基于糯米山药皮的无麸质饼干研制及其对挥发性物质的影响

朱恬琛1,庄晗笑1,张天竹1,2,孙晋跃1,周文文1*

1(浙江大学 生物系统工程与食品科学学院,浙江 杭州,310058)2(重庆医药高等专科学校 药学院,重庆,401331)

摘 要 糯米山药皮作为浙江文成糯米山药的加工副产物,富含膳食纤维等食品功能性成分。为优化糯米山药皮酥性发酵饼干加工工艺,并探究糯米山药皮对饼干品质特性的影响,该研究将糯米山药皮加入饼干中,采用单因素试验和正交试验进行糯米山药皮酥性发酵饼干的工艺优化,并通过气味感官评价、电子鼻和顶空固相微萃取结合气相色谱-质谱联用分析饼干风味特性,采用微量法测定饼干纤维素含量及扫描电镜分析饼干微观结构。结果表明,糯米山药皮酥性发酵饼干的最佳工艺参数为糯米山药皮15%、白砂糖32%、酿酒酵母1%、蛋黄液16%、牛奶36%、黄油16%、发酵时间40 min。糯米山药皮的添加使饼干的风味得分显著提高,且其香气特征与普通饼干相比具有显著性差异,明确了饼干风味增强归因于酯类、烃类化合物的种类及数量的增多。糯米山药皮的添加使饼干的纤维素含量显著增加至174.77 mg/g(P<0.05),且改变了饼干结构,内部孔隙显著增多。因此,该研究在饼干面团中创新性地加入糯米山药皮,获得了一种可显著改善饼干品质特性的低卡高香无麸质新配方饼干,也为糯米山药皮的再利用提供了一种新的商业化途径,具有广阔的应用前景。

关键词 糯米山药皮;饼干;工艺优化;风味物质;纤维素;微观结构

在食品生产加工过程中有时会产生大量副产物难以处理,农产品加工副产物数量的持续增加是世界面临的主要环境问题之一。糯米山药皮作为一种糯米山药食品加工副产物,其价值化利用对发展中国家经济和工业活动的可持续发展具有重要意义[1]。与此同时,糯米山药皮中富含膳食纤维,具有促消化、降血糖、抗氧化、抗炎、抗肿瘤等生物活性[2]。高拦等[3]的研究表明膳食纤维能够改善淀粉消化组分,减缓餐后血糖水平上升。SHEN等[4]研究发现竹笋水溶性膳食纤维的加入破坏了面筋的网络结构,导致面团和饼干质地特性的降低和微观结构的改变。糯米山药皮作为温州地方特色农产品糯米山药的一种可食用的加工副产物,具有开发创新型食品的潜力,满足消费者对多样化和高品质食品的需求。

糯米山药皮粉作为一种无麸质粉,对面食的理化特性具有较大影响。麸质是小麦、大麦、黑麦中存在的一类蛋白质,对于大多数人来说,麸质容易被胃肠道消化,然而部分人群不能消化麸质蛋白,只能食用无麸质食品。除了被迫食用无麸质产品的人外,想要遵循健康饮食的消费者对这类无麸质产品的需求也大大增加[5]。饼干的物理特性受麸质蛋白的影响很大,使用无麸质面粉会干扰麸质网络的形成,这将影响面团和饼干质量[6],例如无麸质面团较弱、黏弹性低、难以保持水分[7]。DI CAIRANO等[8]、TREVISAN等[9]的研究表明无麸质粉能降低血糖指数,从而改善无麸质烘焙食品的营养品质。目前关于无麸质饼干的研究主要使用谷物、豆类、假谷物及其混合物中的面粉[10],国内外未见关于糯米山药皮粉创制无麸质饼干的研究报道。而且将糯米山药皮应用于饼干的制作中,还能够增强饼干的咀嚼感、提高饼干的营养价值,在未来研究中可选择糯米山药皮粉来促进其在米面、焙烤制品中的使用,助力无麸质产品的成分多样化[11]

为了给糯米山药皮的综合利用和相关产品的应用开发提供参考,本实验通过改变糯米山药皮酥性发酵饼干的原料配比与发酵时间来优化其加工工艺,以期获得更好品质的产品,并探究糯米山药皮对饼干香气、纤维素含量和微观结构等方面的影响,对于糯米山药皮在产品中附加值的提高具有重要意义,为相关食品工业提供新思路与新方法。

1 材料与方法

1.1 材料与试剂

糯米山药,文成县石岭农业专业合作社;酿酒酵母,安琪酵母股份有限公司;低筋小麦粉、白砂糖,西溪银泰城永辉超市;鸡蛋、黄油、牛奶,杭州麦德好快捷超市;NaCl、环己酮、正己烷、丙酮、浓硫酸(均为国产分析纯),国药集团化学试剂有限公司;纤维素含量检测试剂盒,北京索莱宝科技有限公司。

1.2 仪器与设备

LRH-250生化培养箱,上海一恒科技有限公司;HB-SES-IY烤箱,江苏三麦食品机械有限公司;HERACLES NEO电子鼻,法国Alpha M.O.S.公司;7890B三重四级杆气相色谱质谱联用仪,美国Agilent公司;ST16离心机,美国Thermo公司;RF-5301荧光分光光度计,日本岛津公司;SU-8010扫描电镜,日本Hitachi公司。

1.3 方法

1.3.1 糯米山药皮酥性发酵饼干制备

参考DADA等[12]的方法,将糯米山药皮洗净干燥切片,粉碎后过60目筛,得到糯米山药皮粉,密封保存备用。

将黄油加热软化,将蛋黄打散得到蛋黄液。将低筋小麦粉、糯米山药皮粉、白砂糖、酿酒酵母、蛋黄液、牛奶、软化的黄油加入揉面盆中,充分搅拌均匀,反复揉搓至形成表面光滑的饼干面团,室温下松弛30 min。

将饼干面团反复折叠并擀压至2 mm厚的面皮,使面皮具有一定的层状结构。利用模具印制饼胚并扎气孔,再置于35 ℃环境下恒温发酵30 min。将制作好的饼胚表面涂上蛋黄液后,在上火170 ℃、下火160 ℃的烤箱中焙烤20 min,冷却后得到酥性发酵饼干成品。

1.3.2 工艺优化

1.3.2.1 单因素试验设计

为探究不同工艺参数的影响,分别设置糯米山药皮添加质量5%、10%、15%、20%、25%;白砂糖添加量4、8、12、16、20 g;牛奶添加量9、12、15、18、21 g;黄油添加量4、8、12、16、20 g;发酵时间10、20、30、40、50 min。单因素按变量取值时,低筋小麦粉和糯米山药皮粉的混合粉、白砂糖、酿酒酵母、蛋黄液、牛奶、黄油的添加量和发酵时间的固定值分别为50 g、12 g、0.5 g、8 g、18 g、8 g、30 min。

选取10名食品感官品鉴人员,分别从色泽、气味、口感、形态、组织5个方面对饼干进行评价打分。感官评价标准如表1所示。

表1 糯米山药皮酥性发酵饼干感官评价标准
Table 1 Sensory evaluation criteria for waxy yam peel crispy fermented biscuits

项目评价标准分值/分色泽(30分)色泽均匀,呈棕褐色,表面有光泽25~30色泽稍浅或稍深,表面光泽度稍差16~24色泽不均匀,过焦或呈现棕黑色,表面无光泽<16气味(20分)具有烘烤后的饼干香味,适宜的糯米山药味,无异味15~20饼干的香味稍差,糯米山药味过淡或过浓,无异味8~14饼干的香味差,无糯米山药味,有异味<8口感(30分)口感酥脆,甜而不腻,不黏牙25~30口感较酥脆,酸甜一般,轻微黏牙16~24口感粗糙,偏甜或偏酸,黏牙<16形态(10分)外形完整,厚薄均匀,大小一致7~10外形较完整,厚薄大致均匀,大小较一致4~6外形不完整,厚薄不均匀,大小不一致<4组织(10分)断面结构细致均匀,无大孔洞7~10断面结构呈有孔状,无大孔洞4~6断面结构有大孔,内部结构粗糙<4

1.3.2.2 正交试验设计

以单因素试验结果为基础,以感官评价结果结合饼干制备过程中揉面效果等因素作为评价依据,确定牛奶的最佳添加量,并分别从所设置的糯米山药皮添加比例、白砂糖添加量、黄油添加量、发酵时间的5个水平中选取3个较佳水平,进行4因素3水平正交试验,以感官评分作为评价指标,优化糯米山药皮酥性发酵饼干的工艺参数[13]。正交试验设计方案如表2和表3所示。

表2 正交试验因素水平表
Table 2 Orthogonal experimental factor level table

水平因素A(白砂糖添加量)/gB(黄油添加量)/gC(发酵时间)/minD(山药皮添加比例)/%18430521284010316125015

表3 正交试验设计表
Table 3 Orthogonal experimental design table

实验号因素ABCD111112123231323421335222162312731228321393331

1.3.3 品质特性分析

根据1.3.2节得出的饼干制备最佳工艺参数,设置不添加糯米山药皮的普通饼干组和添加糯米山药皮的糯米山药皮饼干组进行后续饼干品质特性分析,2组饼干样品的部分工艺参数设置如表4所示,其中发酵时间40 min,其他制备工艺同1.3.1节。

表4 饼干工艺参数表 单位:g
Table 4 Cookie process parameters

工艺参数普通饼干糯米山药皮饼干低筋小麦粉5042.5糯米山药皮粉07.5白砂糖1616酿酒酵母0.50.5蛋黄液88牛奶1818黄油88

1.3.3.1 扫描电镜分析

使用扫描电镜检测分析饼干微观结构。参考UDOMKUN等[14]的方法,将冷却后的饼干样品切成约2 mm×2 mm大小的切块,用导电胶切块固定在扫描电镜样品板上后进样检测,不同放大倍数下观察并拍照。

1.3.3.2 纤维素含量测定及热量分析

采用纤维素含量检测试剂盒测定饼干纤维素含量,具体步骤参照说明书。依据中国食物成分表[15]计算饼干的热量。

1.3.3.3 感官评价

选取10名食品感官品鉴人员,分别从色泽、气味、口感、形态、组织5个方面对饼干评价打分。感官评价标准如表1所示。

1.3.3.4 电子鼻分析

采用电子鼻进行饼干香气特征的检测分析。参考YAO等[1]的方法,称取3 g研磨后的饼干样品于20 mL顶空瓶中,加盖密封,室温下平衡3 h后完成全自动进样并开始检测。实验条件为:样品清洗时间300 s,样品准备时间120 s,流量0.6 L/min,检测温度25 ℃,检测时间60 s。2组饼干均进行3组平行实验。对糯米山药皮香气成分进行主成分分析(principal component analysis, PCA)及线性判别分析(linear discriminant analysis, LDA)。

1.3.3.5 挥发性物质分析

使用顶空固相微萃取(headspace solid-phase micro-extraction, HS-SPME)从饼干中提取挥发性化合物。参考WU等[16]的方法,将2 g饼干样品研磨后置于10 mL顶空瓶中,加入2 mL质量分数36% NaCl溶液,以环己酮为内标,摇匀后加盖密封。将50 μm DVB/CAR/PDMS萃取针插入顶空瓶,纤维头置于样品上方的顶部空间中,在60 ℃下静置提取30 min。提取完成后立即将萃取针插入与色谱柱相连的GC进样器中进行检测分析。2组饼干均进行3组平行实验。

使用三重四级杆GC-MS联用仪进行分析。以He作为载气,载气流速1.5 mL/min。质谱仪条件:电离能70 eV,离子源温度230 ℃,四级杆温度150 ℃,扫描范围30~500 m/z。根据保留时间进行挥发性物质的定性,将所得到的分析图谱与质谱数据库中标准谱图进行对比,保留相似度80%及以上的挥发性化合物。

以环己酮为内标对挥发性物质进行定量,计算如公式(1)所示:

挥发性物质的含量

(1)

对糯米山药皮挥发性物质进行PCA、正交偏最小二乘法判别分析(orthogonal partial least squares discriminant analysis, OPLS-DA)及置换检验分析。

1.4 数据统计与分析

实验结果以“平均值±标准差”表示。使用OriginPro 2024、Simca-14.1进行数据统计分析及作图。使用 SPSS Statistics 27进行单因素方差分析,P<0.05被认为在统计学上具有显著性差异。

2 结果与分析

2.1 糯米山药皮酥性发酵饼干最佳加工工艺的确定

单因素试验中,各工艺参数对饼干的感官影响如图1所示。考虑到不同的牛奶添加量对于饼干面团制备过程中揉面效果影响较大,牛奶添加量少导致饼干面团过于干燥,牛奶添加量多导致饼干面团过于潮湿,2种情况下饼干面团均不能形成表面光滑的面团。结合不同的牛奶添加量对饼干感官的影响,确定饼干制备中牛奶的最佳添加量为18 g。不同的白砂糖、黄油、糯米山药皮添加量及不同的发酵时间对饼干面团制备过程中揉面效果几乎没有影响,故仅从感官评价指标方面选取每个因素5个水平中较佳的3个水平进行后续的正交试验。以色泽、气味、口感、形态、组织5个方面的综合感官评价结果作为饼干的感官评定指标,选取白砂糖添加量8、12、16 g,黄油添加量4、8、12 g,发酵时间30、40、50 min,糯米山药皮添加比例5%、10%、15%进行后续正交试验。

a-牛奶添加量;b-白砂糖添加量;c-黄油添加量;d-发酵时间;e-糯米山药皮添加比例

图1 不同因素对饼干感官品质的影响
Fig.1 Influence of different factors on the sensory perception of biscuits

正交试验中,9组饼干样品在感官上具有显著性差异(P<0.05)。对实验结果进行极差分析与方差分析,结果如表5与表6所示。

表5 正交试验结果分析
Table 5 Analysis of orthogonal experimental results

试验号ABCD感官评分/分1111165.002123265.333132372.334213359.335222173.676231265.677312270.008321380.339333171.50K1202.67194.33211.00210.17K2198.67219.33216.00201.00K3221.83209.50196.17212.00k167.5664.7870.3370.06k266.2273.1172.0067.00k373.9469.8365.3970.67R7.728.336.613.67主次顺序B>A>C>D最佳组合A3B2C2D3

表6 正交试验结果方差分析
Table 6 Analysis of variance of orthogonal experimental results

因素偏差平方和自由度均方FPA700.2212350.11010.818<0.01B215.2842107.6423.3260.059C1 229.7172614.85918.998<0.01D212.2642106.1323.2790.061误差582.5621832.365

由分析结果可知,4个因素对饼干的感官品质影响由大到小依次为:黄油添加量>白砂糖添加量>发酵时间>糯米山药皮添加比例,其中9种配比组合中最佳组合为A3B2C2D3,故将所得4个因素最佳水平组合作为饼干制备的最佳工艺参数,即糯米山药皮添加比例15%、白砂糖添加16 g、酿酒酵母添加0.5 g、蛋黄液添加8 g、牛奶添加18 g、黄油添加8 g、发酵时间40 min。

2.2 糯米山药皮对饼干微观结构的影响

通过扫描电镜观察后,选取100×与400×的电镜图片进行分析。由图2可知,在饼干面团体系中,面筋蛋白网络包裹着不规则的圆形淀粉颗粒,酵母散布其中,普通饼干面团中的面筋网络结构较为紧密、孔隙较小,糯米山药皮饼干面团中的面筋网络结构较为疏松、孔隙较大,可能是因为糯米山药皮富含膳食纤维,膳食纤维干扰了面筋蛋白网络的形成,导致面团强度弱、气孔不规则、易破裂,在焙烤过程中还会影响交联面筋分子弹性网络的形成,导致面筋网络容易被破坏。LIU等[17]的研究表明纤维素酶降解富含马铃薯全粉的面团中的纤维素,能减轻纤维素对面筋网络的干扰。糯米山药皮饼干面团中孔隙增大的原因还可能是酿酒酵母在添加糯米山药皮的面团中发酵时产生的代谢产物对面筋蛋白的削弱作用较大,使面团结构更加松散,孔隙在加工过程中由于水蒸气蒸发等因素快速膨胀形成具有较大空腔的多孔结构。于书蕾等[18]的研究也发现糯米粉的添加使得蛋糕内气孔壁上孔洞变得大而疏松。

a-普通饼干100×;b-糯米山药皮饼干100×;c-普通饼干400×;d-糯米山药皮饼干400×

图2 扫描电镜微观结构图
Fig.2 Scanning electron microscopy microstructure diagram

2.3 糯米山药皮对饼干纤维素含量和热量的影响

由图3可知,添加糯米山药皮能降低饼干的热量,且使得饼干的纤维素含量由598.77 mg/g提高至773.54 mg/g,2组样品在纤维素含量上具有显著差异(P<0.05),可能原因是糯米山药皮富含膳食纤维,利于构建饼干的纤维网状结构,进一步验证了2.2节实验结果。纤维素有助于维持消化系统健康,促进肠道蠕动,预防便秘,并有助于降低胆固醇和控制血糖,因此相较于普通饼干,纤维素含量更高的糯米山药皮饼干是特殊人群更好的消费选择。REN等[19]的研究也表明粉末状纤维素和原纤化纤维素取代面粉和预糊化淀粉被加入配方中,能够增强低热量和高纤维的健康益处。

图3 不同种类饼干纤维素含量及热量比较
Fig.3 Comparison of cellulose content and calories in different types of biscuits

2.4 糯米山药皮对饼干气味感官的影响

对不同糯米山药皮添加比例的饼干样品进行感官评价,结果显示6组饼干在色泽、口感、形态、组织4个方面的感官评分均无显著性差异,在气味方面的感官评分具有显著性差异。由图4可知,添加5%、10%、15%的糯米山药皮使得饼干样品在气味感官评价上得分提高,6组饼干样品在气味感官评价上具有显著性差异(P<0.05)。糯米山药皮饼干样品的气味评价更好可能是因为糯米山药皮本身具有特殊的香气成分,或发酵及烘焙过程中糯米山药皮产生特殊的香味物质,或糯米山药皮与其他原料在发酵或焙烤过程中相互作用从而产生特殊的香气成分。刘砚耕等[20]的研究也发现添加一定量的山药皮粉会对馒头的气味品质起到一定的改善作用。

图4 不同糯米山药皮添加比例饼干气味感官评价图
Fig.4 Sensory evaluation of biscuit odor with different ratios of waxy yam peel added

2.5 糯米山药皮对饼干香气特征的影响

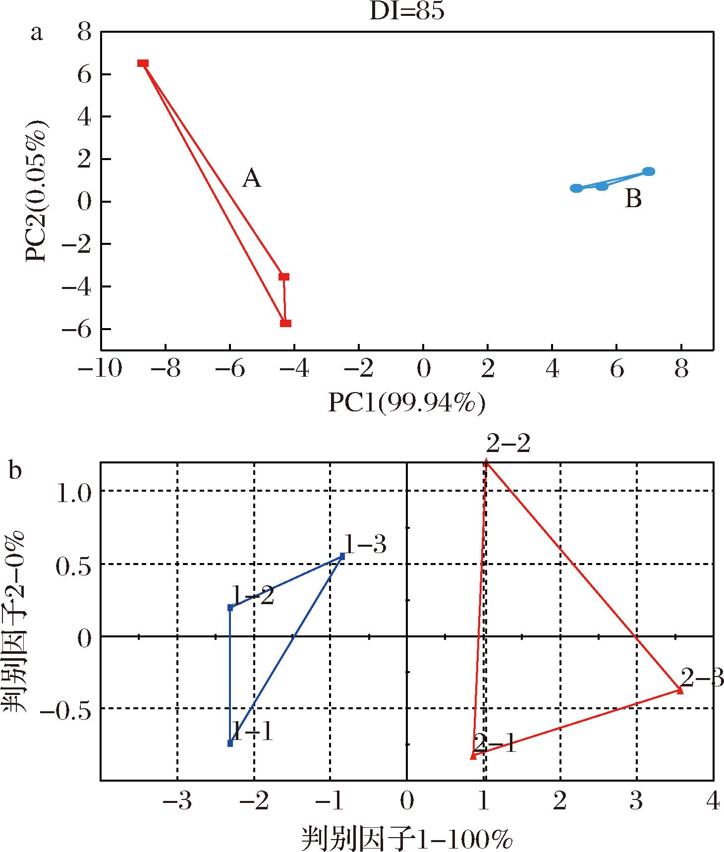
用电子鼻对饼干整体香气特征进行表征,对2组饼干样品进行PCA及LDA。如图5-a所示,PC1和PC2的贡献率分别为99.94%和0.05%,累积贡献率高达99.99%,DI值为85,表明基本覆盖了所有样本特征信息。2组样品在PCA图上分离明显,表明2组样品在香气特征上差异明显。由图5-b可知,LD1和LD2的累积贡献率高达100%,表明能够有效代表饼干样品的风味信息。2组样品在DFA图上无重叠部分,说明糯米山药皮的添加对饼干的香气特征具有很大影响。电子鼻的PCA及LDA均可对样品整体风味进行区分,表明2组样品在香气特征上具有显著性差异。

a-PCA图(A:普通饼干;B:糯米山药皮饼干);b-LDA图

图5 不同种类饼干电子鼻分析图
Fig.5 Analysis of electronic noses for different types of biscuits

2.6 糯米山药皮对饼干挥发性物质的影响

对2组饼干样品中检测出大量挥发性物质,可以用于有效区分2组饼干样品。HS-SPME-GC-MS检测挥发性物质结果见电子增强出版附表1(https://doi.org/10.13995/j.cnki.11-1802/ts.041418),结果显示共鉴定出了142种挥发性物质,普通饼干样品鉴定出84种挥发性物质,糯米山药皮饼干样品鉴定出108种挥发性物质,其中46种挥发性物质为2组饼干样品共有,38种挥发性物质只存在于普通饼干样品中,62种挥发性物质只存在于糯米山药皮饼干样品中,表明添加糯米山药皮能够较为显著地增加饼干中的风味化合物。

对检测出的挥发性物质进行分类,如图6所示,添加糯米山药皮后,饼干样品中酮类、醛类、醇类及酚类挥发性化合物数量减少,酯类、酸类、烃类及其他挥发性化合物数量增加,且增加数量相较于减少数量大,表明糯米山药皮的添加能够显著丰富饼干样品的风味,可能原因是糯米山药皮本身具有特殊的风味成分,也可能糯米山药皮在发酵、烘焙等过程中产生特殊的风味化合物。

a-挥发性物质种类;b-挥发性物质含量

图6 不同种类饼干挥发性物质种类及含量分析
Fig.6 Analysis of the types and contents of volatile substances in different types of biscuits

添加糯米山药皮后,饼干样品中酮类、醛类及酸类挥发性化合物含量减少,酮类、醇类、酯类、酚类、烃类及其他挥发性化合物含量增加,表明糯米山药皮的添加能够增加饼干样品的风味物质。其中醛类化合物含量减少最显著,主要表现为苯乙醛、2-辛烯醛、2-壬烯醛、4-乙基苯甲醛的含量减少。苯乙醛、2-辛烯醛主要存在于香草、香料中,也常用于烘焙食品中。醛类化合物是食品烘焙过程早期产生的主要挥发性化合物,来源途径主要有脂质氧化、氨基酸的变性等。糯米山药皮的添加使饼干样品醛类挥发性化合物含量减少可能是因为添加了糯米山药皮的饼干样品脂肪含量较不添加糯米山药皮的饼干样品低,饼干样品在发酵烘焙过程中产生的醛类化合物少,或糯米山药皮中某些特殊成分阻碍饼干样品烘焙过程中醛类化合物的产生。冯志强等[21]的研究表明乳酸菌发酵可使山药汁中风味物质的种类及含量显著变化,其中醛类下降了85.82%。刘慧娟等[22]的研究表明山药的挥发性成分可能与生物机体碳水化合物代谢紊乱相关疾病相关联。目前已经有研究将药用植物活性成分作为预防和治疗碳水化合物代谢紊乱相关疾病的新来源之一[23]

根据2组饼干样品中所有挥发性成分的浓度,利用PCA及OPLS-DA对其进行进一步的比较分析。由图7-a可知,PCA中,在饼干样品95%置信区间内,普通饼干样品与糯米山药皮饼干样品能够很好地分离,PC1和PC2分别解释了68.8%和22.2%的方差,累积贡献率为91.0%,基本覆盖了所有样本特征信息,说明糯米山药皮的添加对饼干样品中的挥发性物质具有显著影响。为了进一步区分普通饼干样品和糯米山药皮饼干样品,通过OPLS-DA模型分析所得数据,由图7-b可知,2组饼干样品被很好地区分在两侧。为避免过拟合,通过置换检验验证了OPLS-DA模型的可靠性,结果如图7-c所示。经过200次交叉验证,模型Q2的回归线穿过横坐标,截距为负(-0.769),所有替换检验R2Q2均低于原始值,表明模型没有过拟合度,所构建的OPLS-DA模型稳定可靠。

a-PCA图;b-OPLS-DA图;c-置换检验图

图7 不同种类饼干挥发性成分分析
Fig.7 Analysis of volatile components in different types of biscuits

3 结论

本研究完成糯米山药皮酥性发酵饼干的制备后,通过单因素试验和正交试验进行饼干制备工艺的优化,得出饼干制备的最佳工艺参数,分别为糯米山药皮添加15%、白砂糖添加16 g、酿酒酵母添加0.5 g、蛋黄液8 g、牛奶添加18 g、黄油添加8 g、发酵时间40 min,并将其应用于后续探究糯米山药皮对饼干品质特性影响探究实验的参数设定中。在糯米山药皮对饼干特性影响的探究实验中,实验结果表明:糯米山药皮的添加使饼干的风味得分显著提高,且2组饼干样品的香气特征具有显著差异,能够被电子鼻显著区分。糯米山药皮的添加使饼干挥发性化合物如酯类、烃类化合物的种类及数量增多,能够显著影响饼干的风味。与未添加糯米山药皮的饼干相比,添加糯米山药皮能够显著提高饼干的纤维素含量,由598.77 mg/g提高至773.54 mg/g,且能降低饼干的热量,并影响饼干面团面筋蛋白网络的形成,使饼干内部形成多孔结构。综上所述,糯米山药皮的添加能够显著提升饼干的风味品质,提高饼干的纤维素含量,改变饼干的内部结构。糯米山药皮酥性发酵饼干为特殊人群提供了更好的消费选择,具有广阔的市场前景,同时未来深入开发糯米山药及其副产物深加工产品,对经济和工业化活动的可持续发展及增加产品附加值具有重要意义[24]

参考文献

[1] YAO J L, ZHANG Q G, LIU M J.Utilization of apricot kernel skins by ultrasonic treatment of the dough to produce a bread with better flavor and good shelf life[J].LWT, 2021, 145:111545.

[2] MENG X L, HU W P, WU S K, et al.Chinese yam peel enhances the immunity of the common carp (Cyprinus carpio L.) by improving the gut defence barrier and modulating the intestinal microflora[J].Fish &Shellfish Immunology, 2019, 95:528-537.

[3] 高拦, 梁静怡, 李爱爱, 等.红薯渣不溶性膳食纤维改良面条品质及其消化特性的研究[J].中国粮油学报, 2024, 39(10):66-74.GAO L, LIANG J Y, LI A A, et al.Improvement of quality and digestive characteristics of noodles with insoluble dietary fibers of sweet potato residue[J].Journal of the Chinese Cereals and Oils Association, 2024, 39(10):66-74.

[4] SHEN Y, YANG L, PENG H, et al.Preparation of water-soluble dietary fiber from bamboo shoots by fungi fermentation and its supplementation in biscuits[J].Food and Bioproducts Processing, 2024, 147:507-517.

[5] MYSTKOWSKA I, E, SZEPELUK A, et al.Gluten-containing flours and gluten-free flours as a source of calcium, magnesium, iron and zinc[J].Scientific Reports, 2024, 14:14643.

[6] KAUR K D, JHA A, SABIKHI L, et al.Significance of coarse cereals in health and nutrition:A review[J].Journal of Food Science and Technology, 2014, 51(8):1429-1441.

[7] GUAN Y B, WANG Y Q, YANG X, et al.Effects of tannic acid on physicochemical properties of gluten-free flour and the underlying mechanisms[J].Food Hydrocolloids, 2025, 158:110508.

[8] DI CAIRANO M, CONDELLI N, CARUSO M C, et al.Use of underexploited flours for the reduction of glycaemic index of gluten-free biscuits:Physicochemical and sensory characterization[J].Food and Bioprocess Technology, 2021, 14(8):1490-1502.

[9] TREVISAN S, PASINI G, SIMONATO B.An overview of expected glycaemic response of one ingredient commercial gluten free pasta[J].LWT, 2019, 109:13-16.

[10] DI CAIRANO M, GALGANO F, TOLVE R, et al.Focus on gluten free biscuits:Ingredients and issues[J].Trends in Food Science &Technology, 2018, 81:203-212.

[11] NORMA V M, GARCA-ZEPEDA R A, MITZY BELÉN O H, et al.Gluten-free pasta as an alternative in the diet of patients with celiac disease[J].Journal of Food Science, 2024, 89(6):3384-3399.

[12] DADA M A, BELLO F A, OMOBULEJO F O, et al.Nutritional quality and physicochemical properties of biscuit from composite flour of wheat, African yam bean and tigernut[J].Heliyon, 2023, 9(11):e22477.

[13] RUTKOWSKA J, BARANOWSKI D, ANTONIEWSKA-KRZESKA A, et al.Comparison of storage-related volatile profiles and sensory properties of cookies containing xylitol or sucrose[J].Foods, 2023, 12(23):4270.

[14] UDOMKUN P, TANGSANTHATKUN J, INNAWONG B.Influence of process parameters on the physico-chemical and microstructural properties of rice crackers:A case study of novel spray-frying technique[J].Innovative Food Science &Emerging Technologies, 2020, 59:102271.

[15] 杨月欣. 中国食物成分表[M].北京:北京大学医学出版社, 2018.YANG Y X.Chinese Food Composition List[M].Beijing:Peking University Medical Press, 2018.

[16] WU Q, TAN J Y, QIN J B, et al.Inhibitory effect of LSOPC on AGEs formation and sensory quality in cookies[J].Frontiers in Nutrition, 2022, 9:1064188.

[17] LIU X H, ZHU X, ZHU Y, et al.Effect of cellulase on dough structure and quality characteristics of tough biscuits enriched with potato whole flour[J].Journal of Food Science, 2024, 89(6):3484-3493.

[18] 于书蕾, 姜鹏飞, 王丹, 等.糯米粉对海绵蛋糕烘焙品质及老化特性的影响[J].食品与机械, 2023, 39(12):29-37.YU S L, JIANG P F, WANG D, et al.Effects of glutinous rice flour on the baking and aging characteristics of sponge cake[J].Food &Machinery, 2023, 39(12):29-37.

[19] REN Y, YAKUBOV G E, LINTER B R, et al.Development of a separated-dough method and flour/starch replacement in gluten free crackers by cellulose and fibrillated cellulose[J].Food &Function, 2021, 12(18):8425-8439.

[20] 刘砚耕, 李辉, 高琦, 等.山药皮粉的物化特性及其对馒头品质的影响[J].食品研究与开发, 2016, 37(24):1-5.LIU Y G, LI H, GAO Q, et al.The physicochemical properties of yam peel powder and its effects to the quality of steamed bread[J].Food Research and Development, 2016, 37(24):1-5.

[21] 冯志强, 张宇, 田维志, 等.乳酸菌发酵前后山药汁营养功能成分及风味物质的变化[J].现代食品科技, 2024, 40(8):294-301.FENG Z Q, ZHANG Y, TIAN W Z, et al.Changes in nutritional functional components and flavor substances of yam juice before and after lactic acid bacteria fermentation[J].Modern Food Science and Technology, 2024, 40(8):294-301.

[22] 刘慧娟, 曹富, 郭晓军, 等.HS-GC-MS结合代谢组学分析不同产地山药的挥发性成分[J].长治医学院学报, 2024, 38(3):161-167.LIU H J, CAO F, GUO X J, et al.Analysis of volatile components of Chinese yam from different origins by HS-GC-MS combined with metabolomics[J].Journal of Changzhi Medical College, 2024, 38(3):161-167.

[23] CHEBARO Z, MESMAR J E, BADRAN A, et al.Halophila stipulacea:A comprehensive review of its phytochemical composition and pharmacological activities[J].Biomolecules, 2024, 14(8):991.

[24] 刘玉红, 陈丽萍, 徐明飞, 等.文成糯米山药品质指标调查分析[J].浙江农业科学, 2024, 65(9):2174-2178.LIU Y H, CHEN L P, XU M F, et al.Investigation and analysis of the quality indicators for Wencheng waxy yam[J].Journal of Zhejiang Agricultural Sciences, 2024, 65(9):2174-2178.

Development of gluten-free biscuits based on waxy yam peel and its effects on volatile substances in biscuits

ZHU Tianchen1, ZHUANG Hanxiao1, ZHANG Tianzhu1,2, SUN Jinyue1, ZHOU Wenwen1*

1(College of Biosystems Engineering and Food Science, Zhejiang University, Hangzhou 310058, China)2(College of Pharmacy, Chongqing Medical and Pharmaceutical College, Chongqing 401331, China)

ABSTRACT As a by-product of Zhejiang Wencheng waxy yam, waxy yam peel contains much dietary fiber and other functional components.To optimize the processing technology of waxy yam peel crispy fermented biscuits and explore the influence of waxy yam peel on the quality characteristics of biscuits, waxy yam peel was added to the biscuits.Single-factor experiments and orthogonal experiments were used to optimize the process of waxy yam crispy fermented biscuits.The flavor characteristics of biscuits were analyzed through sensory evaluation, electronic nose, and headspace solid-phase microextraction combined with gas chromatography-mass spectrometry, the cellulose content of biscuits was measured by trace method and the microstructure of biscuits was analyzed by scanning electron microscopy.The optimal process parameters for making waxy yam peel crispy fermented biscuits were 15% waxy yam peel, 32% white sugar, 1% brewing yeast, 16% egg yolk liquid, 36% milk, and 16% butter with a fermentation time of 40 min.The addition of waxy yam peel significantly improved the flavor score of the biscuits, and their aroma characteristics were significantly different from ordinary biscuits.The flavor was enhanced with the increase in the types and quantities of esters and hydrocarbon compounds.The addition of waxy yam peel significantly increased the cellulose content of biscuits to 174.77 mg/g (P<0.05), and changed the structure of biscuits, increasing the number of internal pores.Therefore, a low-calorie high-aroma gluten-free biscuit adding waxy yam peel was developed and a new commercial approach for the reuse of waxy yam peel was also provided with broad application prospects.

Key words waxy yam peel;biscuit;process optimization;flavour substances;cellulose;microstructure

DOI:10.13995/j.cnki.11-1802/ts.041418

引用格式:朱恬琛,庄晗笑,张天竹,等.基于糯米山药皮的无麸质饼干研制及其对挥发性物质的影响[J].食品与发酵工业,2025,51(19):299-306.ZHU Tianchen, ZHUANG Hanxiao, ZHANG Tianzhu, et al.Development of gluten-free biscuits based on waxy yam peel and its effects on volatile substances in biscuits[J].Food and Fermentation Industries,2025,51(19):299-306.

第一作者:硕士研究生(周文文副教授为通信作者,E-mail:vivianzhou11@zju.edu.cn)

基金项目:浙江省温州市文成县科技局项目(Zdwc2307)

收稿日期:2024-10-25,改回日期:2024-12-16