光辅助巴氏杀菌对牛乳中金黄色葡萄球菌的杀菌机制及动力学分析

芦姝羽1,2,黄现青1,2,赵梦雨1,杜夯3,黑俊肖1,2,海丹1,2,宋莲军1,2,沈玥1,2*

1(河南农业大学 食品科学技术学院,河南 郑州,450002)2(河南省食品加工与流通安全控制工程技术研究中心,河南 郑州,450002)3(巴奴毛肚火锅有限公司,河南 新乡,453500)

摘 要 金黄色葡萄球菌是引起食源性中毒的主要病原菌之一,是牛乳中常见的致病菌。其污染会严重影响牛乳品质及人体健康,因此不断优化牛乳杀菌工艺至关重要。研究使用光照剂量为7.2 J/cm2的405 nm蓝光联合不同巴氏杀菌温度(55~80 ℃)和不同时间(5 min、10 min)处理杀灭牛乳中的金黄色葡萄球菌。采用一级动力学模型、Weibull模型、Logistic模型和Boltzmann模型构建金黄色葡萄球菌的杀菌动力学曲线,并通过测定细胞膜通透性、zeta电位绝对值和粒径,利用电镜观察其微观结构,来探究光辅助巴氏杀菌对牛乳中金黄色葡萄球菌的杀菌机制。结果表明:光照30 min后巴氏杀菌处理75 ℃、10 min可使牛乳中金黄色葡萄球菌(浓度8.12 lg CFU/mL)完全灭活;Logistic模型和Boltzmann模型都能较好拟合光辅助巴氏杀菌对牛乳中金黄色葡萄球菌的杀菌规律,R2分别为0.993 3和0.996 7;光辅助巴氏杀菌使金黄色葡萄球菌的细胞膜通透性增大,细胞形态发生变化,细胞内容物外泄,最终导致细菌灭活。该研究为牛乳杀菌方式提供新的参考,为乳制品企业对于牛乳杀菌条件优化提供理论依据。

关键词 金黄色葡萄球菌;牛乳;405 nm蓝光;光辅助巴氏杀菌;动力学模型;机制

金黄色葡萄球菌是一种常见的食源性致病菌,能够产生肠毒素并引发食物中毒,严重可导致消费者出现呕吐、腹泻、腹痛等症状[1]。在我国近些年的食源性疾病事件中,由金黄色葡萄球菌引起的食物中毒数量排全国前三,其中肠毒素毒株占95%[2]。牛乳具有很高的营养价值,含有较多的蛋白质、乳糖、钙元素等,可以帮助人体生长发育,具有抗老、增强免疫力的作用[3]。金黄色葡萄球菌可在多种食品中存在,其中在生乳及乳制品中易被检出,检出率高达20%[4]。因此,有效控制牛乳中的金黄色葡萄球菌污染是保障食品安全的重要环节。

近年来,光照作为一种新型的杀菌方式逐渐受到关注,LENA等[5]研究结果显示400~480 nm蓝光属于可见光范围,对牛乳的成分(如糖、蛋白质和脂质)没有显著改变,同时延长了保质期,相较于加热、紫外线等其他杀菌方法,对食品和人体的伤害较小,实际操作也相对简便,环保且能耗低[6]。一些研究发现,405 nm蓝光具有一定的杀菌能力。POUSTY等[7]发现405 nm抗菌蓝光对生物膜有较高的穿透力,在225 J/cm2的光照剂量下可使铜绿假单胞菌显著灭活,最大减少量为(3.85±0.50) lg CFU/mL;SRIMAGAL等[8]在对比405~460 nm蓝光的杀菌效果中发现,405 nm在14 ℃处理38 min后对大肠杆菌有最大的杀菌效果,并且对样品的品质影响最小。实验室前期结果表明,初始金黄色葡萄球菌菌落数为8.12 lg CFU/mL,单独光照30 min(光照剂量为7.2 J/cm2)的菌落数仅比未处理降低1.03 lg CFU/mL,表明单独使用光照剂量为7.2 J/cm2的405 nm蓝光在牛乳中有一定的杀菌效果,但对于工业上牛乳杀菌工艺远没有达到理想要求。与此同时,有研究表明将蓝光与其他杀菌方式联合比单一方式的杀菌效果好。LEE等[9]研究表明在80 J/cm2的光照剂量下,槲皮素和405 nm蓝光联合处理对PBS中的大肠杆菌和单增李斯特菌的灭活对数减少值分别达到6.20和7.55以上,其杀菌效果显著高于单独槲皮素或蓝光处理;LEE等[10]采用405 nm发光二极管(light-emitting diode,LED)和叶酸结合,在胰酪大豆胨液体培养基、低脂牛乳和全脂牛乳不同基质中金黄色葡萄球菌减少量分别为5.56、3.35和3.65 lg CFU/mL。

目前,牛乳加工中常用的杀菌方法是热处理杀菌,包括巴氏杀菌、超巴氏杀菌和超高温杀菌[11]。其中巴氏杀菌是将原料加热至60~100 ℃,并保持此温度一段时间[12],能减少细菌总数的90%~95%,可以最大限度保留生牛乳中的活性物质,但仍然会对牛乳的营养成分和风味造成破坏[13]。实验室前期结果发现,单独75 ℃巴氏杀菌处理10 min的金黄色葡萄球菌的菌落数比未处理(初始菌落数为8.10 lg CFU/mL)降低4.69 lg CFU/mL,单独80 ℃巴氏杀菌处理5 min可以使金黄色葡萄球菌完全灭活,温度越高,时间越长杀菌效果越好,但对于牛乳的风味和营养的损失也越大,因此,以期通过光辅助巴氏杀菌完全灭活牛乳中的金黄色葡萄球菌,降低能耗的同时减少热对牛乳营养的破坏。

动力学模拟是一种研究微生物生长规律的研究方法,它能够定量地描述微生物在不同处理条件下的死亡速率、杀菌曲线等重要参数的变化规律[14-15]。通过建立准确的动力学模型,可以预测在不同光热参数(如温度、作用时间等)下金黄色葡萄球菌的灭活情况,从而为光辅助巴氏杀菌杀菌技术提供理论依据。目前,光照杀菌技术已应用于许多食品中,KIM等[16]认为核黄素和蓝光照射生成ROS是导致提高各种酶活力和降低细菌细胞膜稳定性的主要因素;KIM等[17]认为紫外线使细胞膜的脂质发生氧化,同时欧姆加热加速了细胞膜的损伤,但光辅助巴氏杀菌对于牛乳中金黄色葡萄球菌的杀菌机制研究相对较少。

本研究通过对光辅助巴氏杀菌处理牛乳中的金黄色葡萄球菌建立动力学模型并探究对其的作用机制,为牛乳杀菌技术提供理论支持。

1 材料与方法

1.1 材料

金黄色葡萄球菌(Staphylococcus aureus),河南农业大学食品学院实验室分离培养(编号:ATCC 25923)。

金典纯牛奶购买于河南省郑州市丹尼斯超市,实验均在保质期内完成。(生产厂家:内蒙古伊利实业集团股份有限公司,批号:2024 1215 C4 10∶13∶53 37,保质期6个月)

1.2 试剂与仪器

营养琼脂(nutrient agar,NA)、LB肉汤,北京奥博星生物技术公司;NaCl(分析纯),国药集团化学试剂公司;戊二醛固定液,上海麦克林生化科技公司。

WPL-230BE电热恒温培养箱,上海树立仪器仪表公司;ZQZY-B8振荡培养箱,上海知楚仪器公司;II级A2型生物安全柜,赛默飞世尔(苏州)仪器公司;CF1524R SCILOGEX离心机,上海科雅生物科技公司;AZY-1913102 NanoDrop One,赛默飞世尔科技公司;synergy H酶标仪,北京伯腾仪器有限公司;ECL IPSE尼康显微镜,南京衡桥仪器有限公司;Zetasizer纳米粒度电位仪,马尔文仪器公司。

1.3 实验方法

1.3.1 样品制备

实验前,将菌液从-80 ℃解冻至室温后接种到LB肉汤液体培养基中,并在37 ℃、200 r/min摇床中培养2.5 h,使本研究中所有菌株的起始浓度均约为108 CFU/mL。4 ℃、8 000×g离心10 min去除上清液,将沉淀物用生理盐水按1∶1(g∶mL)洗脱3次,再按1∶1加入本研究的牛乳基质,重悬后得到后续实验的牛乳菌液。

1.3.2 光辅助巴氏杀菌实验

取1.3.1节中的1 mL牛乳菌液转移至培养皿中,然后放入如图1的实验装置中,在光照剂量为7.2 J/cm2的405 nm蓝光照射后,分别放置于温度为55、60、65、70、75、80 ℃的恒温培养箱中进行巴氏杀菌处理,并在5 min与10 min时取样,取样后进行后续处理。

图1 光照实验装置

Fig.1 Light irradiation experimental setup

注:图中外层盒子隔绝外部光源,上方开口可便于散热,内部下方放置蓝光LED灯[波长为405 nm,功率为(40±2) W/m2],在LED灯 上方9 cm处固定铁架,需光照处理的培养皿置于铁架上。

1.3.3 菌落数测定

将1.3.2节中处理后的牛乳菌液,用稀释涂布平板法于37 ℃恒温培养24 h后测定其菌落数,根据食品安全国家标准GB 4789.2—2022《食品微生物学检验 菌落总数测定》统计其菌落数,每组做3个平行。

1.3.4 动力学模型拟合

采用一级动力学模型、Weibull模型、Logistic模型、Boltzmann模型4种模型,来拟合光辅助巴氏杀菌处理对牛乳中金黄色葡萄球菌的杀菌动力学规律。

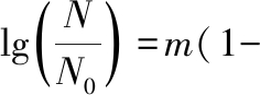
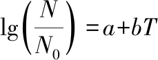
1.3.4.1 一级动力学模型

该模型认为金黄色葡萄球菌减少的对数值与巴氏杀菌处理温度呈线性关系,如公式(1)所示。

(1)

式中:N0,未处理前金黄色葡萄球菌的初始菌落数,CFU/mL;N,杀菌处理后的金黄色葡萄球菌数量,CFU/mL;T,温度变量,℃;a,直线截距,其大小表示金黄色葡萄球菌的初始菌落数与处理后菌落数的差异大小;b,直线斜率,其大小表示金黄色葡萄球菌的灭活速率快慢。

1.3.4.2 Weibull模型

Weibull模型表示数值之间的非线性规律[18-19],可假设金黄色葡萄球菌对耐热性存在差异,如公式(2)所示。

-aT)

(2)

式中:N0,未处理前金黄色葡萄球菌的初始菌落数,CFU/mL;N,杀菌处理后的金黄色葡萄球菌数量CFU/mL;T,温度变量,℃;a,形状参数,当a越大曲线形状越陡峭,表明杀菌速率越大;m,尺度参数,当m越大表明杀菌效果越显著。

1.3.4.3 Logistic模型

Logistic模型是一种非线性拟合模型,如公式(3)所示。

(3)

式中:N0,未处理前金黄色葡萄球菌的初始菌落数,CFU/mL;N,杀菌处理后的金黄色葡萄球菌数量,CFU/mL;T,温度变量,℃;A1,尺度参数,其越大表明杀菌效果越显著;A2pq,形状参数,当A2越大时曲线形状越陡峭,表明杀菌速率越大;当p越大时形状越向上凸;当q越大时向上凸的程度越大。

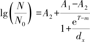
1.3.4.4 Boltzmann模型

Boltzmann模型如公式(4)所示。

(4)

式中:N0,未处理前金黄色葡萄球菌的初始菌落数,CFU/mL;N,杀菌处理后的金黄色葡萄球菌数量,CFU/mL;T,温度变量,K;A1,尺度参数,其越大表明杀菌效果越显著;A2mdx均为形状参数,当A2越大时曲线“S”形状越紧缩,越小时曲线“S”形状越舒展;当m越大时形状越向上凸,m越小时形状越下凹;当dx越大时向上凸程度越大。

1.3.4.5 模型评价

采用AfBf、均方根误差(root mean square error,RMSE)和R2,4个参数评价模型拟合程度。其中,Af值越小表示模型越准确,Bf值越接近于1表示模型的拟合度就越高;R2越接近于1,RMSE越小,模型的拟合度越好[20]AfBf、RMSE的计算如公式(5)~公式(7)所示。

(5)

(6)

(7)

式中:n,试验值个数。

1.3.5 细胞膜通透性测定

先将1.3.1节的牛乳菌液分别做不同处理:未处理、黑暗30 min、光照30 min、75 ℃巴氏杀菌处理10 min、光辅助巴氏杀菌处理(光照30 min后75 ℃巴氏杀菌处理10 min)。然后参照WANG等[21]的方法,并加以改动。预处理:将1 mL处理的牛乳菌液样品(1.3.2节)在4 ℃、2 300×g离心5 min后,分离上清液与下层沉淀,将下层沉淀用生理盐水洗脱3次,可去除牛乳中的脂肪和蛋白,得到干净的菌体与上清液,进行后续机制探究。

参考HYUN等[22]的方法,并加以改动。在菌体中加入生理盐水将其定容至1 mL,混匀后加入1 μL、1 mg/mL的碘化丙啶溶液(propidium iodide,PI)染料,在37 ℃、220 r/min反应30 min后,用生理盐水洗脱3次,最后用生理盐水定容至1 mL,取100 μL到黑色96孔板,每个样品3个平行,在激发波长493 nm、发射波长636 nm下测定荧光强度。

1.3.6 zeta电位及平均粒径的测定

按1.3.5节预处理的方法,取离心后的上清液,使用纳米粒度电位仪测定菌液的zeta电位与平均粒径,每组做3个平行。

1.3.7 扫描电镜观察

按照1.3.5节预处理的方法,将预处理后的菌体里加入1 mL 2.5%戊二醛,在4 ℃冰箱里固定过夜,离心(4 ℃,8 000×g、10 min)去除戊二醛,用生理盐水洗脱3次,再用一系列分级乙醇(20%、50%、80%、100%)脱水,每次静置脱水15 min,然后在4 ℃、8 000×g离心10 min,定容于1 mL无水乙醇中,最后取100 μL菌液涂在平整的锡纸条上,自然干燥后喷金,使用扫描电镜观察细菌形态。

1.3.8 数据处理

采用SPSS 16.0软件单因素方差分析对实验数据进行分析,利用Origin软件作图和模型拟合。

2 结果与分析

2.1 光辅助巴氏杀菌处理对牛乳中金黄色葡萄球菌的影响

如图2所示,初始菌落数为8.12 lg CFU/mL。光照30 min后分别与55~75 ℃之间的梯度温度联合巴氏杀菌5 min,菌落数均在一个数量级,与初始菌落数相比仅降低了0.54~0.70 lg CFU/mL,说明光照30 min后55、60、65、70、75 ℃巴氏杀菌处理5 min对金黄色葡萄球菌灭活影响不大。光照30 min后80 ℃处理5 min直接使金黄色葡萄球菌灭活。

图2 光辅助巴氏杀菌处理牛乳中金黄色葡萄球菌的杀菌曲线

Fig.2 Inactivation curve of Staphylococcus aureus in milk treated with light-assisted pasteurization

注:同一指标不同小写字母表示差异显著(P<0.05)(下同)。

当光照后进行10 min巴氏杀菌处理时,55 ℃的菌落数为7.33 lg CFU/mL、60 ℃时为6.77 lg CFU/mL、65 ℃时为5.79 lg CFU/mL,菌落数逐渐减少,对金黄色葡萄球菌灭活有显著影响。70 ℃巴氏杀菌处理10 min的菌落数比原始菌落数降低了6.72 lg CFU/mL,而75 ℃巴氏杀菌处理10 min后菌落数直接减少至0。

光照30 min后,75 ℃巴氏杀菌处理10 min,以及80 ℃巴氏杀菌处理5 min和10 min,均使牛乳中的金黄色葡萄球菌直接灭活。杨珊珊等[23]发现,80 ℃巴氏杀菌处理30 s以上就会对牛乳品质有一定影响,因此本实验中光照30 min后75 ℃巴氏杀菌处理10 min为最佳的杀菌条件。

2.2 光辅助巴氏杀菌处理杀菌效果动力学模型分析

为了更好地分析光辅助巴氏杀菌处理牛乳中金黄色葡萄球菌的杀菌动力学规律,本实验中采用了一级动力学模型、Weibull模型、Logistic模型和Boltzmann模型这4种模型对杀菌曲线进行了拟合,拟合图见图3,拟合参数见表1。

表1 金黄色葡萄球菌杀菌效果的4种动力学模型参数

Table 1 Parameters of four kinetic models for the inactivation effects of S. aureus

模型参数巴氏杀菌处理时间/min510一级动力学模型a0.015 02.522 8b-7.174E-4-0.044 5R20.648 90.717 1Weibull模型m0.031 86.2793E10a-0.015 8-0.298 8R20.628 20.990 0Logistic模型A143.357 1-0.075 7A2-0.036 1-0.762 9p13.589 4 67.799 9q30.665 767.081 6R20.819 20.993 3Boltzmann模型A1/-0.075 5A2/-0.779 5m/340.081 6dx/0.915 5R2/0.996 7

a-一级动力学模型;b-Weibull模型;c-Logistic模型;d-Boltzmann模型

图3 光辅助巴氏杀菌处理牛乳中金黄色葡萄球菌的4种杀菌动力学模型拟合图

Fig.3 Fitting diagrams of four inactivation kinetic models for S. aureus in milk treated with light-assisted pasteurization

决定系数R2可用来综合评价模型的拟合效果,R2越接近于1表明拟合效果越好。光照30 min后75 ℃巴氏杀菌处理5 min时,Boltzmann模型无法对其处理后的金黄色葡萄球菌进行拟合,故对其余3种模型分析。此时,一级动力学模型的决定系数R2为0.648 9,Weibull模型的决定系数R2为0.628 2,Logistic模型的决定系数R2为0.819 2,3个模型的拟合度均较差,因此这3个模型不能有效地拟合光照30 min后巴氏杀菌处理5 min牛乳中金黄色葡萄球菌的致死规律。

光照30 min后75 ℃巴氏杀菌处理10 min时,一级动力学模型的决定系数R2是0.717 1,拟合度较差,因此一级动力学模型不能较好地模拟光辅助巴氏杀菌处理牛乳中金黄色葡萄球菌的致死规律。Weibull模型的决定系数R2为0.990 0,Logistic模型的决定系数R2为0.993 3,Boltzmann模型的决定系数R2为0.996 7,这3个模型的决定系数R2均接近于1,拟合度较好。因此通过本研究的模型分析,光辅助巴氏杀菌处理(光照30 min后75 ℃巴氏杀菌处理10 min)牛乳中金黄色葡萄球菌的杀菌动力学规律更符合非线性模型,并且Boltzmann模型比一级动力学模型、Logistic模型和Weibull模型能更好的拟合杀菌过程。由表1可知,Weibull模型中的参数m在10 min时值为6.2793E10,小于在5 min时的值,表明巴氏杀菌处理10 min时的杀菌效果更显著,这与2.1节中的结果一致,为后面机制研究选用光照后巴氏杀菌处理10 min提供依据。

2.3 模型拟合度评价分析

为了进一步比较Weibull模型、Logistic模型和Boltzmann模型的拟合效果,将同一模型不同处理条件下的所有实测值作为横坐标,模型拟合后相应的预测值作为纵坐标,进行线性回归分析。如图4所示,Weibull模型比Logistic模型和Boltzmann模型的斜率更接近于1,而Logistic模型比Weibull模型和Boltzmann模型的R2更大。因此为了更好地比较3种非线性模型在光辅助巴氏杀菌处理条件下的拟合情况,对AfBfR2和RMSE进行分析。由表2可知,Weibull模型的RMSE为0.023 0,Logistic模型的RMSE为0.017 2,Boltzmann模型的RMSE为0.019 6,比较后发现Logistic模型更小,这显示Logistic模型的拟合度好一些;Logistic模型比Weibull模型和Boltzmann模型的Af更小,并且Logistic模型比Weibull模型和Boltzmann模型的Bf和更接近于1,表示Logistic模型的拟合精确度更高。Logistic模型和Boltzmann模型的R2非常接近,因此综合上述4个评价参数后,得出的结论是Logistic模型的拟合度更高一些。

表2 数学模型评价参数

Table 2 Evaluation parameters of mathematical models

模型拟合方程RMSEAfBfR2Weibull模型Y=1.008 2x+0.007 20.023 01.413 30.787 90.993 3Logistic模型Y=0.944 4x-0.006 70.017 21.110 01.055 00.997 7Boltzmann模型Y=0.967 4x-0.011 20.019 61.170 71.117 60.997 7

a-Weibull模型;b-Logistic模型;c-Boltzmann模型

图4 不同模型实测值与预测值线性回归分析

Fig.4 Linear regression analysis of measured values versus predicted values for different models

2.4 细胞通透性测定

PI荧光染料可以穿过膜受损的死细菌或受伤细菌,从而染上红色荧光,再利用荧光显微镜的观察可看到细菌染色情况,见图5;通过测定PI摄取量,可得知菌体的膜受损情况,见图6。

a-未处理组;b-黑暗处理30 min组;c-光照30 min组;d-75 ℃巴氏杀菌处理10 min组;e-光辅助巴氏杀菌组(光照30 min后75 ℃巴氏杀菌处理10 min)

图5 荧光显微图

Fig.5 Fluorescence microscopy images

图6 不同处理对金黄色葡萄球菌的PI摄取量影响

Fig.6 Effects of different treatments on PI uptake by S. aureus

注:ck-未处理组;D30-黑暗处理30 min组;L30-光照30 min组;75-10-75 ℃巴氏杀菌处理10 min组;L30+75-10-光辅助巴氏杀 菌组(光照30 min后75 ℃巴氏杀菌处理10 min)(下同)。

由图6可知,未处理组细菌的PI摄取量为84.67,光照处理30 min的PI摄取量大幅增加为315,是未处理组的3.7倍,这说明光照30 min后细菌的细胞膜受损。刘卿妍[24]研究发现光照破坏了细胞膜完整性和酯酶活性,这验证了本实验光照处理30 min的结果。75 ℃巴氏杀菌处理10 min后的PI摄取量为512,比光照的PI摄取量显著增加了62.54%,同时观察到图5-c~图5-d,红色荧光细胞比例增加,说明细胞膜受损,受损细胞增多,巴氏杀菌处理比光照更能使细胞膜的通透率提高。光辅助巴氏杀菌处理(光照30 min后75 ℃巴氏杀菌处理10 min)的PI值为697,比单独光处理增加了121.30%,比单独热处理增加了36.13%,且图5-e显示红色荧光细胞的密度最大,说明联合方法处理比单一处理对菌体细胞膜损伤的影响更大。CHO等[25]的研究表明,超声波辅助脉冲加热处理与每种条件单独处理相比,对细菌产生了协同作用,导致细菌灭活,这与本研究中光辅助巴氏杀菌的结果一致。

2.5 zeta电位及平均粒径的测定

由图7可知,黑暗条件处理30 min(zeta电位绝对值为6.68 mV)低于未处理(zeta电位绝对值为6.958 mV)但没有显著性差异,可能是细菌在牛乳中聚集,导致电荷减少,zeta电位绝对值减小。光照30 min(zeta电位绝对值为7.18 mV)比黑暗30 min处理的zeta电位绝对值大,是因为光照30 min使细胞受损,内容物泄露,携带的电荷增多,导致zeta电位绝对值变大。75 ℃巴氏杀菌处理10 min与光照30 min相比有显著性差异,且75 ℃巴氏杀菌处理10 min 的zeta电位绝对值更大,可能是75 ℃巴氏杀菌处理10 min后有更多的细胞受损,巴氏杀菌处理中细菌的损伤比光照处理更严重。光照30 min后75 ℃巴氏杀菌处理10 min的zeta电位绝对值为8.67 mV,显著高于其他处理的zeta电位绝对值,是因为光照和巴氏杀菌处理的协同作用,更大程度地使细胞膜受损,释放出来的小分子物质增多,随之产生的正负电荷也增多,因此zeta电位绝对值变大。

图7 不同处理条件下的zeta电位绝对值

Fig.7 Absolute values of zeta potential under different treatment conditions

由图8可知,未处理组的粒径为317 nm,黑暗处理30 min的粒径为331 nm,黑暗处理后粒径变大,是因为黑暗处理30 min时细菌在牛乳中为了争夺养分,聚集成团,从而导致粒径变大。光照30 min的粒径测定值(326 nm)与黑暗30 min相比,光照处理比黑暗处理低,并且差异显著,这可能是细菌经光照后细胞发生皱缩或者细胞膜受损,使细胞中的小部分物质损失或释放出来,因此细胞变小。李雅莉[26]认为光照使ROS的总数量增多,菌体受到了游离氧的胁迫,对生物膜产生破坏,这可以论证本研究的上述现象。75 ℃巴氏杀菌处理10 min(320 nm)和光照30 min(326 nm)对比,两者的粒径测定值没有显著性差异,但75 ℃巴氏杀菌处理10 min的值更小,是由于巴氏杀菌处理使细胞的受损程度更大,更多的小分子物质泄露出来,细胞碎片变多,导致粒径测定值变小。图8可知光照30 min后75 ℃巴氏杀菌处理10 min的粒径最小,表明光可以辅助巴氏杀菌对细胞造成严重损伤,使大量细胞受损,细菌粒径变得更小,这与zeta电位绝对值的变化(图7)相对应。

图8 不同处理条件下的平均粒径测定值

Fig.8 Average particle size measurement values under different treatment conditions

2.6 金黄色葡萄球菌微观结构观察

为了探究光辅助巴氏杀菌处理对牛乳中金黄色葡萄球菌形态结构的破坏情况,通过扫描电镜对金黄色葡萄球菌的微观结构进行观察,如图9所示。未处理的菌体表面光滑,呈椭圆形,表现出正常的细胞形态(图9-a)。黑暗30 min处理的菌体外轮廓清晰,但个别菌体表面凹陷,可能由于菌体在牛乳中竞争性生长造成的(图9-b)。光照30 min处理后,部分细胞中部凹陷、边缘破裂(图9-c),整体观察可知黑暗30 min和光照30 min对细胞形态的影响较小,仍有较多细胞较为完整。而75 ℃巴氏杀菌处理10 min和光照30 min后75 ℃巴氏杀菌处理10 min处理均使菌体结构有不同程度的破坏,细胞已有明显的形态变化(图9-d、图9-e)。75 ℃单独热处理后细胞发生变形,细胞表面皱缩不光滑,且多数表面有凹陷,部分细胞内容物渗出。光照30 min后75 ℃巴氏杀菌处理10 min,使金黄色葡萄球菌表面有明显损伤,形态发生严重变形,细胞结构已经不完整,并伴有胞质内容物外泄及细胞间异常黏附。结果表明光辅助巴氏杀菌处理对金黄色葡萄球菌的细胞膜及细胞质造成伤害,光照与巴氏杀菌处理协同作用加剧了细菌细胞的裂解,这与2.4节中细胞膜通透性的PI测定结果对应。

a-未处理组;b-黑暗处理30 min组;c-光照30 min组;d-75 ℃巴氏杀菌处理10 min组;e-光辅助巴氏杀菌组(光照30 min后75 ℃巴氏杀菌处理10 min)

图9 光辅助巴氏杀菌处理对牛乳中金黄色葡萄球菌形态变化的影响

Fig.9 Effect of light assisted pasteurization treatment on the morphological changes of S. aureus in milk

3 讨论与结论

Logistic模型和Boltzmann模型能够有效拟合金黄色葡萄球菌的灭活规律。动力学模型拟合结果表明,本研究中光辅助巴氏杀菌(光照30 min后75 ℃巴氏杀菌处理10 min)处理后的金黄色葡萄球菌灭活规律符合非线性模型,Weibull模型、Logistic模型和Boltzmann模型R2都达到了0.99,说明这3种模型都能较好的拟合曲线。其中,Logistic模型的R2为0.993 3,Boltzmann模型的R2为0.996 7,Boltzmann模型的拟合略优于Logistic模型。而对于这2种模型的4个评价参数(RMSE、AfBfR2)均是Logistic模型略优于Boltzmann模型,因此Logistic模型和Boltzmann模型均能够有效地拟合光辅助巴氏杀菌处理对牛乳中金黄色葡萄球菌的灭活规律。

光辅助巴氏杀菌处理通过破坏细胞膜的完整性使金黄色葡萄球菌灭活,其对菌的影响大于单一处理。PI红色荧光染料可进入细胞膜受损的细胞中,可间接说明不同处理对细胞膜的损伤程度。通过PI染料对细胞染色的结果显示,光辅助巴氏杀菌处理(光照30 min后75 ℃巴氏杀菌处理10 min)对金黄色葡萄球菌的损害效果最大,PI摄取量最大,红色荧光细胞密度最大,热处理次之,比单独光处理时大幅增加了121.30%,与单独使用热处理相比,也提升了36.13%。

通过测定zeta电位绝对值和细菌平均粒径,可反映细菌细胞膜的完整性及小分子物质的泄漏情况。结果表明,光照30 min可对细胞膜造成损伤,巴氏杀菌处理(75 ℃巴氏杀菌处理10 min)可能加剧了细菌细胞膜的受损并释放出小分子物质。光辅助巴氏杀菌处理后,zeta电位绝对值和平均粒径均有显著变化,是因为2种方式的协同作用导致细胞膜严重受损,细胞形态改变。

电镜扫描可观察到金黄色葡萄球菌的细菌形态。观察可知,黑暗30 min时细菌细胞膜较为完整光滑且有聚集现象;光照30 min后部分细胞中部凹陷、边缘破裂;巴氏杀菌处理(75 ℃巴氏杀菌处理10 min)对细胞形态有影响,细菌表面皱缩,较多细胞膜受损;光照30 min后75 ℃巴氏杀菌处理10 min处理后对细菌有严重影响,表现出大量细菌细胞膜破裂,细胞内容物外泄,细胞间异常黏附。这些现象与PI染色、zeta电位绝对值和细菌平均粒径的测定结果相符合。

因此,光辅助巴氏杀菌是通过对金黄色葡萄球菌的细胞膜造成损伤,从而导致细菌失活。

本研究通过对光辅助巴氏杀菌处理牛乳中的金黄色葡萄球菌进行动力学模型分析和杀菌机制探究。结果表明:采用光照剂量为7.2 J/cm2的405 nm蓝光照射牛乳后,再对牛乳中的金黄色葡萄球菌进行巴氏杀菌处理,构建其动力学模型,表明该菌失活过程符合非线性规律,并且Logistic模型和Boltzmann模型的决定系数R2分别是0.993 3和0.996 7,表现出较高的拟合度,这两种模型都能较好地模拟金黄色葡萄球菌的失活过程。机制结果表明,巴氏杀菌和光辅助巴氏杀菌都对细菌细胞膜造成了较严重破坏,其中光辅助巴氏杀菌处理比单独处理的杀菌效果好,且巴氏杀菌比光照对细菌的影响更大。经过光辅助巴氏杀菌处理后,金黄色葡萄球菌的细胞膜结构遭到严重破坏,其通透性显著增大,小分子物质泄露。本研究揭示了光辅助巴氏杀菌处理对金黄色葡萄球菌的杀菌规律与作用机制,为牛乳的杀菌技术提供理论依据。

参考文献

[1] 安刚. 食品中金黄色葡萄球菌肠毒素研究进展[J].食品安全导刊, 2024(33):141-143.AN G.Research progress on staphylococcal enterotoxins in food[J].China Food Safety Magazine, 2024(33):141-143.

[2] 刘婷婷, 崔春霞, 宋壮志, 等.2010—2020年中国大陆金黄色葡萄球菌及其肠毒素引起的食源性疾病暴发事件归因分析[J].中国食品卫生杂志, 2022, 34(5):1029-1034.LIU T T, CUI C X, SONG Z Z, et al.Attribution analysis of foodborne disease outbreaks caused by Staphylococcus aureus and its enterotoxin in China’s Mainland from 2010 to 2020[J].Chinese Journal of Food Hygiene, 2022, 34(5):1029-1034.

[3] 李艳肖. 近红外光谱快速检测牛乳品质的研究[D].镇江:江苏大学, 2007.LI Y X.Rapid detection of milk quality by near-infrared spectroscopy[D].Zhenjiang:Jiangsu University, 2007.

[4] 刘保光, 谢苗, 董颖, 等.金黄色葡萄球菌研究现状[J].动物医学进展, 2021, 42(4):128-130.LIU B G, XIE M, DONG Y, et al.Research status of Staphylococcus aureus[J].Progress in Veterinary Medicine, 2021, 42(4):128-130.

[5] LENA A, MARINO M, MANZANO M, et al.An overview of the application of blue light-emitting diodes as a non-thermic green technology for microbial inactivation in the food sector[J].Food Engineering Reviews, 2024, 16(1):59-84.

[6] HYUN J E, LEE S Y.Blue light-emitting diodes as eco-friendly non-thermal technology in food preservation[J].Trends in Food Science &Technology, 2020, 105:284-295.

[7] POUSTY D, MA B, MATHEWS C, et al.Biofilm inactivation using LED systems emitting germicidal UV and antimicrobial blue light[J].Water Research, 2024, 267:122449.

[8] SRIMAGAL A, RAMESH T, SAHU J K.Effect of light emitting diode treatment on inactivation of Escherichia coli in milk[J].LWT-Food Science and Technology, 2016, 71:378-385.

[9] LEE I H, KIM S H, KANG D H.Quercetin mediated antimicrobial photodynamic treatment using blue light on Escherichia coli O157:H7 and Listeria monocytogenes[J].Current Research in Food Science, 2023, 6:100428.

[10] LEE J I, KIM S S, KANG D H.Characteristics of Staphylococcus aureus biofilm matured in tryptic soy broth, low-fat milk, or whole milk samples along with inactivation by 405 nm light combined with folic acid[J].Food Microbiology, 2023, 116:104350.

[11] ZHAO X X, GUO Y P, ZHANG Y M, et al.Effects of different heat treatments on Maillard reaction products and volatile substances of camel milk[J].Frontiers in Nutrition, 2023, 10:1072261.

[12] WANG M S, WANG L H, BEKHIT A E A, et al.A review of sublethal effects of pulsed electric field on cells in food processing[J].Journal of Food Engineering, 2018, 223:32-41.

[13] MAAS P, PAGN R.Microbial inactivation by new technologies of food preservation[J].Journal of Applied Microbiology, 2005, 98(6):1387-1399.

[14] 迟媛, 弓敏, 马艳秋, 等.超声协同次氯酸钠杀灭腐败菌效果与动力学研究[J].农业机械学报, 2020, 51(7):372-381.CHI Y, GONG M, MA Y Q, et al.Bactericidal effect of three typical strains by ultrasonic combined with sodium hypochlorite[J].Transactions of the Chinese Society for Agricultural Machinery, 2020, 51(7):372-381.

[15] 张雅琪, 迟玉杰, 迟媛.超声协同蒸汽处理对壳鸡蛋表面大肠杆菌的杀菌机理及动力学分析[J].食品科学, 2024, 45(4):26-34.ZHANG Y Q, CHI Y J, CHI Y.Mechanism and kinetic analysis of sterilization of Escherichia coli on shell eggs by ultrasound-assisted steam treatment[J].Food Science, 2024, 45(4):26-34.

[16] KIM D K, SHIN M, KIM H S, et al.Inactivation efficacy of combination treatment of blue light-emitting diodes (LEDs) and riboflavin to control E.coli O157:H7 and S.Typhimurium in apple juice[J].Innovative Food Science &Emerging Technologies, 2022, 78:103014.

[17] KIM S S, PARK S H, KIM S H, et al.Synergistic effect of ohmic heating and UV-C irradiation for inactivation of Escherichia coli O157:H7, Salmonella Typhimurium and Listeria monocytogenes in buffered peptone water and tomato juice[J].Food Control, 2019, 102:69-75.

[18] 武思睿. 超声、热和Nisin协同处理对枯草杆菌芽孢灭活作用及其在果蔬汁杀菌中的应用[D].银川:宁夏大学, 2023.WU S R.Study on inactivation of Bacillus subtilis spores by ultrasound, heat and nisin combined treatment and its application in fruit and vegetable juice sterilization[D].Yinchuan:Ningxia University, 2023.

[19] 尹毅豪, 孙守清云, 郭超凡, 等.射频结合热水浴对接种大肠杆菌酸木瓜的杀菌动力学[J].中国食品学报, 2024, 24(12):267-276.YIN Y H, SUN S Q Y, GUO C F, et al.Study of inactivation kinetics of radio frequency combined hot water bath on Chaenomeles sinensis inoculated with Escherichia coli[J].Journal of Chinese Institute of Food Science and Technology, 2024, 24(12):267-276.

[20] 张晓千. 脉冲强光杀菌效果与机理及其在蓝莓汁中的应用[D].上海:上海海洋大学, 2024.ZHANG X Q.Study on the sterilization effect and mechanism of pulsed light and its application in blueberry juice[D].Shanghai:Shanghai Ocean University, 2024.

[21] WANG X D, YU J Q, WU H X, et al.Photon-phonon coupling cold sterilization technology for milk preservation[J].Food Control, 2024, 157:110169.

[22] HYUN J E, LEE S Y.Antibacterial effect and mechanisms of action of 460-470 nm light-emitting diode against Listeria monocytogenes and Pseudomonas fluorescens on the surface of packaged sliced cheese[J].Food Microbiology, 2020, 86:103314.

[23] 杨姗姗, 丁瑞雪, 史海粟, 等.热处理条件对巴氏杀菌乳风味品质的影响[J].食品科学, 2020, 41(24):131-136.YANG S S, DING R X, SHI H S, et al.Effects of different heat treatment conditions on the flavor of pasteurized milk[J].Food Science, 2020, 41(24):131-136.

[24] 刘卿妍. 三文鱼贮存过程中金黄色葡萄球菌生长预测模型的构建及光动力杀菌技术研究[D].长春:吉林大学, 2022.LIU Q Y.Construction of growth prediction model for Staphylococcus aureus during salmon storage and study on photodynamic sterilization technology[D].Changchun:Jilin University, 2022.

[25] CHO E R, KANG D H.Development and investigation of ultrasound-assisted pulsed ohmic heating for inactivation of foodborne pathogens in milk with different fat content[J].Food Research International, 2024, 179:113978.

[26] 李雅莉. 光动力处理对食源性金黄色葡萄球菌的抑制效应及机理研究[D].合肥:合肥工业大学, 2021.LI Y L.Study on the inhibitory effect and mechanism of photodynamic treatment on foodborne Staphylococcus aureus[D].Hefei:Hefei University of Technology, 2021.

Mechanism and kinetic analysis of light-assisted pasteurization treatment on Staphylococcus aureus in milk

LU Shuyu1,2,HUANG Xianqing1,2,ZHAO Mengyu1,DU Hang3,HEI Junxiao1,2,HAI Dan1,2,SONG Lianjun1,2,SHEN Yue1,2*

1(School of Food Science and Technology, Henan Agricultural University, Zhengzhou 450002, China)2(The Engineering Technology Research Center for Food Processing and Circulation Safety Control of Henan Province, Zhengzhou 450002, China)3(Banu Maodu Hot Pot Co.Ltd., Xinxiang 453500, China)

ABSTRACT Staphylococcus aureus is a common pathogenic bacterium in milk and one of the main causes of foodborne poisoning.Its contamination seriously affects milk quality and human health, so it is of great significance to optimize milk pasteurization processes continuously.This study used 405 nm blue light with a light dose of 7.2 J/cm2 assisted pasteurization temperatures (55-80 ℃) and durations (5 min, 10 min) to inactivate Staphylococcus aureus in milk.First-order kinetics, Weibull, Logistic, and Boltzmann models were applied to characterize the light-assisted pasteurization kinetics.Membrane permeability, absolute zeta potential, and particle size were measured, and electron microscopy observed microstructural changes to explore the mechanism of light-assisted pasteurization treatment.The results showed that exposure to blue light for 30 minutes, followed by heating at 75 ℃ for 10 minutes, can completely inactivate Staphylococcus aureus at a concentration of 8.12 lg CFU/mL in milk.Both the Logistic and Boltzmann models fit the light-assisted pasteurization patterns well, with R2 values of 0.9933 and 0.9967, respectively.Light-assisted pasteurization treatment increased membrane permeability, caused cellular morphology changes, and led to cytoplasmic leakage, resulting in bacterial inactivation.This study provides new references for light-assisted pasteurization methods in milk and offers a theoretical basis for dairy enterprises to determine optimal light-assisted pasteurization conditions.

Key words Staphylococcus aureus;milk;405 nm blue light;light-assisted pasteurization;kinetic model;mechanism

DOI:10.13995/j.cnki.11-1802/ts.043483

引用格式:芦姝羽,黄现青,赵梦雨,等.光辅助巴氏杀菌对牛乳中金黄色葡萄球菌的杀菌机制及动力学分析[J].食品与发酵工业,2025,51(21):167-175.LU Shuyu,HUANG Xianqing,ZHAO Mengyu, et al.Mechanism and kinetic analysis of light-assisted pasteurization treatment on Staphylococcus aureus in milk[J].Food and Fermentation Industries,2025,51(21):167-175.

第一作者:硕士研究生(沈玥讲师为通信作者,E-mail:yueshen@henau.edu.cn)

基金项目:河南省研究生联合培养基地项目(YJS2022JD16);河南省高校科技创新团队项目(23IRTSTHN023);河南省科技副总项目(HNFZ20240328)

收稿日期:2025-06-04,改回日期:2025-07-01