糙米重组米的工艺优化及性能研究

潘晓雪1,赵勇1,2,3*,徐静雯1*

1(上海海洋大学 食品学院,上海,201306)2(农业部水产品贮藏保鲜质量安全风险评估实验室(上海),上海,201306)3(上海市水产品加工与保鲜工程技术研究中心,上海,203106)

摘 要 以粳米粉和米糠作为原料,采用单因素和响应面试验,以重组米预估血糖生成指数(expected glycemic index, eGI)为目标参数,研究挤压工艺参数对重组米品质的影响。结果表明,在米糠添加量为15%、水分含量为28%、挤压温度为71 ℃、螺杆转速为156 r/min,在此条件下挤压制备的重组米的eGI为55.13±1.46,具有调控血糖的潜力。与天然糙米相比,重组米的结晶度、糊化特性、蒸煮时间、硬度、黏附性、胶黏性、咀嚼性和回复性均下降,而吸水率、体积膨胀率、蒸煮损失率、弹性及内聚性均提升。重组米消化特性表明快消化淀粉含量降低,而慢消化淀粉和抗性淀粉含量增加。此外,重组米风味分析显示醛类、酮类的含量比天然糙米高,使其风味更香浓持久。综上所述,优化工艺制备的重组米不仅具有低GI特性,还改善了蒸煮性能和质构特性。该研究为低GI米糠重组米的开发提供了理论依据和技术支持。

关键词 挤压;重组米;米糠;理化性质;预估血糖生成指数

近年来,随着经济的迅速发展和生活水平的不断提升,居民膳食结构发生显著变化,消费者对精制碳水化合物的摄入量逐年增加。然而,长期摄入具有高血糖生成指数(glycemimc index, GI)的精制碳水化合物容易导致肥胖、糖尿病和心血管疾病等慢性病的发生[1]。富含多种营养且具有调节血糖、减少心血管疾病风险等功效的全谷物逐渐走入人们的视野[2]。米糠作为稻谷加工过程中的主要副产物(约占稻谷总质量的5%~8%),通常被加工为动物饲料,其利用率不足20%[3]。米糠含有丰富的膳食纤维、矿物质等营养,且具有调控血糖、血脂等降低慢性疾病风险的益处[4]。将米糠添加至米粉制备重组米还能调控重组米的质构特性和蒸煮性能,同时赋予其独特的风味。

近年来,通过挤压膨化技术生产的低GI重组米,其颜色、口感与精制大米相似,且其营养价值可优于精制大米。重组米的制备工艺主要包括原料粉碎混合、挤压膨化及切粒等。其中,挤压膨化的参数(螺杆转速、挤压温度和物料水分等)对重组米的品质具有重要影响。目前,重组米的种类主要分为杂粮型、营养强化型和功能型。其中,杂粮型重组米因其低GI值和健康效用受到广泛关注。代娇等[5]将膳食纤维、青稞、藜麦、鹰嘴豆和红芸豆加入到玉米粉中制备杂粮混合粉,通过双螺杆挤压膨化技术生产低GI(48.6)杂粮型高膳食纤维重组米产品。张鑫等[6]将青稞、藜麦和燕麦与普通籼米粉混合制备挤压重组米,发现该产品的GI值<55,属于低GI食物。邓慧清等[7]将燕麦麸皮、鹰嘴豆、荞麦、藜麦和青稞添加到籼米中生产挤压杂粮型重组米,发现添加燕麦麸皮的重组米GI值为66.63,属于中GI食物。米糠富含膳食纤维,具有改善食品营养、品质和健康功效的潜力,但其在挤压重组米中的应用、对重组米品质、GI等的影响尚未充分揭示。因此,本研究将米糠添加到普通米粉中制备挤压重组米,通过单因素结合响应面优化的方法对糙米重组米的制备工艺(米糠添加量、水分含量、螺杆转速和挤压温度)进行优化,通过X-射线衍射(X-raydiffraction, XRD)对重组米的结晶结构进行表征。此外,还测定了挤压重组米的品质特性,包括蒸煮损失、质构特性、消化特性及风味等。旨在开发出低GI且品质良好的全谷物食品,为米糠的加工利用提供新的途径。

1 材料与方法

1.1 材料与试剂

天然糙米,五常市兴旺米业有限公司;米糠、粳米,金龙鱼粮油食品股份有限公司;HCl、NaOH、KCl、KBr、NaCl、醋酸钠、KH2PO4、K2HPO4·12H2O,上海源叶生物科技有限公司;瓜尔胶、胃蛋白酶、α-淀粉酶溶液、葡萄糖淀粉酶、胰酶、葡萄糖测定试剂盒,上海泰坦科技有限公司。

1.2 仪器与设备

CTE-35双螺杆挤压机,科倍隆(南京)机械有限公司;BS423S-CW天平(万分之一),德国Sartorius仪器公司;HunterLab色差仪,上海信联创作电子有限公司;X’Pert PROX射线衍射仪,荷兰PANalytical公司;RVA-S4快速黏度分析仪(rapid visco analyser, RVA),波通瑞华科学仪器(北京)有限公司;DHG-9203A电热鼓风干燥箱,上海慧泰仪器制造有限公司;FLUOstar omega滤光片型多功能酶标仪,德国BMG LABTECH公司;TRACE 1610气相色谱质谱联用仪,美国Thermo Fisher Scientific公司。

1.3 实验方法

1.3.1 重组米的制备

采用双螺杆挤压机制备重组米。将米粉与米糠粉混合,通过双螺杆挤压机进行挤压造粒,制得重组米于室温下冷却,再于40 ℃烘箱干燥4 h,冷却后密封包装。以预估血糖生成指数(expected glycemic index, eGI)为指标,选取米糠添加量、水分含量、挤压温度和螺杆转速进行单因素试验。

1.3.2 单因素试验

在米糠添加量为10%(质量分数,下同)、水分含量为30%(质量分数,下同)、挤压温度为80 ℃、螺杆转速为160 r/min的基础上进行单因素试验,考察米糠添加量、水分含量、挤压温度和螺杆转速对重组米eGI的影响。

1.3.3 响应面试验

根据单因素试验结果,选择米糠添加量(A)、水分含量(B)、挤压温度(C)、螺杆转速(D)作为自变量,分别选取3个水平,以eGI为响应值设计响应面试验,因素水平表如表1所示。

表1 响应面试验因素水平表

Table 1 Response surface experimental factor level table

水平因素A(米糠添加量)/%B(水分含量)/%C(挤压温度)/℃D(螺杆转速)/(r/min)-15287014001030801601153290180

1.3.4 eGI测定

参考GE等[8]的方法并略有改动:称取0.5 g样品,置于洁净的锥形瓶中,向瓶中加入20 mL的磷酸盐缓冲溶液(pH=7.5),用1 mol/L HCl将pH值调至1.5后,再向瓶中加入0.4 mL的胃蛋白酶溶液(115 U/mL),将其放入恒温振荡水浴锅中,在37 ℃的条件下反应30 min;反应结束后用1 mol/L NaOH溶液将pH值调至6.9,加入2 mL的猪胰腺-淀粉酶溶液(110 U/mL),接着用磷酸盐缓冲溶液(pH=6.9)将其定容至50 mL。然后放入恒温振荡水浴锅中,继续在37 ℃的条件下反应180 min。反应过程中,每30 min迅速取1 mL等分试样,沸水灭酶5 min,冷却至室温。待全部取样结束,再加入3 mL醋酸钠缓冲液(pH=4.75)以及50 mL的葡萄糖淀粉酶(110 U/mL)溶液;之后将样品转移至55 ℃的恒温振荡水浴锅反应45 min。沸水灭酶5 min;冷却至室温后离心(3 000 r/min, 3min),用GOPOD法来测定上清液中的葡萄糖含量。以白面包为标准参考物,样品的淀粉水解率、水解指数(hydrolysis index, HI)和eGI的计算如公式(1)~公式(3)所示。

淀粉水解率

(1)

(2)

eGI=39.71+0.549HI

(3)

1.3.5 XRD

利用XRD对样品的结晶度进行分析。测定参数为:射线源Cu靶衍射的扫描区域范围4°~40°,目标电压40 kV,电流40 mA,扫描速度2°/min。衍射图样使用MDI Jade 6.5软件进行处理,以分析晶体类型,并计算相对结晶度。

1.3.6 糊化特性

参考标准GB/T 24853—2010《小麦、黑麦及其粉类和淀粉糊化特性测定 快速粘度仪法》,使用RVA测定样品的糊化特性。称取合适质量的样品粉末(3.5 g,15%湿基校准),加水量25 mL,上下搅拌10 s后开始测试。整个测试时间持续13 min。根据获得的糊化黏度变化曲线,即可确定样品的峰值黏度、谷值黏度、最终黏度、崩解值、回生值和出峰时间等指标。

1.3.7 蒸煮特性的测定

将质量比为1∶10的米水比对重组米和天然糙米蒸煮,观察其米粒成型性。参考WU等[9]的方法测定重组米和天然糙米的蒸煮特性。

1.3.7.1 熟化时间

蒸煮过程中,在特定时间段迅速取出米粒,置于2片洁净玻璃板之间,持续操作至米粒无不透明核或无硬芯,对应的时间即为熟化时间。

1.3.7.2 吸水率的测定

将熟化后的米粒取出用滤纸吸干水分后称量。米粒吸水率的计算如公式(4)所示。

(4)

式中:m0,样品蒸煮前质量,g;mi,样品蒸煮后质量,g。

1.3.7.3 体积膨胀率测定

将熟化的米粒取出并用滤纸吸干水分,再用量筒测定同份样品蒸煮前、后的体积。体积膨胀率计算如公式(5)所示。

(5)

式中:V0,样品蒸煮前的体积,cm3;Vi,样品蒸煮后的体积,cm3

1.3.7.4 蒸煮损失率测定

熟化后将米汤倒入已称重的铝盒中,在105 ℃烘箱干燥至恒重,蒸煮损失率计算如公式(6)所示。

(6)

式中:W0,原料米质量,g;Si,米汤中固形物质量,g。

1.3.8 质构特性

参考YANG等[10]的方法并略作改动:取蒸煮好的样品米中间层米饭3粒,放射状摆放。在质构仪TPA模式下,选取P/36R探头。2次压缩间隔5.00 s;触发力5.0 g,压缩深度50%。

1.3.9 消化特性的测定

1.3.9.1 eGI测定

同1.2.4节。

1.3.9.2 体外消化性测定

称取0.5 g蒸好的样品置于消化杯,取10 mL胃蛋白酶-瓜尔豆胶溶液加入反应杯中,摇匀,在37 ℃水浴反应30 min。反应结束后,加入10 mL 0.25 mol/L醋酸钠溶液,5颗玻璃珠和5 mL胰混酶,迅速盖上盖子轻轻颠倒摇晃,再放入37 ℃摇床开始计时,直到反应结束前保持摇床旋转状态。20 min时间到,取出消化杯,加入50 mL无水乙醇终止反应,取部分离心(3 000 r/min 2 min),再稀释2倍(3 mL反应液+3 mL无水乙醇),离心(3 000 r/min 2 min),测上清液葡萄糖含量。120 min后从反应杯取0.5 mL+2.5 mL乙醇中,离心(3 000 r/min 2 min),测上清液葡萄糖含量。取完120 min样品后,将剩余样品转移至50 mL离心管中,在沸水中煮30 min,再放入冰水中至完全冷却。然后加入10 mL 0.5 mol/L醋酸和0.2 mL总糖淀粉葡萄糖苷酶(amyloglucosidase, AG)溶液(原液∶蒸馏水=1∶7,质量比),60 ℃反应30 min后沸水煮10 min,冷却,离心(3 000 r/min 2 min)后测总葡萄糖含量。快消化淀粉(rapidly digestible starch, RDS)、慢消化淀粉(slowly digestible starch, SDS)和抗性淀粉(resistant starch, RS)相对含量的计算如公式(7)~公式(9)所示。

RDS相对含量

(7)

SDS相对含量

(8)

RS相对含量/%=1-RDS相对含量-SDS相对含量

(9)

式中:G0G20G120,分别为反应0、20、120 min样品中葡萄糖释放量,mg;TS,样品中总淀粉量,mg;0.9为葡萄糖转化为淀粉的系数。

1.3.10 重组米的风味成分

1.3.10.1 样品处理

将1 g样品粉末、9 mL蒸馏水和小磁力搅拌器,置于20 mL顶空萃取瓶中。采用gerstel多功能自动进样器中的顶空固相微萃取(head space solid phase microextraction, HS-SPME)模式进样。

1.3.10.2 气相色谱-飞行时间质谱联用技术仪器条件设置

色谱柱:hp-innowax(60 m×0.25 mm×0.25 μm);升温程序:起始温度40 ℃,保持2 min;以5 ℃/min升温至200 ℃保持15 min;以10 ℃/min升温至240 ℃保持3 min;以10 ℃/min升温至250 ℃保持3 min;一次检测时间共计60 min。载气:高纯He,恒流式,流速3.0 mL/min。进样口温度设定为250 ℃。质谱条件:电离方式为电子轰击(EI)源,电子能量70 eV,离子源温度230 ℃;接口温度250 ℃,四极杆温度150 ℃,质量扫描范围33.00~550.00 m/z,溶剂延迟时间3 min。

1.3 数据处理

所有测试重复3次,质构重复5次,结果以“平均值±标准差”的形式表示。数据分析处理使用SPSS 25.0软件,显著性分析采用独立样本t检验和邓肯检验。数据结果图形的制作采用Origin 2018 64bit软件。

2 结果与分析

2.1 单因素试验结果

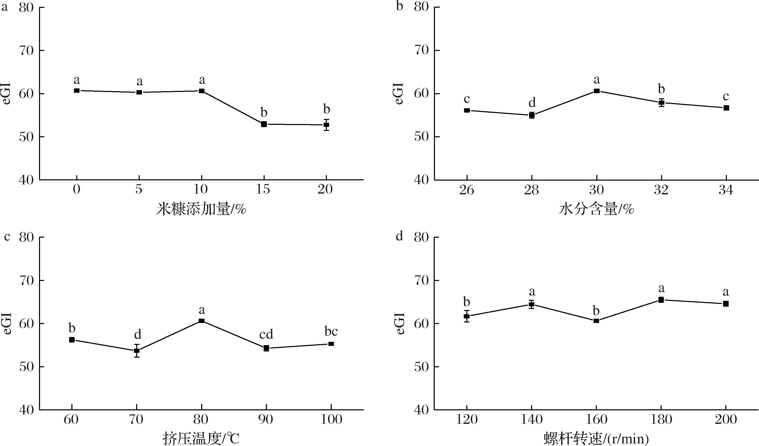
图1展示了米糠添加量、水分含量、挤压温度和螺杆转速对重组米eGI值的影响。米糠添加量显著影响糙米重组米的eGI值,当米糠添加量>10%时,重组米的eGI值降至55以下,为低GI。当米糠添加量增加至20%时,其eGI值与添加15%时的eGI值无显著性差异。水分含量26%~34%时,eGI值呈现先增高后降低的趋势,其中水分含量为28%时,eGI值最低为54.99。挤压温度60~100 ℃,eGI值呈现先增高后降低趋势,其中,70 ℃时eGI值最低。重组米的GI值受螺杆转速影响较大。转速为160 r/min时,GI值最低。综上所述,选取米糠添加量10%~20%,水分含量26%~30%,挤压温度60~80 ℃,螺杆转速140~180 r/min进行下一步试验。

a-米糠添加量;b-水分含量;c-挤压温度;d-螺杆转速

图1 米糠添加量、水分含量、挤压温度和螺杆转速对重组米eGI的影响

Fig.1 Effect of rice bran addition, moisture, temperature and screw speed on eGI of recombinant rice

注:不同小写字母表示差异显著(P<0.05)。

2.2 响应面试验结果

根据单因素试验结果进行Box-Behnken试验设计,以米糠添加量(A)、水分含量(B)、挤压温度(C)、螺杆转速(D)为自变量,eGI(Y)为响应值,进行响应面优化,试验设计见表2。

表2 Box-Behnken设计方案和试验结果

Table 2 Box-Behnken design experimental results

试验号A(米糠添加量)/%B(水分含量)/%C(挤压温度)/℃D(螺杆转速)/(r/min)Y(eGI)10-11056.062000054.713011056.344001157.715000054.326000054.597100-156.728000053.7790-10-155.4410000054.6611010156.2612100157.4313-100-157.0914-10-1057.38

续表2

试验号A(米糠添加量)/%B(水分含量)/%C(挤压温度)/℃D(螺杆转速)/(r/min)Y(eGI)1500-1157.6316-1-10056.5217010-157.68180-1-1056.8319101056.8420-110056.912101-1057.3222110056.2223001-155.7524-100157.32250-10055.7326-101056.532700-1-157.18280-10158.032910-1056.12

利用软件对各因素进行多元回归拟合,得到eGI(Y)与米糠添加量(A)、水分含量(B)、挤压温度(C)和螺杆转速(D)的四因素二次多项回归方程为:

Y=54.41-0.224 2A+0.176 7B-0.269 2C+0.376 7D+0.025 0AB+0.392 5AC+0.120 0AD-0.052 5BC-1.00BD+0.377 5CD+1.10A2+0.919 2B2+1.21C2+1.53D2

由表3可知,回归模型P<0.001,R2为0.954 5,且失拟项的P(0.772 6)>0.05,表明该模型对eGI具有良好的拟合相关性。此外,4个变量因素对重组米eGI的影响程度依次为螺杆转速(D)>挤压温度(C)>米糠添加量(A)>水分含量(B),且螺杆转速和挤压温度对重组米eGI值具有显著影响(P<0.05)。

表3 回归方程方差分析

Table 3 Variance analysis of regression equation

注:*表示差异显著(P<0.05);**表示差异极显著(P<0.01);NS表示差异不显著(P>0.05)。

来源平方和自由度均方差F值P值显著性模型33.92142.4221.00<0.000 1∗∗A0.603 010.603 05.230.038 3∗B0.374 510.374 53.250.093 1NSC0.869 410.869 47.540.015 8∗D1.7011.7014.760.001 8∗∗AB0.002 510.002 50.021 70.885 1NSAC0.616 210.616 25.340.036 6∗AD0.057 610.057 60.499 30.491 4NSBC0.011 010.011 00.095 60.761 8NSBD4.0214.0234.85<0.000 1∗∗CD0.570 010.570 04.940.043 2∗A27.8917.8968.40<0.000 1∗∗B25.4815.4847.51<0.000 1∗∗C29.5419.5482.72<0.000 1∗∗D215.22115.22131.92<0.000 1∗∗残差1.61140.115 4失拟项1.01100.101 20.672 00.722 6NS纯误差0.602 640.150 6总离差35.5328

米糠添加量、水分含量、挤压温度和螺杆转速4因素之间相互作用的响应面曲线如图2所示。AC(米糠添加量和挤压温度)、CD(挤压温度和螺杆转速)和BD(水分含量和螺杆转速)交互作用响应曲面的陡峭程度高,表明ACCDBD 3种交互作用对米糠挤压重组米eGI值的影响显著,而AB(米糠添加量和水分含量)、AD(米糠添加量和螺杆转速)和BC(水分含量和挤压温度)交互作用均不显著。结果与表3中方差分析的结果一致。

a-米糠添加量和水分含量;b-挤压温度和米糠添加量;c-螺杆转速和米糠添加量;d-挤压温度和水分含量;e-螺杆转速和水分含量;d-螺杆转速和挤压温度

图2 挤压条件对重组米eGI的影响

Fig.2 Effect of extrusion conditions on eGI value of recombinant rice

根据响应面试验软件预测拟合出来的结果显示,糙米重组米的最佳工艺参数:米糠添加量15.47%、水分含量27.58%、挤压温度71.24 ℃、螺杆转速155.79 r/min,eGI理论值54.33,为低GI值。考虑实际情况,将加工条件修改为:米糠添加量15%、水分含量28%、挤压温度71 ℃、螺杆转速156 r/min。在此条件下对糙米重组米进行验证试验,试验重复3次,试验结果eGI值为55.13±1.46,与理论值相差1.48%,说明响应面模型可靠。

2.3 重组米的晶体结构分析

由图3可知,天然糙米呈A型晶体结构,主峰位于15°、17°、18°和23°。而重组米在13°和20°出现了特征单峰,属于V型结晶特征,可以归因于在挤压过程中,加热使淀粉颗粒糊化,直链淀粉从颗粒中释放,并与脂质通过疏水作用结合,直链淀粉的螺旋结构包裹脂质的疏水部分,从而形成直链淀粉-脂质复合物[11]。重组米的相对结晶度显著低于天然糙米(P<0.05),挤压加热过程中水分子的迁移和运动导致淀粉颗粒膨胀糊化,破坏了重组米的结晶结构,产生了高度的非晶态结构[12]

图3 重组米和天然糙米的XRD图

Fig.3 XRD pattern of reformed rice and commercial brown rice

2.4 重组米糊化特性分析

如表4所示,重组米的各项糊化参数值均低于天然糙米。在挤压机内部高温、高压和高剪切力的作用下,重组米的淀粉颗粒结构被破坏,一些淀粉大分子链也发生降解,导致挤压后淀粉的糊化特性值低[13]。挤压过程中淀粉的分子缠结和解聚作用导致淀粉发生糊化和降解,从而使重组米的峰值黏度、谷值黏度明显降低[14]。与天然糙米相比,重组米的崩解值明显较低,这可能是因为在挤压过程中,淀粉分子的结构发生变化,使得颗粒结构变得更加紧密[15]。淀粉糊化后的老化回生速度可以通过回生值来反映,与天然糙米相比,重组米的回生值明显较低,可能是因为在挤压过程中生成的淀粉-脂质复合物和短链支链,削弱了淀粉的回生作用[11]

表4 重组米与天然糙米的糊化参数值

Table 4 Pasting properties of recombinant rice and commercial brown rice

注:同列不同小写字母上标表示差异显著(P<0.05)(下同)。

样品峰值黏度/cP谷值黏度/cP最终黏度/cP崩解值/cP回生值/cP峰值时间/min重组米243.67±2.31b45.33±1.53b84.00±4.00b198.33±3.79b38.67±3.79b1.14±0.12b天然糙米2 838.00±21.79a1 652.67±53.93a3 096.67±78.65a1 185.33±41.63a1 444.00±25.24a6.11±0.03a

2.5 重组米的蒸煮特性

由表5可知,与天然糙米相比,重组米的熟化时间明显降低,这可能是由于淀粉在挤压过程中发生糊化。WANG等[16]研究表明米粒的吸水率和体积膨胀率呈正相关,天然糙米的吸水率和体积膨胀率均低于重组米,这可能是由于挤压破坏淀粉晶体结构,促使重组米具有较高的吸水率和体积膨胀率[17]。吸水率越高,蒸煮所耗时间越短,口感越佳[18]。与天然糙米相比,重组米的蒸煮损失率更高,这可能是因为在挤压过程中,淀粉发生糊化,大分子断裂为小分子,从而增加了重组米的蒸煮损失[19]

表5 重组米和天然糙米的蒸煮特性

Table 5 Cooking characteristics of recombinant rice and commercial brown rice

样品熟化时间/min吸水率/%体积膨胀率/%蒸煮损失率/%重组米7.29±0.10b182.45±2.34a356.67±11.55a13.22±1.95a天然糙米37.13±0.62a93.00±1.74b250.00±0.00b3.82±0.43b

2.6 重组米的质构特性分析

质构是评价重组米口感的重要指标,主要包括硬度、黏附性、弹性、内聚性、胶黏性、咀嚼性和回复性。如表6所示,天然糙米的硬度、黏附性、胶黏性、咀嚼性和回复性显著高于重组米,而弹性和内聚性显著低于重组米,可能是由于挤压时淀粉颗粒吸水膨胀、糊化,内部有序结构遭到破坏,淀粉链排列散乱,晶体结构被破坏,导致硬度降低,这也与XRD的分析结果一致[20]。而硬度与咀嚼性呈正相关关系,与弹性呈负相关关系,因此重组米咀嚼性也呈下降趋势,而弹性及内聚性均呈上升趋势。

表6 重组米与天然糙米的质构特性

Table 6 Textural properties of recombinant rice and commercial brown rice

样品硬度/g黏附性/g.sec弹性/mm内聚性胶黏性/g咀嚼性/g回复性重组米85.26±7.63b-14.56±0.71b0.92±0.04a0.68±0.01a58.07±4.66b53.29±3.12b0.25±0.03b天然糙米530.7±36.12a-3.77±1.93a0.77±0.04b0.57±0.01b316.68±38.00a243.78±38.35a0.37±0.01a

2.7 重组米的消化特性

如表7所示,与天然糙米相比,重组米的快消化淀粉含量和eGI值显著低于天然糙米(P<0.05),而慢消化淀粉和抗性淀粉含量显著高于天然糙米,这可能是因为高温高压高剪切作用,使得重组米出现V型结晶结构[21]。研究表明,V型结晶的出现可能有利于提高淀粉分子的紧密程度,进而增强重组米的抗消化性。且挤压过程中淀粉颗粒被破坏,直链淀粉与脂类形成直链淀粉脂类复合物,使得重组米的抗性淀粉含量增加,从而降低淀粉的消化性能,eGI值降低[22-24]

表7 重组米和天然糙米的消化特性

Table 7 Digestive properties of recombinant rice and commercial brown rice

样品RDS/%SDS/%RS/%eGI重组米49.22±1.27b25.01±0.73a25.77±0.73a55.13±1.46b天然糙米57.90±0.67a19.67±0.67b22.43±1.34b58.40±1.31a

2.8 重组米的风味成分

通过GC-MS技术对重组米和天然糙米的挥发性风味物质进行分析,天然糙米中共测出16种风味成分,重组米中共测出13种风味成分(表8)。

表8 重组米和糙米的风味成分

Table 8 Flavor ingredients of recombinant rice and commercial brown rice

注:“—”表示该物质未检测出来或者含量太低。

化合物类名称重组米/(mg/kg)糙米/(mg/kg)醇类正己醇—0.22±0.022-甲基-1-十六烷醇0.02±0.01—2-乙基-1-己醇0.04±0.00—正戊醇0.03±0.000.01±0.02乙醇—0.13±0.121-甲氧基-2-丙醇0.26±0.04—酮类2,3-丁二酮0.04±0.02—2-甲基-3-庚酮0.50±0.000.25±0.00乙酰丙酮0.05±0.00—丙酮0.05±0.000.31±0.11醛类乙醛—0.07±0.07苯甲醛0.04±0.02—庚醛0.03±0.00—己醛0.26±0.040.18±0.04戊醛0.03±0.00—烷烃类癸烷—0.11±0.103-甲基癸烷—0.10±0.08十一烷—0.37±0.32苯环类苯乙烯—0.32±0.12甲苯—0.11±0.03呋喃类2-戊基呋喃—0.01±0.02四氢呋喃—0.23±0.08其他戊酸1-甲基乙酯0.01±0.00—D-柠檬烯—0.14±0.13甲基戊-4-烯胺—0.06±0.11

多数酮类化合物是重组米中含量最高的挥发性物质,具有特殊的清香气味,且香味优异持久。2,3-丁二酮赋予重组米果香味和肉桂味[25]。醇类化合物共检测到6种,是重组米中含量第二高的挥发性物质,具有香料和植物的香味。醛类是食品中重要的挥发性物质,主要是通过脂质的氧化和氨基酸的分解所产生,且它的气味阈值相对较低[26]。重组米中醛类物质含量最高且远高于天然糙米,可能是在挤压过程中高温促进了脂质氧化。其中己醛的含量最高,赋予产品青草香[25];壬醛赋予产品油脂和甜橙气息。呋喃类化合物常见于焙烤类食品的香味成分中,2-戊基呋喃和四氢呋喃均具有豆香、果香及类似蔬菜的香韵[27]

综上,重组米和天然糙米的香气主要是由醛类、醇类、酮类和呋喃类等成分构成。天然糙米虽然风味物质的种类更多,但其多为香味阈值较高的醇类和烷烃类物质,对整体风味贡献不大。重组米的醛类、酮类的含量高于天然糙米,使其香味更加优异持久。

3 结论

本研究以粳米粉和米糠为原料挤压制备重组米,通过单因素和响应面试验得到制备重组米的最佳工艺条件为:米糠添加量15%、水分含量28%、挤压温度71 ℃、螺杆转速156 r/min,在此条件下挤压制备的重组米的eGI为55.13±1.46。根据XRD结果显示,与天然糙米相比,重组米的晶型结构被破坏,相对结晶度显著降低,显示V型晶型结构特征。糊化特性结果表明,重组米峰值黏度、谷值黏度、最终黏度、崩解值、回生值及峰值时间均显著低于天然糙米。根据蒸煮特性结果,重组米的吸水率、体积膨胀率以及蒸煮损失率均高于天然糙米,而熟化时间显著低于天然糙米。与天然糙米相比,重组米的弹性及内聚性显著升高,而其硬度、黏附性、胶黏性、咀嚼性和回弹性显著降低。与天然糙米相比,重组米具有较高的SDS、RS和较低的RDS、eGI,抗消化性能好。重组米的醛类、酮类化合物的含量更高,使其风味比天然糙米更芳香持久。综上所述,优化工艺制备的米糠重组米不仅具有低GI特性,还改善了蒸煮性能、质构、消化和风味特性。本研究为低GI米糠重组米的开发提供了理论依据和技术支持,对功能性主食产品的发展具有重要意义。

参考文献

[1] LIN Y W, TSAI C L, CHEN C J, et al.Insights into the effects of multiple frequency ultrasound combined with acid treatments on the physicochemical and thermal properties of brown rice postcooking[J].LWT, 2023, 188:115423.

[2] 卢华. 全谷物食品加工新技术及产品的开发[J].中国食品工业, 2024(20):113-115.LU H.Development of new technologies and products for processing whole grain food[J].China Food Industry, 2024(20):113-115.

[3] 李佳, 吴娜娜, 刘春, 等.常压蒸煮米糠对籼米粉性质及米发糕品质的影响[J].中国食品学报, 2024, 24(11):221-232.LI J, WU N N, LIU C,et al.Effects of rice bran treated by atmospheric pressure cooking on the properties of indica rice flour and the quality of rice cake[J].Journal of Chinese Institute of Food Science and Technology, 2024, 24(11):221-232.

[4] 李向菲, 沈丹, 黄俊凯, 等.米糠功能活性成分及其功效的研究进展[J].食品工业科技, 2022, 43(13):466-474.LI X F, SHEN D, HUANG J K, et al.Research progress on functional active components and its efficacy in rice bran[J].Science and Technology of Food Industry, 2022, 43(13):466-474.

[5] 代娇, 李凤林, 谢天, 等.低GI高膳食纤维重组米加工工艺研究[J].粮食与油脂, 2022, 35(6):30-35.DAI J, LI F L, XIE T, et al.Study on processing technology of low GI and high dietary fiber restructured rice[J].Cereals &Oils, 2022, 35(6):30-35.

[6] 张鑫, 任元元, 邱道富, 等.不同杂粮添加量对挤压重组米饭品质及体外消化特性的影响[J].食品与发酵科技, 2021, 57(5):36-41.ZHANG X, REN Y Y, QIU D F, et al.Effects of different amount of coarse cereals on quality and in vitro digestibility of extruded reconstituted rice[J].Food and Fermentation Sciences &Technology, 2021, 57(5):36-41.

[7] 邓慧清, 吴卫国, 廖卢艳, 等.挤压杂粮重组米体外消化特性研究[J].中国粮油学报, 2022, 37(6):10-17.DENG H Q, WU W G, LIAO L Y, et al.External digestibility of combined rice extruded coarse grains[J].Journal of the Chinese Cereals and Oils Association, 2022, 37(6):10-17.

[8] GE X Z, SHEN H S, SU C Y, et al.The improving effects of cold plasma on multi-scale structure, physicochemical and digestive properties of dry heated red adzuki bean starch[J].Food Chemistry, 2021, 349:129159.

[9] WU J Y, CHEN J, LIU W, et al.Effects of aleurone layer on rice cooking:A histological investigation[J].Food Chemistry, 2016, 191:28-35.

[10] YANG W H, ZHENG Y X, SUN W X, et al.Effect of extrusion processing on the microstructure and in vitro digestibility of broken rice[J].LWT, 2020, 119:108835.

[11] 刘若海.杂粮重组米血糖生成指数的调控及品质研究[D].无锡:江南大学,2024.LIU R H.Study on glycemic index regulatory and quality of multigrain reconstituted rice[D].Wuxi:Jiangnan University, 2024.

[12] KUO C H, SHIEH C J, HUANG S M, et al.The effect of extrusion puffing on the physicochemical properties of brown rice used for saccharification and Chinese rice wine fermentation[J].Food Hydrocolloids, 2019, 94:363-370.

[13] 高嫚, 贾健辉, 张楚佳, 等.粳米重组米的制备工艺优化及性能研究[J].食品工业科技, 2024, 45(5):169-176.GAO M, JIA J H, ZHANG C J, et al.Optimization of preparation process and properties study of japonica recombinant rice[J].Science and Technology of Food Industry, 2024, 45(5):169-176.

[14] SHARMA S, SINGH N, SINGH B.Effect of extrusion on morphology, structural, functional properties and in vitro digestibility of corn, field pea and kidney bean starches[J].Starch - Stärke, 2015, 67(9-10):721-728.

[15] WANG P, YANG Q Y, ZHENG D M, et al.Physicochemical and antioxidant properties of rice flour based extrudates enriched with stabilized rice bran[J].Starch-Stärke, 2018, 70(9-10):1800050.

[16] WANG B, DONG Y Q, FANG Y X, et al.Effects of different moisture contents on the structure and properties of corn starch during extrusion[J].Food Chemistry, 2022, 368:130804.

[17] 伏曦. 土圞儿粉理化性质与加工适宜性研究及重组米制备[D].无锡:江南大学,2022.FU X.Physicochemical properties and processing adaptability of Apios fortunei and preparation of extruded rice[D].Wuxi:Jiangnan University, 2022.

[18] 江宇峰. 豆渣粉膳食纤维重组米的研制及其性质研究[D].长春:长春大学,2021.JIANG Y F.Preparation and properties of reconstituted rice with dietary fiberfrom soybean dreg[D].Changchun:Changchun University, 2021.

[19] ZHANG Y J, ZUO H Y, XU F, et al.The digestion mechanism of jackfruit seed starch using improved extrusion cooking technology[J].Food Hydrocolloids, 2021, 110:106154.

[20] 于跃澜. 碎米杂粮重组米的制备研究[D].哈尔滨:哈尔滨商业大学,2021.YU Y L.Study on the preparation of broken rice and mixed grains reconstituted rice[D].Harbin:Harbin University of Commerce, 2021.

[21] 陈佳乐. 红米色素对淀粉慢消化作用及低GI重组红米的制备[D].郑州:河南工业大学,2023.CHEN J L.Slow digestion effect of red rice pigment on starch and preparation of low GI recombinant red rice[D].Zhengzhou:Henan University of Technology, 2023.

[22] 王丹, 翟小童, 张娜, 等.全谷物糙米的消化特性及其影响因素研究进展[J].粮油食品科技, 2025, 33(1):80-86.WANG D, ZHAI X T, ZHANG N, et al.Research progress on the digestion characteristics and influencing factors of whole grain brownrice[J].Science and Technology of Cereals, Oils and Foods, 2025, 33(1):80-86.

[23] 高群玉, 叶营, 王琳.湿热处理对不同晶型淀粉理化性质及消化性的影响[J].现代食品科技, 2015, 31(3):60-65.GAO Q Y, YE Y, WANG L.Effect of heat-moisture treatment on the physicochemical properties and digestibility of starches with different crystal structures[J].Modern Food Science and Technology, 2015, 31(3):60-65.

[24] MENG S, MA Y, CUI J, et al.Preparation of corn starch-fatty acid complexes by high-pressure homogenization[J].Starch - Stärke, 2014, 66(9-10):809-817.

[25] YANG Y, WANG B, FU Y, et al.HS-GC-IMS with PCA to analyze volatile flavor compounds across different production stages of fermented soybean whey tofu[J].Food Chemistry, 2021, 346:128880.

[26] HOU H, LIU C, LU X S, et al.Characterization of flavor frame in shiitake mushrooms (Lentinula edodes) detected by HS-GC-IMS coupled with electronic tongue and sensory analysis:Influence of drying techniques[J].LWT, 2021, 146:111402.

[27] 徐雪野, 张新振, 孙玥, 等.双孢菇重组米油炸工艺优化及其风味成分分析[J].食品工业科技, 2023, 44(23):144-155.XU X Y, ZHANG X Z, SUN Y, et al.Optimization of frying technology of Agaricus bisporus recombinant rice and analysis of its flavor components[J].Science and Technology of Food Industry, 2023, 44(23):144-155.

Process optimization and performance study of brown recombinant rice

PAN Xiaoxue1, ZHAO Yong1,2,3*, XU Jingwen1*

1(College of Food Science, Shanghai Ocean University, Shanghai 201306, China)2(Ministry of Agriculture Aquatic Products, Laboratory of Quality &Safety Risk Assessment for Aquatic Products on Storage and Preservation (Shanghai), Shanghai 201306, China)3(Shanghai Engineering Research Center of Aquatic-Product Processing &Preservation, Shanghai 203106, China)

ABSTRACT Japonica rice flour and rice bran were used as the raw material to study the effect of extrusion process parameters on the quality of recombined rice using single factor test and response surface tests with the expected glycemic index (eGI) of recombined rice as the target parameter.Results showed that the eGI of recombined rice prepared by extrusion under the conditions of 15% rice bran addition, 28% moisture content, 71 ℃ extrusion temperature, and 156 r/min screw speed was 55.13±1.46, which had the potential to regulate blood glucose.The degree of crystallinity, pasting properties indexes, cooking time, hardness, adhesiveness, gumminess, chewiness, and resilience of recombined rice were decreased, while the water absorption, volume expansion, cooking loss, springiness, and cohesiveness were elevated as compared to natural brown rice.The digestive properties of recombined rice showed a decrease in rapidly digestible starch and an increase in slowly digestible starch and resistant starch, further confirming its low GI property.Furthermore, flavor analysis of recombined rice showed a higher content of aldehydes and ketones than natural brown rice, giving it a more aromatic and long-lasting flavor.In conclusion, the recombined rice prepared by the optimized process not only had low GI characteristics but also improved cooking performance and textural properties.This study provides theoretical basis and technical support for the development of low GI rice bran recombined rice.

Key words extrusion;reconstituted rice;rice bran;physical and chemical properties;estimated glycogenic index

DOI:10.13995/j.cnki.11-1802/ts.042136

引用格式:潘晓雪,赵勇,徐静雯.糙米重组米的工艺优化及性能研究[J].食品与发酵工业,2025,51(21):322-329.PAN Xiaoxue, ZHAO Yong, XU Jingwen.Process optimization and performance study of brown recombinant rice[J].Food and Fermentation Industries,2025,51(21):322-329.

第一作者:硕士研究生(赵勇教授和徐静雯副教授为共同通信作者,E-mail:yzhao@shou.edu.cn;jw-xu@shou.edu.cn)

收稿日期:2025-01-15,改回日期:2025-03-12