明胶可食着色体系的制备及其在白巧克力中的应用

苏提森1,马浩然1,朱俊成1,乔世豪1,杨雨馨1,马良1,2,3,张宇昊1,2,3,王洪霞1,2,3*

1(西南大学 食品科学学院,重庆,400715)2(川渝共建特色食品重庆市重点实验室,重庆,400715)3(发光分析和分子传感教育部重点实验室,重庆,400715)

摘 要 该研究以明胶为连接材料、可食性氧化铁为色料、吐温80为助剂制备了一系列可食着色体系,并用于调控白巧克力性质。结果表明,当吐温80含量分别为3.3%、1.6%、5.0%(质量分数)时,氧化铁红、氧化铁黄、氧化铁黑分散较为稳定,该明胶/氧化铁基着色系列体系具有较优的颜色、较低沉淀率、高(三阶段触变性测试,three interval thixotropy test)3ITT恢复率、高触变环面积、高触变指数、高膨胀弹性模量;当将该着色体系用于调控白巧克力时,能够与白巧克力组分充分互作,可以改善白巧克力质构、提升白巧克力热稳定性。实验表明,该明胶/氧化铁基可食着色体系能够有效调控食品性质,为创新食品的研发和应用提供借鉴。

关键词 明胶;色料;可食着色体系;流变学;白巧克力

色料在食品领域具有重要作用,它可以赋予食品特殊颜色、改善食品表观形貌、促进销售,天然色素由于稳定性差(容易受到温度、光照等影响)在应用中易受到限制。氧化铁类色料因其稳定性(耐光、耐温、耐氧化)、可食性、着色性等优良性质,逐渐应用于食品、药品等领域[1]。GB 2760—2024《食品安全国家标准 食品添加剂使用标准》规定,氧化铁色料可以用于糖果和白巧克力制品包衣;欧盟委员会发布法规2022/1373号条例,批准氧化铁可以作为新型食品原料投放市场;美国食品和药物管理局(Food and Drug Administration, FDA)发布G/SPS/N/USA/2747号通报,允许在糖果、薄荷和口香糖中使用氧化铁色料;加拿大卫生部发布G/SPS/N/CAN/911号通报,允许氧化铁用于加工某些非标准化食品。然而氧化铁色料因其颗粒性、不溶于水,在食品中进行应用时可能会聚集,进而降低食品口感、影响消化、不利于食品市场流通,因此对氧化铁色料进行预分散和预稳定尤为重要。

明胶是一种来源于动物结缔组织(鱼鳔/鱼鳞、猪皮、牛骨、兔皮、羊皮、驴皮等)的常见的透明、无色(或淡黄色)、类似细棒或纤维状的无脂肪蛋白质,具有可食性、分散性、凝胶性、增稠性、表面活性、起泡性、乳化性,广泛应用于食品领域(乳液、糖果、肉制品、茶饮、酒品、冰激凌、乳制品、酒类、果汁、特殊食品包装)。明胶在水中膨胀,能形成具有三维网状结构的水溶液体系,浓度不同,具有不同的流变特性,可以有效负载色料(如花青素、藻蓝蛋白)[2-3],有助于保持色料粒子在体系中的均匀分散,进而改善其稳定性和均一性。因此明胶可以潜在负载稳定氧化铁色料,并应用于功能性食品中。

白巧克力作为一种食品,具有香味浓郁独特、口感细腻的优点,并具有抗炎、降低血浆胆固醇、调节脂质和脂蛋白代谢等有多种功效,受到广大消费者的青睐[4-7]。但目前的白巧克力颜色种类单一,为了提升其对消费者的吸引力,激发消费者的食用欲望,使消费者有愉悦的心理认同感,需要拓展白巧克力颜色,以增加其附加值、扩大消费市场。

目前,将明胶/可食氧化铁色料体系应用于着色白巧克力的研究尚无报道。因此,本研究对明胶/氧化铁(氧化铁红、氧化铁黄、氧化铁黑)/甘油/吐温80可食着色体系进行了探索,采用色差、沉降率、触变指数、触变恢复率、界面膨胀黏弹性等参数表征体系的结构和稳定特性;将优化后的着色体系用于调控白巧克力的颜色,结合质构、热重和电子扫描显微镜等测试,分析着色体系对白巧克力性质的影响,旨在为明胶/氧化铁基可食着色体系在食品工业上的创新应用和发展提供参考。

1 材料与方法

1.1 材料与试剂

明胶(食品级),山东省莱阳市福利明胶厂;氧化铁红、氧化铁黄、氧化铁黑(食品级),国泰色料(香港):甘油(食品级)、吐温80(食品级),连云港新爱食品科技有限公司;白巧克力,Shinnove;纯水(分析纯)。

1.2 仪器与设备

JA3003B电子天平,上海精天电子仪器有限公司;HH-4显数显恒温搅拌器,上海新诺仪器设备有限公司;XQM-0.4A立式半圆形行星球磨机,长沙天创粉末科技有限公司;FD-1A-50真空冷冻干燥仪,北京博伊康实验仪器有限公司;XD-52AA测色仪,深圳市威福光电科技有限公司;SU3500扫描电子显微镜,日本日立公司;MCR302流变仪,奥地利安东帕公司;DGG-9140A电热恒温鼓风干燥箱,上海齐欣科学仪器有限公司;CT325K230物性测试仪,美国brookfield公司;Phenom Pro扫描电镜,荷兰Phenom World公司;TGA550热重分析仪,美国TA公司。

1.3 实验方法

1.3.1 样品制备

将明胶加入纯水中,常温静置1 h使其吸水溶胀,随后在50~55 ℃条件下水浴加热并不断搅拌,制备得到2%(质量分数)的明胶溶液。冷却至室温后,将氧化铁红(10%,质量分数)、氧化铁黄(10%,质量分数)、氧化铁黑(10%,质量分数)色料粉末分别加入到明胶溶液中,通过机械搅拌(1 500 r/min,1 h)使之初步混合,随后加入甘油(3.3%,质量分数)和吐温80(0、1.6%、3.3%、5.0%,质量分数)(考虑到食品使用安全限制),继续经机械搅拌(1 500 r/min,1 h)使之进一步混合,随后高速球磨6 h(410 r/min),使其充分分散,制备得到明胶/氧化铁基可食着色体系。根据吐温80的含量(0%、1.6%、3.3%、5.0%),明胶/氧化铁红基可食着色体系样品被分别标注R0、R1、R2和R3,明胶/氧化铁黄基可食着色体系样品被分别标注Y0、Y1、Y2和Y3,明胶/氧化铁黑基可食着色体系样品被分别标注B0、B1、B2和B3。

1.3.2 色差测定

利用测色仪测定明胶/氧化铁基可食着色体系样品的L*a*b*L*代表亮度;a*代表红色(正值)/绿色(负值);b*代表黄(正值)/蓝色(负值)。平行测定5次,并计算色差ΔE[8],如公式(1)所示:

(1)

式中:ΔE代表色差;ΔL*、Δa*、Δb*为被测样品与参考样品(R0、Y0、B0)之间L*a*b*的差值。其中ΔE<3:没有明显的差异;3<ΔE<6:非常微小的差异;6<ΔE<9:相当明显的差异;9<ΔE<12:显著的差异;ΔE>12:不同的颜色。

1.3.3 沉降率

测量空离心管的质量记为m0,将明胶/氧化铁基可食着色样品置于10 mL离心管中称重,记为m。随后,离心10 min(4 000 r/min),取出上清液后再次称重,记为m1。沉降率(precipitation rate,PR)的计算如公式(2)所示:

(2)

式中:PR,沉降率,%;m0,空离心管质量,g;m,离心前样品与离心管的质量,g;m1,经离心取出上清液称重质量,g。

1.3.4 流变特性

使用流变仪探究样品的流变特性(采用CP-50锥板、BC12.7探头、间距1 mm、25 ℃),可以表征样品体系的内部结构、稳定性、可加工性,为加工生产和实际应用提供理论依据。

速率扫描:利用剪切速率0.1~100 s-1探究明胶/氧化铁基着色样品黏度行为,同时用Power-law模型对黏度数据进行拟合,并分析其网络结构。其计算如公式(3)所示:

ηa=k1γn1-1

(3)

式中:ηa,表观黏度;γ,剪切速率;k1,稠度系数;n1,流体行为指数。

三阶段触变性测试(three interval thixotropy test,3ITT):明胶/氧化铁基着色样品在速率0.01 s-1下剪切20 s,随后在速率50 s-1下剪切20 s,最后在速率0.01 s-1下剪切20 s,随后计算触变恢复率,并分析其网络结构重建能力。其计算如公式(4)所示:

(4)

式中:R,触变恢复率;ηa,第3阶段的黏度;ηb,第1阶段的黏度。

触变环面积测试:采用上行剪切速率0.001~100 s-1、下行剪切速率100~0.001 s-1对明胶/氧化铁基着色样品进行测试,得到2条曲线形成的封闭图形即为触变环,并分析结构稳定性和触变性。其面积的计算如公式(5)所示:

(5)

式中:HLA,触变环面积;x,剪切速率;x0.001,剪切速率0.001 s-1;x100,剪切速率100 s-1;δ(x),上行剪切应力曲线;x′,剪切速率;剪切速率剪切速率100 s-1;δ(x′),下行剪切应力曲线。

触变指数测定:在恒定剪切速率4 s-1和40 s-1下分别测定明胶/氧化铁基着色样品的黏度,记为η4η40,随后计算触变指数(thixotropic index,TI),并分析结构稳定性和触变性。TI计算如公式(6)所示:

(6)

式中:TI,触变指数;η4,在4 s-1下黏度;η40,在40 s-1下黏度;触变指数越大,假塑性越强。

屈服值测定:利用剪切应力0.01~100 Pa探究明胶/氧化铁基着色样品的屈服行为,利用Herschel-Bulkley模型判断样品的流体特性,并分析体系的结构强度。其计算如公式(7)所示:

τ=τo+k2γn2

(7)

式中:τ,剪切应力;k2,稠度系数;γ,剪切速率;n2,流体行为指数;τ0,屈服值。

将巧克力样品磨成粉末后,在15~70 ℃下进行温度扫描,探究巧克力的黏度特性。随后在50 ℃下进行后续的流变测试,利用剪切速率0.01~1 000 s-1探究巧克力样品的黏度特性,利用3ITT探究巧克力样品在速率0.01 s-1下剪切60 s、随后在速率20 s-1下剪切60 s、最后再在速率0.01 s-1下剪切60 s的三阶段黏度特性,利用振荡振幅0.01%~10 000%探究巧克力样品的储存模量G′和损耗模量G″。

1.3.5 膨胀流变学测定

根据SHAO等[9]描述的方法并进行一定的修改,在25 ℃下,使用界面扩张流变仪测定明胶/氧化铁基样品的界面膨胀黏弹性,并分析结构强度和抗形变能力。

1.3.6 着色体系调控白巧克力性质

未处理白巧克力标记为C0;在白巧克力中分别添加3种不同优化后的明胶/氧化铁(红、黄、黑)基样品(0.2%质量浓度),以此得到的巧克力样品标记为CR、CY、CB。

1.3.7 巧克力质构分析(texture profile analysis, TPA)

将巧克力样品(2.0 cm×2.0 cm×0.5 cm)放在质构分析仪的平台上,选择探头TA41(圆柱形),设置探头测试的力为5 g,速度为1 mm/s进行2周期压缩,每组平行测定6次。

1.3.8 巧克力扫描电镜(scanning electron microscope, SEM)分析

对巧克力样品进行喷金,用扫描电镜观察巧克力样品的表面微观结构。

1.3.9 巧克力热重分析

取10 mg巧克力样品置于坩埚中,随后放入热分析仪中进行巧克力热稳定性测试。以5 ℃/min的升温速率从35 ℃加热至600 ℃并记录数据,所有测试均在N2环境(25 mL/min)下进行,根据所得数据绘制热重分析(thermogravimetric analysis,TGA)曲线和微分热重(derivative thermogravimetry,DTG)曲线,判断巧克力的热稳定性。

1.3.10 巧克力差异扫描热量(differential scanning calorimetry, DSC)测试

取10 mg巧克力样品C0、CR、CY、CB密封于坩埚中,放入样品池中进行差异扫描热量测试。以5 ℃/min的升温速率从0 ℃加热到150 ℃并记录数据,所有测试均在N2环境(25 mL/min)下进行,根据所得数据绘制DSC曲线,判断巧克力的熔融特性。

1.4 数据分析与处理

每组实验至少重复进行3次测试,获得的实验数据结果采用Microsoft Excel进行数据整理,并使用Origin pro 2022、SPSS进行数据处理、误差分析、图片绘制。

2 结果与分析

2.1 CIElab分析(Commission Internationale de l′Éclairage Lab color space*)分析

图1-a为基于不同吐温80含量(1.6%、3.3%、5.0%)的明胶/氧化铁(氧化铁红、氧化铁黄和氧化铁黑)基可食着色样品的照片,分别显示出红色、黄色和黑色,色料分散较均匀。在相同吐温80浓度下,可食着色样品的颜色表现不同,可能是色料的组成和性质不同导致的。图1-b展示了不同样品与相对应未加吐温80样品(R0、Y0、B0)的色差值,在同一色料情况下的样品,其色差随着吐温80含量的增加而增大。对于明胶-氧化铁红基着色样品,R2的色差大于R1,可能是由于吐温80的增加,促进了氧化铁红色料的分散,因此颜色更深、色差更大,当吐温80继续添加时,R2和R3色差值变化较小,可能是吐温80添加量在3.3%(R2)时,已经充分分散氧化铁红色料,样品较为稳定,继续添加吐温80对样品(R3)颜色的影响较小。对于明胶-氧化铁黄基着色样品,吐温80对样品的影响不大,Y1、Y2、Y3色差值几乎相同,可能主要归因于吐温80的含量为1.6%(Y1)时,已经能够充分分散色料,样品已经较为稳定,因此色差几乎一致。对于明胶-氧化铁黑基着色样品,B1、B2、B3的色差值随着吐温80的增加而增大,尤其是B3(吐温80含量为5.0%时),色差最大,颜色最深。

a-明胶基可食着色体系样品图;b-明胶基可食着色体系色差

图1 明胶/氧化铁基可食着色体系样品图和色差
Fig.1 Gelatin/iron oxide based edible coloring systems

2.2 沉降率

离心沉降率能够在一定程度上反映氧化铁色料在体系中的分散负载性[10]。由图2可知,当吐温80含量相同时,对于明胶/氧化铁基样品,沉降率呈现氧化铁黑>氧化铁红>氧化铁黄的情况。这可能是因为在添加相同吐温80的条件下,氧化铁黄的分散性最好,分散程度最高,氧化铁红次之,氧化铁黑最差,这与色料的组成和性质不同相关。

图2 明胶/氧化铁基样品的沉降率
Fig.2 Precipitation rate of gelatin/iron oxide based samples

具体而言,对于明胶/氧化铁红基样品,当吐温80增加到3.3%(R2)时,沉降率明显下降,但当吐温80继续增加时,沉淀率几乎保持不变;对于明胶/氧化铁黄基样品,吐温80对体系的沉降率影响不大,Y1、Y2、Y3的沉降率都比较低,吐温80含量为1.6%时,氧化铁黄色料在体系中的分散程度就能够达到较好效果,与CIElab结果一致;对于明胶/氧化铁黑基样品,随着吐温80含量增加(1.6%、3.3%、5.0%),B1、B2、B3沉降率明显下降,特别是B3(吐温80含量5.0%)的沉降率最低,说明此时吐温80含量可较好分散体系中的氧化铁黑色料。因此,R2、R3、Y1、Y2、Y3、B3沉淀率较低,吐温80可以促进色料在体系中分散和负载,并防止沉淀,有利于维持体系的稳定性;考虑到成本(吐温80用量),其中R2、Y1、B3的沉淀率低且整体较为稳定。

2.3 速率扫描

图3展示了明胶/氧化铁基样品黏度随剪切速率变化的曲线图。当剪切速率由0.01 s-1增加到100 s-1时,样品的黏度整体上随着剪切速率增加而降低,表现出剪切稀化性质[11],这是因为随着剪切速率增加,样品体系受到了较强的外力剪切作用,导致体系中的网络结构被破坏并重新排列。同时,由图3可看出,明胶/氧化铁黄基样品(Y1、Y2、Y3)比明胶/氧化铁红基样品和明胶/氧化铁黑基样品具有更高的黏度,主要可能归因于氧化铁黄可以与明胶、甘油、吐温80等组分产生更强的相互作用(例如氢键),具有更强的网络结构和稳定性(与图1和图2结果一致)。利用Power-law公式对得到的数据进行拟合(表1),n1均小于1,进一步证明了剪切稀化行为,也说明样品为典型的假塑性流体。对于同一色料,随着吐温80含量的增加,样品的稠度指数k1总体较高,这主要是因为吐温80含有大量的亲水基团,与体系组分互作,有利于形成较强的网络结构,因此增加样品的稠度。

表1 Power-law 模型拟合结果
Table 1 The fitting results from Power-law models

样品k1n1R159.459 50±6.678 660.059 55±0.026 75R296.954 40±23.883 780.070 44±0.058 70R3656.916 90±163.441 350.402 05±0.063 16Y14 341.652 87±967.626 230.474 43±0.057 86Y21 384 776.870 00±288 986.676 100.650 52±0.058 94Y3140 240.707 40±240 27.016 150.794 45±0.054 26B132.788 25±5.363 660.578 97±0.044 21B2541.494 29±198.511 530.474 57±0.095 01B3611.051 55±151.965 090.579 57±0.067 18

图3 不同剪切速率下样品黏度
Fig.3 Shear ramp of samples

2.4 3ITT恢复率

3ITT可用于评估和描述体系的内部结构[12]。如图4所示,对于明胶/氧化铁红基样品,R2的恢复率优于R1,这可能与吐温80的增加有关;吐温80的增加促进了各组分互作,形成较强的网络结构,从而促进了氧化铁红色料的分散,形成了较稳定的体系;在外力作用下,该体系的变形恢复率较好,能够较大程度上恢复其网络结构;当吐温80的含量继续增加时,R3的恢复率几乎不变,说明当吐温80含量为3.3%时(R2),氧化铁红基色料已经被充分分散,体系已经足够稳定(与图2一致)。对于明胶/氧化铁黄基样品,吐温80的含量对样品恢复率影响不大,Y1、Y2、Y3的恢复率几乎相同,均具有较高的网络结构重建性,可能当吐温80的含量为1.6%时,氧化铁黄色料分散性已经较好且体系已经较为稳定(图2)。对于明胶/氧化铁黑基样品,B1、B2、B3的恢复率随着吐温80的含量增加有明显上升,尤其是B3(吐温80含量5.0%),其恢复率最高,这说明该样品在受到剪切应力变形后恢复能力较好;这是因为当吐温80的含量为5.0%时,氧化铁黑可以被较好地负载和分散,色料粒子不容易发生聚集和沉淀,此时样品具有较好的结构重建能力,恢复率较高。

图4 明胶/氧化铁基样品的触变恢复率
Fig.4 Thixotropic recovery rate of gelatin/iron oxide based samples

2.5 触变环面积和触变指数

体系触变环的面积越大,触变性越好[13];触变指数越大,触变性也越好[14]。图5-a和图5-b分别展现了样品的触变环面积和触变指数。对于明胶/氧化铁红基样品,R2的触变环面积和触变指数高于R1,这可能是因为随着吐温80含量的增加,氧化铁红色料分散较好,体系结构较为稳定,在外力作用变形后易恢复,因此触变性较高;随着吐温80的添加,R3的触变环面积和触变指数没有明显增加,可能是因为吐温80含量为3.3%时,体系中色料已经被充分分散,继续添加吐温80(5.0%)对触变性的影响不大。对于明胶/氧化铁黄基样品,不论吐温80的含量如何,样品的触变环面积和触变指数均较高,说明在低含量的吐温80下(1.6%),氧化铁黄已经被充分分散,样品触变性较好。对于明胶/氧化铁黑基样品,随着吐温80的添加,B1、B2、B3的触变环面积和触变指数明显提高,尤其是B3面积和指数最大,说明B3的触变性最好,可能是因为高浓度吐温80才能有效地分散氧化铁黑色料,从而形成结构稳定且触变性高的体系。

a-明胶/氧化铁基样品触变环面积;b-明胶/氧化铁基样品触变指数

图5 明胶/氧化铁基样品的触变环面积和触变指数
Fig.5 Hysteresis loop area and thixotropic index of gelatin/iron oxide samples

2.6 膨胀流变

膨胀弹性模量(图6)可表示体系在形变过程中储存的能量,可反映体系的结构强度和抗形变能力。对于明胶/氧化铁红基样品,R2的膨胀弹性模量大于R1,归因于吐温80的含量增加,促进了氧化铁红色料的分散,样品更加稳定,因此膨胀弹性模量得到提高;当吐温80继续添加时,模量改变不大,可能是吐温80含量为3.3%时,氧化铁红色料已经足够稳定,吐温80对膨胀弹性模量的影响较小。对于明胶/氧化铁黄基样品,Y1、Y2、Y3的弹性模量差距不大,可能是吐温80的含量为1.6%时(Y1)就能够较好分散氧化铁黄色料,具有较高的膨胀弹性模量和体系稳定性。对于明胶/氧化铁黑基样品,随着吐温80的添加,B1、B2、B3的膨胀弹性模量不断增加,特别是B3(吐温80含量为5.0%),具有最高的弹性模量,具有较高的结构强度和抗形变能力,稳定性最好。

图6 明胶/氧化铁基样品的弹性模量
Fig.6 Elasticity modulus of gelatin/iron oxide based samples

2.7 屈服值

根据以上CIElab分析、沉降率、触变性、膨胀流变等分析中,基于性能较优和成本节约原则,R2、Y1、B3色料分散性较好、样品结构较稳定,用于屈服值的表征中。

明胶/氧化铁基样品的剪切应力-速率曲线如图7所示,其Herschel-Bulkley拟合结果见表2。表2中n2均小于1,进一步说明样品为假塑性流体[15],与图3和表1结果一致。τ0为屈服值,表示体系开始流动所需达到与超过的临界应力值,可表征体系的结构强度[16];k2表示流体在受到外部剪切应力作用下的抵抗能力及稠度。结合表2,Y1的τ0k2值最大,说明Y1相比于R2和B3具有较强的内部结构强度和较高的黏度,这可能是因为氧化铁黄色料可以与明胶、甘油和吐温80之间产生了较强的相互作用,从而形成结合更加紧密和稳定的三维网状结构。所以,Y1需要更大的屈服应力才能够使体系发生流变形变,与图2~图6性能结果一致。

表2 Herschel-Bulkley拟合结果
Table 2 The fitting results from Herschel-Bulkley

样品τok2n2R20.063 73±0.013 400.068 35±0.013 190.505 66±0.043 45Y10.864 31±0.054 141.079 93±0.045 550.600 47±0.009 64B30.142 60±0.011 090.022 24±0.004 160.928 99±0.042 92

图7 明胶/氧化铁基样品剪切应力-剪切速率曲线
Fig.7 Shear stress-shear rate curves of gelatin/iron oxide based samples

2.8 着色白巧克力表征

根据图1~图6结果,基于性能较优和成本节约原则,R2、Y1、B3具有较优颜色、低沉淀率、高3ITT恢复率、高触变环面积、高触变指数、高膨胀弹性模量,R2、Y1、B3体系中色料分散性较好、体系网络结构较稳定,因此用于着色调控白巧克力,并表征其对白巧克力的影响。

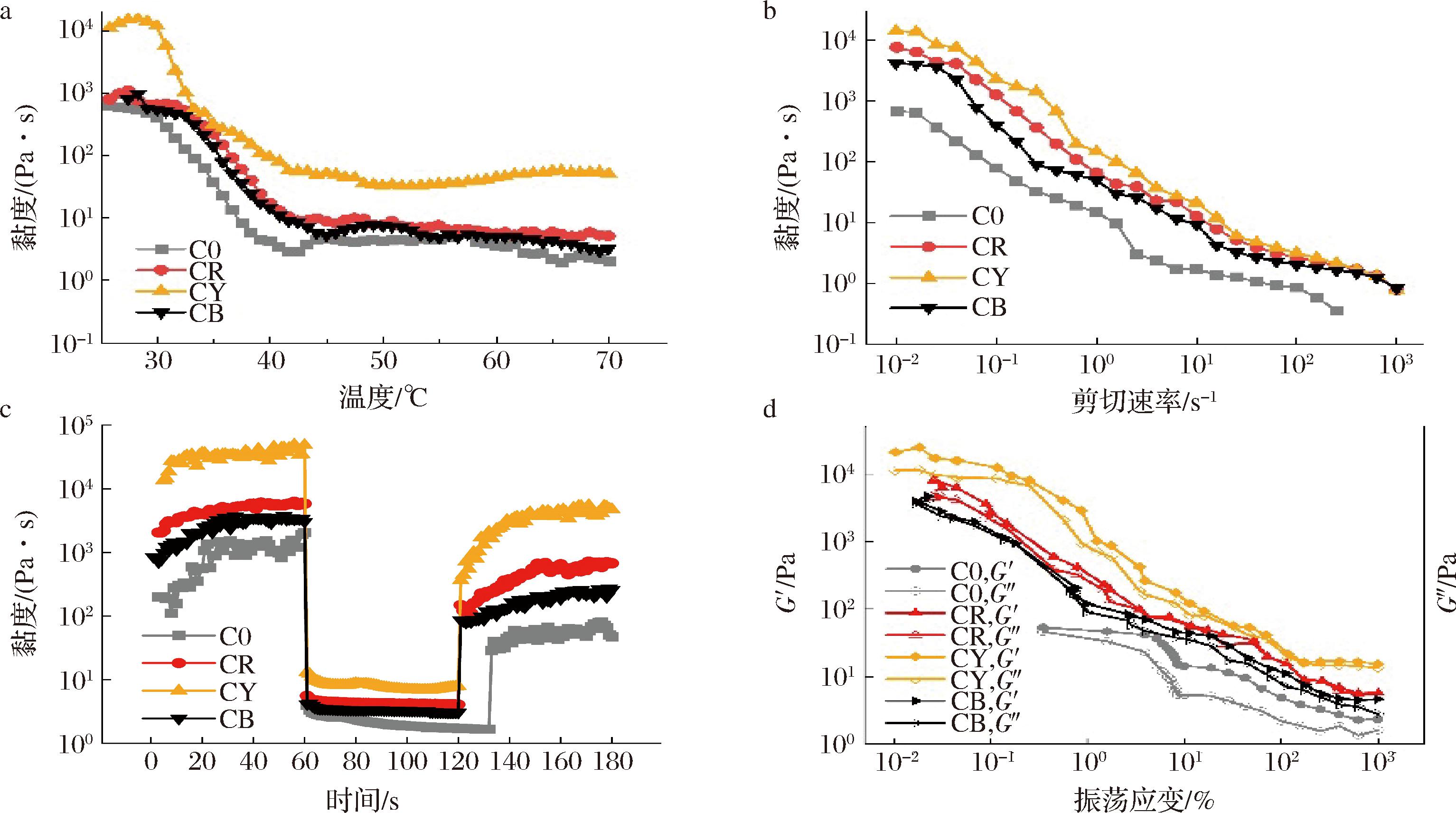
2.8.1 着色巧克力流变学测试

图8为巧克力样品C0、CR、CY、CB的流变学测试结果。由图8-a可知,随着温度升高至45 ℃后,巧克力黏度都降低,均由固体变为液体,因此选择50 ℃进行后面的测试;由图8-b可知,巧克力样品均具有剪切稀化的特性,有利于实际加工生产;由图8-c可知,C0、CR、CY、CB的恢复率分别为27.68%、31.56%、31.95%和30.75%,巧克力样品均具有一定的触变性,尤其是着色体系可以提高白色巧克力的恢复率和增强其网络结构重建能力;图8-d展示了巧克力样品在应变作用下,模量均降低、网络结构弹性降低,趋势一致。其温敏固-液性、剪切稀化特性、网络结构重建能力、弹性等性质,表明所有巧克力样品具有较优的加工性、特殊成型性(如3D打印)和应用性。

a-巧克力温度扫描;b-巧克力剪切速率扫描;c-巧克力3ITT测试;d-巧克力振幅扫描

图8 巧克力样品流变学测试
Fig.8 Rheological tests on chocolate samples

注:d图中G′为储存模量,G″为损耗模量。

同时,根据图8-a~图8-d的温度扫描、剪切速率扫描、3ITT和振幅扫描结果,可以发现经过明胶/氧化铁体系着色后的样品CR、CY、CB相比于C0,黏度、模量都得到了稍微提高,说明着色体系提高了白巧克力的黏度,可能的原因是着色体系中的明胶等组分与白巧克力组分相互作用,促进了色料的均匀分散,该色料粒子进一步增强白巧克力的网络结构,以此提高白巧克力的黏度和模量。

2.8.2 着色体系对白巧克力质构的影响

图9-a展示了纯白色白巧克力(C0)、R2着色白巧克力(CR)、Y1着色白巧克力(CY)、B3着色白巧克力(CB)的照片,白巧克力颜色均匀、色相丰富。

a-样品C0、CR、CY、CB;b-着色巧克力的质构

图9 巧克力样品和巧克力样品的质构
Fig.9 Chocolate samples and their textures

质构分析(图9-b)能够反映白巧克力产品的适口性[17-18],明胶/氧化铁基样品在一定程度上可增加白巧克力硬度(食物达到一定程度形变所需的力)、弹性(影响食品的回弹性和嚼劲)、胶着性(影响食品的流动性和口感黏稠度)、咀嚼性(通过咀嚼作用转变为易于吞咽的状态所需的能量)[19],可能的原因是着色体系样品中的明胶、甘油、吐温80与白巧克力组分相互作用,促进了氧化铁色料的均匀分散,有利于形成稳定着色的白巧克力样品;同时,均匀分散的氧化铁色料粒子进一步增强白巧克力的网络结构,改善白巧克力的质构。

2.8.3 着色体系对白巧克力微观结构的影响

利用扫描电镜研究着色体系对白巧克力样品微观结构的影响[20],如图10所示。添加了明胶/氧化铁基样品R2、Y1、B3的巧克力样品CR、CY、CB,相较于C0,具有相似的微观形貌,没有明显较大的差异,这可能是由于着色巧克力中明胶/氧化铁基样品含量较少(0.2%,质量分数),且明胶/氧化铁基样品中的成分与白巧克力组分充分相互作用,形成了稳定的混合巧克力体系。

a-巧克力样品C0;b-巧克力样品CR;c-巧克力样品CY;d-巧克力样品CB

图10 巧克力电镜图
Fig.10 SEM images of chocolate samples

2.8.4 着色体系对白巧克力热稳定性的影响

热重分析技术可探究白巧克力样品的热稳定性[21]。图11-a和图11-b分别为白巧克力样品的TGA曲线和DTG曲线。由图11-a的TGA曲线可得,不论温度在300 ℃或近600 ℃时,C0均比CR、CY、CB具有更高的失重率,CR、CY、CB表现出较高的热稳定性。由图11-b的DTG曲线可知,C0、CR、CY、CB均在160 ℃和220 ℃左右具有第一阶段和第二阶段热降解峰;在大于300 ℃,具有第三阶段热降解峰,但此时CR(330 ℃)、CY(337 ℃)、CB(344 ℃)比C0(309 ℃)具有更高的热降解温度,进一步证明,明胶/氧化铁基样品可以提高白巧克力的热稳定性,可能的原因是明胶/氧化铁基着色体系中的明胶、甘油、吐温80与白巧克力中的各组分相互作用,促进氧化铁色料的均匀分散,增强白巧克力的网络结构,促使降解温度上升,提升白巧克力样品的热稳定性。

a-巧克力样品的TGA曲线;b-巧克力样品的DTG曲线

图11 巧克力样品的TGA曲线和DTG曲线
Fig.11 TGA curves and DTG curves of chocolate samples

2.8.5 着色体系对白巧克力熔融温度的影响

DSC可以评估白巧克力的热性能[22]、品质和加工性能。图12为巧克力样品的DSC曲线,熔融点显示为一个明显的吸热峰(正峰),熔融温度在30~33 ℃,这个峰值对应于巧克力从固态到液态的转变。总体而言,着色体系对巧克力熔融温度影响较小,白色巧克力和着色巧克力样品的熔融温度几乎相同,或者着色巧克力样品(CR和CY)熔融温度仅稍微提高,这主要归因于着色体系的添加量比较低(0.2%,质量分数),因此其对白巧克力熔融温度影响较小。

图12 巧克力样品的DSC曲线
Fig.12 DSC curves of chocolate samples

3 结论

研究以明胶为连接料、氧化铁(氧化铁红、氧化铁黄、氧化铁黑)为色料、吐温80为助剂制备了一系列着色体系,当吐温80的含量分别为3.3%、1.6%、5.0%时,氧化铁红、氧化铁黄、氧化铁黑分散稳定,该明胶/氧化铁基样品具有较优的颜色、低沉淀率、高3ITT恢复率、高触变环面积、高触变指数、高膨胀弹性模量。通过白巧克力的流变学、质构、热重和差异扫描热量测试发现,优化后的明胶/氧化铁基着色样品可用于调控白巧克力品质,该着色样品组分(明胶、甘油、吐温80等)能够与白巧克力组分充分互作,可以改善白巧克力质构、提升热稳定性。该研究可为明胶/氧化铁基可食着色体系在食品工业领域的应用和白巧克力的创新应用提供一定的参考和借鉴。

参考文献

[1] 邓瑜, 郭璟瑜, 唐異淞, 等.黑枸杞花青素软胶囊制备的工艺[J].食品工业, 2020, 41(11):110-114.DENG Y, GUO J Y, TANG Y S, et al.Preparation of soft capsule of anthocyanin from Lycium ruthenicum[J].The Food Industry, 2020, 41(11):110-114.

[2] KIM H J, ROY S, RHIM J W.Gelatin/agar-based color-indicator film integrated with Clitoria ternatea flower anthocyanin and zinc oxide nanoparticles for monitoring freshness of shrimp[J].Food Hydrocolloids, 2022, 124:107294.

[3] CHENTIR I, KCHAOU H, HAMDI M, et al.Biofunctional gelatin-based films incorporated with food grade phycocyanin extracted from the Saharian cyanobacterium Arthrospira sp[J].Food Hydrocolloids, 2019, 89:715-725.

[4] DEVOS N, REYMAN D, SANCHEZ-CORTÉS S.Chocolate composition and its crystallization process:A multidisciplinary analysis[J].Food Chemistry, 2021, 342:128301.

[5] LEDESMA R, MARTNEZ-PÉREZ R B, CURIEL D A, et al.Potential benefits of structured lipids in bulk compound white chocolate:Insights on bioavailability and effect on serum lipids[J].Food Chemistry, 2022, 375:131824.

[6] MANTIHAL S, PRAKASH S, GODOI F C, et al.Effect of additives on thermal, rheological and tribological properties of 3D printed dark white chocolate[J].Food Research International, 2019, 119:161-169.

[7] MANTIHAL S, PRAKASH S, BHANDARI B.Textural modification of 3D printed dark white chocolate by varying internal infill structure[J].Food Research International, 2019, 121:648-657.

[8] ESPERT M, HERNNDEZ M J, SANZ T, et al.Reduction of saturated fat in chocolate by using sunflower oil-hydroxypropyl methylcellulose based oleogels[J].Food Hydrocolloids, 2021, 120:106917.

[9] SHAO T, ZHOU Y, DAI H J, et al.Regulation mechanism of myofibrillar protein emulsification mode by adding Psyllium (Plantago ovata) husk[J].Food Chemistry, 2022, 376:131939.

[10] FENG D C, YIN S J, WEN X Y, et al.Heat treatment improves the dispersion stability of rice bran milk through changing the settling behavior[J].Food Chemistry, 2024, 450:139348.

[11] TAN C C, KARIM A A, UTHUMPORN U, et al.Effect extraction temperature on the emulsifying properties of gelatin from black Tilapia (Oreochromis mossambicus) skin[J].Food Hydrocolloids, 2020, 108:106024

[12] WANG H X, OUYANG Z Y, HU L D, et al.Self-assembly of gelatin and phycocyanin for stabilizing thixotropic emulsions and its effect on 3D printing[J].Food Chemistry, 2022, 397:133725.

[13] 孙程博, 赵蕾, 黄蓓青, 等.UV胶印油墨的制备及其触变性的研究[J].包装工程, 2006,27(5):43-44.SUN C B, ZHAO L, HUANG B Q, et al.Preparation of UV curable ink and research of its thixotroism[J].Packaging Engineering, 2006,27(5):43-44.

[14] 张瑞东, 刘守军.水溶性低碳醇对中性墨水触变指数的影响[J].中国制笔, 2008(2):6-8.ZHANG R D, LIU S J.Effect of water-soluble low-carbon alcohol on thixotropy index of neutral ink[J].China Writing Instruments, 2008(2):6-8.

[15] 王子宇, 王智颖, 罗港, 等.高压均质处理对橙汁流变特性的影响[J].食品与发酵工业, 2021, 47(10):22-29.WANG Z Y, WANG Z Y, LUO G, et al.Effects of high-pressure homogenization on rheological properties of orange juice[J].Food and Fermentation Industries, 2021, 47(10):22-29.

[16] HAGENIMANA A, DING X L, GU W Y.Steady state flow behaviours of extruded blend of rice flour and soy protein concentrate[J].Food Chemistry, 2007, 101(1):241-247.

[17] ESPERT M, HERNNDEZ M J, SANZ T, et al.Reduction of saturated fat in white chocolate by using sunflower oil-hydroxypropyl methylcellulose based oleogels[J].Food Hydrocolloids, 2021, 120:106917.

[18] GHORGHI Z B, YEGANEHZAD S, ALI HESARINEJAD M, et al.Fabrication of novel hybrid gel based on beeswax oleogel:Application in the compound white chocolate formulation[J].Food Hydrocolloids, 2023, 140:108599.

[19] 徐静, 陶宇婷, 丁珊珊, 等.冷冻保护剂对反复冻融牛肉的品质及微观结构的影响[J].食品与发酵工业, 2024, 50(13):209-216.XU J, TAO Y T, DING S S, et al.Effect of cryoprotectants on quality and microstructure of repeated freeze-thaw beef[J].Food and Fermentation Industries, 2024, 50(13):209-216.

[20] HU W, XIONG Z Y, MENG X Y, et al.Lipid matrix-specific pretreatment method for enhancing the extractability and allergenicity maintenance of bovine milk allergens in ELISA detection[J].Food Chemistry, 2024, 452:139462.

[21] 曹智琨, 王吉祥, 张连正.基于明胶-卡拉胶复合基材的新型凝胶糖果制备及性能研究[J].食品与发酵工业, 2024, 50(16):132-141.CAO Z K,WANG J X, ZHANG L Z.Preparation and properties of new gel candy based on gelatin carrageenan composite substrate[J].Food and Fermentation Industries, 2024, 50(16):132-141.

[22] YOU S Q, HUANG Q R, LU X X.Development of fat-reduced 3D printed chocolate by substituting cocoa butter with water-in-oil emulsions[J].Food Hydrocolloids, 2023, 135:108114.

Preparation of gelatin based edible coloring systems and its application in white chocolate

SU Tisen1, MA Haoran1, ZHU Juncheng1, QIAO Shihao1, YANG Yuxin1, MA Liang1,2,3, ZHANG Yuhao1,2,3, WANG Hongxia1,2,3*

1(College of Food Science, Southwest University, Chongqing 400715, China)2(Chongqing Key Laboratory of Speciality Food Co-Built by Sichuan and Chongqing, Chongqing 400715, China)3(Key Laboratory of Luminescence Analysis and Molecular Sensing (Southwest University), Ministry of Education, Chongqing 400715, China)

ABSTRACT In this study, a series of edible coloring systems were prepared with gelatin as the connecting material, edible iron oxide as the color material, and tween 80 as the auxiliary agent, and were used to regulate the color of white chocolate.The results showed that when the contents of tween 80 were 3.3%, 1.6%, and 5.0%, the dispersion of iron oxide red, iron oxide yellow and iron oxide black were stable, respectively.Under these tween 80 contents, the gelatin/iron oxide-based coloring systems had excellent color, low precipitation rate, high 3ITT recovery rate, high thixotropic ring area, high thixotropic index, and high expansion elastic modulus.When the coloring systems were used to regulate white chocolate, they could fully interact with white chocolate components, improve the texture, and enhance the thermal stability of white chocolate.The experiment showed that the gelatin/iron oxide-based edible coloring system can effectively regulate food properties and provide a reference for the development and application of innovative food.

Key words gelatin; pigments; edible coloring systems; rheology; white chocolate

DOI:10.13995/j.cnki.11-1802/ts.041395

引用格式:苏提森,马浩然,朱俊成,等.明胶可食着色体系的制备及其在白巧克力中的应用[J].食品与发酵工业,2025,51(18):83-91.SU Tisen,MA Haoran,ZHU Juncheng, et al.Preparation of gelatin based edible coloring systems and its application in white chocolate[J].Food and Fermentation Industries,2025,51(18):83-91.

第一作者:本科生(王洪霞副教授为通信作者,E-mail:whx20190779@swu.edu.cn)

基金项目:国家自然科学基金青年项目(32202072);重庆市大学生创新创业训练计划资助项目(S202310635006);十四五国家重点研发计划项目(2023YFD2100205);国家自然科学基金面上项目(32372353)

收稿日期:2024-10-23,改回日期:2025-01-23