内,牛奶的μa随着波长的增加缓慢增加,在900~950 nm波长范围内,牛奶的μa明显上升,在970 nm处有较大吸收波峰,这是受水的O—H官能团的二阶谐波影响[23];与μa不同的是,整体上随波长的增大而减小的指数曲线形式,说明500~1 000 nm的光很容易被牛奶散射,即光很难穿透牛奶样本。随着脂肪含量的增大也增大,并且的区分效果优于μa(图6-b)。

为了进一步探究牛奶光学特性与牛奶脂肪含量之间的关系,对实验测得的牛奶样本的500~1 000 nm波段的μa进行线性回归分析。如图7所示,与脂肪的相关系数明显高于μa与脂肪含量的相关系数,平均相关系数为0.995,且相关性系数基本不随波长变化而变化,说明牛奶脂肪含量与散射特性高度相关。吸收和散射特性的差异反映了牛奶中乳脂成分的光学特性,为后续光学模型的优化和样本特性分析提供了科学依据。

图7 牛奶脂肪含量与的相关性系数
Fig.7 Correlation of μa and for milk with different fat contents

2.4 预测模型建立与分析

本研究将采集的牛奶样本,使用Kennard-Stone(K-S)算法按比率约3∶1将总共96个样品分为校正集和预测集,其中校正集包括72份均质乳样品,用于建立牛奶成分预测模型,验证集由24份均质乳样品组成。每个牛奶样本中的脂肪、蛋白质含量统计结果如表4所示。

表4 牛奶脂肪含量统计
Table 4 The content parameters of milk samples with varying fat levels

建模数据样品集样本数量/个最大值/%最小值/%平均值/%标准差/%μa校正集724.400.282.071.24预测集243.800.282.151.02μ's校正集724.400.282.231.19预测集243.800.341.671.08

在进一步不同脂肪含量牛奶的光学特性分析中,分别采用全波段、CARS以及GA波长筛选策略,基于牛奶样本的μa光谱数据分别建立PLSR模型和SVM模型,模型预测结果如表5所示。其中用于建模的波长数量以有效波长(effective wavelengths,EWs)表示,而模型所使用的主成分数量以LVs表示。

表5 基于的不同特征波长筛选的牛奶脂肪含量预测模型
Table 5 The milk fat content prediction model based on different characteristic wavelength selection of μa and

建模方法波长筛选方法μaμ'sEWsLVs校正集预测集R2CRMSECR2PRMSEPEWsLVs校正集预测集R2CRMSECR2PRMSEPNone101160.751 50.473 30.688 10.634 810160.952 00.258 20.930 60.285 2PLSRGA65180.856 30.377 30.737 20.514 27760.951 60.259 20.930 00.287 3CARS35140.920 90.345 30.859 50.384 72650.951 30.260 10.927 50.290 0None101/0.879 60.153 40.747 80.288 6101/0.982 30.186 60.949 10.250 7SVMGA41/0.889 60.167 30.756 60.268 845/0.976 10.042 00.951 30.055 5CARS45/0.889 10.167 60.730 80.294 410/0.975 10.042 60.948 90.057 7

注:EW表示有效波长数、LVs表示主成分数、“/”表示没有主成分因子;加粗数据为最优模型。

对比μa这2种光谱建模数据,总体上基于数据的模型预测效果更为优异。这主要是由于μa数值整体较小且受水吸收特性的影响较大,导致建模预测效果不佳,这一结果进一步验证了牛奶脂肪含量与具有更显著的相关性。相比μa,基于光谱数据在全波段和波长筛选后建模的校正集和预测集模型性能均更优,且SVM模型的预测效果比PLSR模型的预测效果好。通过特征波长提取方法显著减少了有效波长数量,去除冗余信息,降低了模型复杂度,尤其是SVM模型结合GA和CARS筛选方法时,有效波长数由101分别降低至45和10。此时,预测集的高达0.951 3和0.948 9,RMSEP最低可至0.055 5和0.057 7,展现了更稳定的建模效果。

建模分析结果表明,对于μa光谱数据,采用CARS波长筛选方法的PLSR模型性能最佳,预测集为0.859 5,RMSEP为0.384 7,但整体效果仍逊于基于数据的模型。相比之下,基于光谱数据的GA-SVM模型是牛奶脂肪含量的最优预测模型,其预测集为0.951 3,RMSEP为0.055 5。图8显示了牛奶脂肪含量分别基于μa光谱数据的最优预测模型下的实测值与预测值对比效果,两者无明显差异,表明模型预测结果优。

a-基于μa的最优模型预测效果;b-基于的最优模型预测效果

图8 牛奶脂肪含量最优模型预测效果
Fig.8 Optimal model prediction performance for milk fat content

3 结论

本研究构建并校准了一套空间分辨高光谱成像系统,结合空间分辨技术与高光谱技术,实现了对波长范围为500~1 000 nm的不同脂肪浓度牛奶样本的空间分辨高光谱图像的采集。通过从图像中提取空间分辨漫反射曲线,并结合基于漫射近似方程的光传输模型反演辨识算法,成功获取了牛奶组织的吸收系数μa和约化散射系数光谱。通过对单一脂肪含量变化与光学特性参数的影响研究,发现脂肪含量的变化对牛奶样本的光学特性参数具有显著影响。在此基础上,分别基于μa光谱数据结合特征波长筛选方法,构建了PLSR和SVM预测模型定量预测牛奶脂肪含量。通过建模分析结果可知,基于光谱数据的建模效果优于μa数据,其中结合GA-SVM方法筛选并建立的模型对牛奶脂肪含量的预测效果最佳,为0.951 3,RMSEP为0.055 5。研究结果表明,利用空间分辨高光谱成像系统采集的牛奶样本吸收和散射系数光谱数据,可有效预测其脂肪含量,为非侵入性检测牛奶脂肪含量提供了一种可靠的技术手段。

参考文献

[1] YU Y, FU R Q, JIN C J, et al.Regulation of milk fat synthesis:Key genes and microbial functions[J].Microorganisms, 2024, 12(11):2302.

[2] 曾云凤, 周振新, 刘昨, 等.盖勃法测定牛奶中脂肪含量的优化[J].中国乳业, 2024(7):98-101.ZENG Y F, ZHOU Z X, LIU Z, et al.Optimization of gerber method for determination of fat content in milk[J].China Dairy, 2024(7):98-101.

[3] 杨彪. 生鲜和均质牛乳主要成分光谱检测方法及便携式仪器研发[D].咸阳:西北农林科技大学, 2021.YANG B.Detection methods on raw and homogenized milk main compositions using spectroscopy and development of portable milk analyzer[D].Xianyang:Northwest A&F University, 2021.

[4] 李欣, 刘江平, 黄清, 等.改进的鲸鱼优化算法对牛奶脂肪含量预测模型的优化[J].光谱学与光谱分析, 2023, 43(9):2779-2784. LI X, LIU J P, HUANG Q, et al.Optimization of prediction model for milk fat content based on improved whale optimization algorithm[J].Spectroscopy and Spectral Analysis, 2023, 43(9):2779-2784.

[5] JIN X, XIAO Z Y, XIAO D X, et al.Quantitative inversion model of protein and fat content in milk based on hyperspectral techniques[J].International Dairy Journal, 2022, 134:105467.

[6] GASTÉLUM-BARRIOS A, SOTO-ZARAZA G M, ESCAMILLA-GARCA A, et al.Optical methods based on ultraviolet, visible, and near-infrared spectra to estimate fat and protein in raw milk:A review[J].Sensors, 2020, 20(12):3356.

[7] MUHAMAD KAMIL N A I,WAN ISMAIL W Z, BALAKRISHNAN S R, et al.Study on optical properties of milk based on light propagation theory[J].Journal of Physics:Conference Series, 2021, 2071(1):012006.

[8] LUO Y F, DAI L Y, JIANG X, et al.Measurement of absorption and scattering properties of milk using a hyperspectral spatial frequency domain imaging system[J].Journal of Food Measurement and Characterization, 2022, 16(1):753-761.

[9] BOGOMOLOV A, BELIKOVA V, GALYANIN V, et al.Reference-free spectroscopic determination of fat and protein in milk in the visible and near infrared region below 1000 nm using spatially resolved diffuse reflectance fiber probe[J].Talanta, 2017, 167:563-572.

[10] LU Y Z, HUANG Y P, LU R F.Innovative hyperspectral imaging-based techniques for quality evaluation of fruits and vegetables:A review[J].Applied Sciences, 2017, 7(2):189.

[11] 张文祥, 潘嘹, 卢立新.包装生鲜牛肉pH值的高光谱无损检测方法[J].食品与发酵工业, 2023, 49(22):273-278.ZHANG W X, PAN L, LU L X.Hyperspectral non-destructive testing method for pH value of packaged fresh beef[J].Food and Fermentation Industries, 2023, 49(22):273-278.

[12] 孙宏伟, 彭彦昆, 王凡.空间分辨散射光谱多参数信息融合方法的生鲜肉嫩度无损检测[J].光谱学与光谱分析, 2019, 39(11):3365.SUN H W, PENG Y K, WANG F.Nondestructive detection of pork tenderness using spatially resolved hyperspectral imaging technique based on multivariable statistical analysis[J].Spectroscopy and Spectral Analysis, 2019, 39(11):3365.

[13] MTZLER C.MATLAB functions for mie scattering and absorption, version 2[J].IAP Research Reports, 2002, 8(1):1-25.

[14] 杨宇, 邢永春, 朱启兵.基于高光谱散射技术的粉体堆密度无损检测[J].激光与光电子学进展, 2018, 55(1):13003.YANG Y, XING Y C, ZHU Q B.Non-destructive detection of bulk density of powder using hyperspectral scattering technique[J].Laser &Optoelectronics Progress, 2018, 55(1):13003.

[15] QIN J W, LU R F.Hyperspectral diffuse reflectance imaging for rapid, noncontact measurement of the optical properties of turbid materials[J].Applied Optics, 2006, 45(32):8366-8373.

[16] GRAAFF R, AARNOUDSE J G, ZIJP J R, et al.Reduced light-scattering properties for mixtures of spherical particles:A simple approximation derived from Mie calculations[J].Applied Optics, 1992, 31(10):1370-1376.

[17] WANG A C, WEI X H.A sequential method for estimating the optical properties of two-layer agro-products from spatially-resolved diffuse reflectance:Simulation[J].Artificial Intelligence in Agriculture, 2019, 3:69-78.

[18] MOHAMMADI S, GOWEN A, LUO J N, et al.Prediction of milk composition using multivariate chemometric modelling of infrared, Raman, and fluorescence spectroscopic data:A review[J].Food Control, 2024, 165:110658.

[19] BUOIO E, COLOMBO V, IGHINA E, et al.Rapid classification of milk using a cost-effective near infrared spectroscopy device and variable cluster-support vector machine (VC-SVM) hybrid models[J].Foods, 2024, 13(20):3279.

[20] DING G, JIN K, CHEN X Y, et al.Non-destructive prediction of ready-to-eat kiwifruit firmness based on Fourier transform near-infrared spectroscopy[J].Postharvest Biology and Technology, 2024, 212:112908.

[21] KAMIL, NOR’AINI, Z S, WAN ISMAIL, W Z, et al.Investigating the quality of milk using spectrometry technique and scattering theory[J].Engineering Technology &Applied Science Research, 2021, 11(3):7111-7117.

[22] ABILDGAARD O H A, KAMRAN F, DAHL A B, et al.Non-invasive assessment of dairy products using spatially resolved diffuse reflectance spectroscopy[J].Applied Spectroscopy, 2015, 69(9):1096-1105.

[23] KAMIL N A I M, ZAKARIA I H, ISMAIL W Z W, et al.Investigating light propagation in full and skimmed milk based on spectroscopy and monte carlo analysis[J].Journal of Engineering and Applied Science, 2020, 67(8):2265-2278.

Nondestructive detection of milk fat content based on spatially resolved hyperspectral technology

YANG Yingying1, PAN Liao1,2*, LU Lixin1,2, TANG Yali1,2, CHEN Xi3

1(School of Mechanical Engineering, Jiangnan University, Wuxi 214122, China)2(Jiangsu Key Laboratory of Advance Food Manufacturing Equipment and Technology, Wuxi 214122, China)3(Wuxi Taihu University, Wuxi 214063, China)

ABSTRACT This study presents a rapid, non-destructive method for detecting milk fat content using spatially resolved hyperspectral imaging (SR-HSI) technology.A spatially resolved hyperspectral imaging system was used to capture hyperspectral images of milk samples with varying fat contents within the spectral range of 500-1 000 nm.The absorption coefficient (μa) and reduced scattering coefficient spectra were extracted by inverting the diffuse approximation light transport model.To enhance model accuracy, three feature wavelength selection methods were applied:full-spectrum analysis, genetic algorithm (GA), and competitive adaptive reweighted sampling (CARS).These methods were used to develop partial least squares regression (PLSR) and support vector machine (SVM) models for predicting milk fat content.The results demonstrated a strong linear correlation between μs and milk fat content, with an average correlation coefficient of 0.995.The optimal performance for predicting milk fat content was achieved using the SVM model combined with the GA wavelength selection method based on μs spectral data, yielding a prediction set of 0.951 3 and an RMSEP of 0.055 5.These findings suggest that SR-HSI can effectively characterize the optical properties of milk samples, and this method provides a reliable and efficient tool for the quantitative analysis of milk fat content, offering a promising approach for quality control in dairy production and processing.

Key words milk; fat content; spatially resolved hyperspectral; absorption coefficient; reduced scattering coefficient; nondestructive detection

DOI:10.13995/j.cnki.11-1802/ts.041830

引用格式:杨莹莹,潘嘹,卢立新,等.基于空间分辨高光谱技术的牛奶脂肪含量无损检测研究[J].食品与发酵工业,2025,51(18):330-337.YANG Yingying,PAN Liao,LU Lixin, et al.Nondestructive detection of milk fat content based on spatially resolved hyperspectral technology[J].Food and Fermentation Industries,2025,51(18):330-337.

第一作者:硕士研究生(潘嘹副教授为通信作者,E-mail:breath860101@aliyun.com)

基金项目:江苏省食品先进制造装备技术重点实验室自主资助基金资助项目(FMZ202202)

收稿日期:2024-12-12,改回日期:2025-01-19