响应面法优化差压预冷最佳参数对灵武长枣贮藏品质的影响

陶胜1,张瑞1,李宇航1,庞玲玲2,陈兰3,姜瑜倩1*,李喜宏1*

1(天津科技大学 食品科学与工程学院,天津科技大学省部共建食品营养与安全国家重点实验室,天津,300457)2(中国农业科学院农产品加工研究所,北京,100081)3(天津商业大学,工程热物理基础及工程国际联合研究中心,天津,300133)

摘 要 针对传统静止预冷冷却速度慢、冷却均匀度低,进而导致采后贮藏品质不佳等问题,该研究以灵武长枣为试材,采用响应面法优化确定最佳差压预冷参数,并探究了该预冷方式对灵武长枣贮藏品质的影响。结果表明,在送风温度0 ℃、风速1.5 m/s、打孔直径25 mm、周转筐间距100 mm条件下预冷效果最佳,预冷效率和冷却均匀度达到5.74 h和0.106。贮藏实验表明,差压预冷可显著降低灵武长枣失重率、维持果实良好外观色泽、延缓果实转色,同时抑制呼吸强度、延缓果实衰老进程,维持较高的可溶性固形物及可滴定酸含量。此外,差压预冷还显著降低了灵武长枣纤维素酶、β-半乳糖苷酶以及多聚半乳糖醛酸酶的活性,延缓了细胞壁降解,抑制了果实软化,有效改善了灵武长枣贮藏品质。该研究为灵武长枣贮藏提供了一种高效、节能、普适的预冷处理方式,对灵武长枣的产业发展具有重要的意义,同时为大宗果蔬物流、贮藏保鲜提供理论基础。

关键词 灵武长枣;响应面法;差压预冷;贮藏品质;应用价值

预冷是冷链物流、贮藏保鲜的第一步,也是影响果蔬采后品质的最关键环节。果蔬采后仍为活的有机体,多种代谢活动有序进行,且温度越高果蔬呼吸速率越高、水分散失越快,加剧了果蔬采后品质劣变。采后预冷,可通过去除果蔬附带的田间热、降低果蔬自身温度,而达到延缓采后代谢进程,维持营养物质水平的效果[1]。因此,预冷方式的选择,特别是预冷速率、冷却均匀度等对果蔬采后物流、贮藏品质的保障尤为重要。

灵武长枣是宁夏独有地方优势特色产业,是国家农产品地理标志产品。但是采后24 h常温贮藏失水5%以上,贮藏品质及营养价值下降,5~7 d出现软化腐烂现象,几乎丧失食用价值和商品价值。快速预冷是改善灵武长枣贮藏品质的关键保鲜技术。其中,差压预冷技术通过在果蔬包装箱内外两侧形成压力差,促使冷空气快速均匀地从高压向低压流动,从而达到降温效果[2]。研究表明,差压预冷不仅能够迅速降低果蔬的温度,还能最大程度地减少水分损失,保持果蔬的新鲜度、口感和营养成分[3]。冯雅蓉等[4]研究结果显示,差压预冷在提高甜樱桃采后耐贮性和抗氧化物质合成方面显著优于其他方式;水蜜桃在采后3 h内进行差压预冷可维持较高的可溶性固形物(total solution solids,TSS)、可滴定酸(titratable acid,TA)、维生素C和总酚的含量,提高其贮藏品质,延长货架期[5];同时,差压预冷可提高油桃的贮运品质和抗氧化性,是实际生产中宜采用的预冷方式[6];唐月明等[7]对韭薹差压预冷后的品质展开研究,发现差压预冷不仅能有效地缩短预冷时间,还能降低韭薹的呼吸强度及腐烂率,维持韭薹贮藏期间的色泽。

本研究以灵武长枣为试材,采用大帐简约差压预冷技术,通过设计响应面试验重点研究大帐不同打孔直径、不同周转筐间距、预冷风速、预冷温度变化对样品预冷时间、冷却均匀度的影响,明确灵武长枣最佳差压预冷条件,并探究灵武长枣在最佳预冷条件下色泽、呼吸、失重等贮藏品质及细胞壁代谢的变化规律。

1 材料与方法

1.1 材料与仪器

灵武长枣采摘于宁夏回族自治区灵武市当地枣园,树下装箱空运至天津科技大学冷库。

FLUKE-2638A温度记录,亿佰科技(深圳)有限公司;QDF-6(A)智能热球便携式手持风速仪,青岛精诚仪器仪表有限公司;CX-BA称重传感器,东莞市亨美电器有限公司;FS-GH100果蔬呼吸测定仪,山东莱恩德智能科技有限公司;AK002高精度数显糖度计,深圳市测友科技有限公司;HPA果实硬度计,乐清市艾德堡仪器有限公司。

1.2 实验方法

1.2.1 样品前处理

选择成熟度相似、大小均匀、无机械损伤和病虫害的灵武长枣作为试验样品。每筐样品称取约5 kg,平整均匀地置于周转筐内,并记录预冷前实际质量。周转筐(60 mm×30 mm×20 mm)以2筐×2筐×2筐的方式摆放,即共8筐样品。码垛完成后,将聚乙烯塑料大帐(160 cm×100 cm×80 cm)罩于周转筐外,塑料大帐四面打孔,顶部不打孔,风机安装于大帐顶部中心,风向和气流方向如图1所示。塑料大帐置于相温库内(温度波动±0.1 ℃)。

图1 灵武长枣塑料大帐差压预冷结构示意图
Fig.1 Schematic diagram of plastic large tent differential pressure precooling for Lingwu long jujubes

1.2.2 单因素试验

设定相温库内相对湿度为90%左右,不同塑料大帐用打孔器打孔,打孔直径分别为20、25、30 mm(四周孔隙率为3.34%、5.22%、7.51%);周转筐间距为0、50、100 mm;风机风速为0.5、1.0、1.5 m/s;送风温度为-2、0、2 ℃,以无风机无大帐,敞开包装箱的静止预冷为对照组,记为CK,差压预冷处理为试验组。在进行单因素试验时,需要控制其他因素不变,以确保试验结果仅受所研究的单一因素影响。

1.2.3 响应面试验

根据单因素试验结果,以预冷时间与冷却均匀度为响应值,开展打孔直径、周转筐间距、送风速度和送风温度的Box-Behnken试验,分析以上4种因素对于长枣差压预冷效果的影响。水平设计如表1所示。

表1 响应面因素水平设计
Table 1 Horizontal design of response surface factors

水平因素打孔直径/mmA周转筐间距/mmB送风速度/(m/s)C送风温度/℃D-12000.5-2025501.001301001.52

1.2.4 贮藏实验

预冷结束后取出最优预冷条件下与静止预冷下的2组果实置于(4±1) ℃的冷库中贮藏,每隔5 d观察并测定1次相关指标。

1.3 测定指标

1.3.1 果心温度

将长枣置于冷库中预冷15 h,将温度记录仪的金属探头深入果实3~4 mm(注意避免过深接触到枣核),每0.5 h记录1次数据并绘制降温曲线。

1.3.2 冷却均匀度(σ)

冷却均匀度越大表明冷却均匀度越差,预冷越不均匀,σ的值为0时达到理想状态,表明所有样品均处于绝对的同一温度下,其计算如公式(1)、公式(2)[8]所示:

(1)

(2)

式中:σ表示冷却均匀度;ti表示周转框中第i个所测量的长枣的温度;n表示试验中所取的长枣的个数;表示聚乙烯塑料大帐内所测量的所有长枣的总平均温度。

1.3.3 失重率

采用称重法,测量果实质量,按公式(3)计算失重率:

失重率

(3)

1.3.4 呼吸强度

采用呼吸强度测试仪测定,参照DU等[9]方法测量与计算。

1.3.5 可溶性固形物含量

取适量的枣果研磨匀浆,使用手持折光仪进行测定,结果以%表示。

1.3.6 可滴定酸含量

采用酸碱滴定法测定,取样品10 g置于研钵中研碎,转移至100 mL容量瓶中,用蒸馏水定容,混合均匀,以0.1 mol/L NaOH溶液为滴定溶液,酚酞指示剂为显色剂进行测定,重复3次。

1.3.7 硬度

采用果实硬度计进行测定,每次取10个长枣将赤道区域去皮,均匀选择3个位置用于硬度测定,测定3次,取平均值为果实硬度值,测定结果用N表示。

1.3.8 纤维素酶(cellulase,Cx)活性

参照候德华等[10]的方法略有修改。通过测定Cx催化形成还原糖的量来测定Cx活性。其活性以每小时每克样品在37 ℃催化羧甲基纤维素水解形成还原糖的质量表示,μg/(h·g)。

1.3.9 β-半乳糖苷酶(β-galactosiolase,β-GAL)活性

参照陈国梁等[11]的方法略有修改。以对-硝基苯-β-D-吡喃半乳糖苷为底物,以每克组织每小时产生1 nmol对-硝基苯酚定义为一个酶活力单位,结果以U/g表示。

1.3.10 多聚半乳糖醛酸酶(polygalacturonase, PG)活性

参照王娟等[12]的方法略有修改。PG活性以每小时每克样品在37 ℃催化多聚半乳糖醛酸生成半乳糖醛酸的质量表示,μg/(h·g)。

1.4 数据处理

本试验每组数据平行测定3次。应用Excel、Spss、Design-Expert 13进行数据处理并对试验数据进行系统整理与分析,使用Origin 2021绘制数据图。

2 结果与分析

2.1 不同因素对灵武长枣预冷时间及冷却均匀度的影响

如图2-A~图2-D所示,随着预冷时间的延长,各组果心温度均呈下降趋势。其中,大帐孔径25 mm(图2-A),周转筐间距100 mm(图2-B),风速1.5 m/s(图2-C),以及送风温度-2 ℃(图2-D)时,各单一处理枣果降温效果均最好。由图2-A可知,打孔组预冷效率均高于空白组,且随着孔径增大预冷效率先增大后降低,可能是因为当大帐打孔直径为25 mm时,大帐内部既可保证相对气密性、因顶部风机抽吸形成压差,又可提供充分冷空气、加速冷热交换[13]。然而,孔径过小、气流交换速率慢,孔径过大,气流过于分散致使大帐内外压强差降低,气流交换动力不足,从而降低果实降温速率。由图2-B可知,周转筐间距越小,空气流动性越差,使冷空气与果实的热量交互越差,从而预冷效率越低[14]。对风速而言,送风速度越快,预冷效率越高,风速的增加有效改善了框内气体的流动性,风速越大,单位时间内冷空气带走的热量越多,预冷时间越快。但以往研究表明风速不宜超过2 m/s,过大风速容易造成果蔬的干耗[15];送风温度的变化对差压预冷的预冷效率影响较为明显,研究发现,-2 ℃送风温度预冷效率最高,但该条件下部分果实出现了冷害现象。

A-打孔直径对果心温度影响;B-周转筐间距对果心温度的影响;C-送风速度对果心温度的影响;D-送风温度对果心温度的影响;
a-不同孔径下大帐内的冷却均匀度;b-不同间距下大帐内的冷却均匀度;c-不同风速下大帐内的冷却均匀度;d-不同温度下大帐内的冷却均匀度

图2 不同因素对灵武长枣预冷效果及冷却均匀度的影响
Fig.2 Effects of different factors on the precooling effect and cooling uniformity of Lingwu long jujube

冷却均匀度是差压预冷效果的直观反应[16-17],图2-a~图2-d展示了在预冷过程中大帐内冷却均匀度随时间的变化情况,随着贮藏时间的延长,各组果实冷却均匀度变化趋势均为先上升后下降,在6~8 h达到峰值后开始缓慢下降并趋于稳定。该变化趋势可能是由于果实刚放进冷库时,冷空气在大帐内分布不均,底层长枣最先受到冷空气交互作用进而温度下降速度快,导致了顶部与底部长枣温差较大,冷却均匀度增大,后期随着预冷时间延长,不同位置枣果温差逐渐降低,冷却均匀度则逐渐降低并趋于平稳。对孔径大小而言,随着孔径增大冷却均匀度先增大后减小,这与果心温度的变化是一致的。周转筐间距的增大会引起冷风扩散增强,提高冷风来流方向的温度分布均匀性,从而影响整体的冷却均匀度。对于送风速度而言,风速越大,冷热传递效率越高,长枣所接触到的冷空气量也就越多,长枣的预冷效果就更加均匀。当送风温度为-2 ℃时,热交换速率相对更稳定,长枣与冷却介质之间的温差较大,这使得热量传递的驱动力更强,从而更有利于热量的快速、均匀散失。预冷后期,果实的温度都降低并且数值接近,冷空气分布相对均匀,所以其冷却均匀度逐步升高并趋于稳定。

2.2 响应面试验

2.2.1 响应面试验设计

为了更加深入的研究各因素对长枣的预冷时间和冷却均匀度的影响,根据Box-Behnken的中心组合试验设计原理进行响应面试验设计,以预冷时间以及冷却均匀度为响应值,用Design-Expert 13对表2中数据进行分析,其中,表3为预冷时间的方差分析及显著性检验,表4为冷却均匀度的方差分析及显著性检验。由F值可知(表3),各个因素对预冷时间的影响顺序为:D>B>C>A,其中一次项BCD和二次项A2B2C2D2以及交互项BCBD对预冷时间有极显著影响(P<0.01)。各个因素对冷却均匀度的影响顺序为:D>C>B>A(表4)。其中交互项AC和二次项A2B2C2D2对冷却均匀度有极显著影响(P<0.01)。

表2 Box-Behnken响应面实验设计结果
Table 2 Box-Behnken response surface experimental design results

试验号A(打孔直径)/mmB(周转筐间距)/mmC(送风速度)/(m/s)D(送风温度)/℃R1(预冷时间)/hR2(冷却均匀度)13001010.960.214220501212.460.197330501.5010.220.183425501.5211.370.205525501.5-28.910.22562550106.740.156730501210.280.181830500.509.130.238925500.5-29.780.178102501210.750.2271130100109.170.2231220501-210.450.22213251001-28.080.235142550106.780.14415201001011.680.245162550106.940.14717251001.5010.860.2131825500.5210.680.2251920500.5012.370.194202501-2100.201212001011.960.2422220501.5010.570.253232550106.580.134242500.5011.970.22525251000.508.890.26626251001211.430.208272550106.740.136282501.5010.390.2532930501-29.130.188

表3 预冷时间回归模型方差分析表
Table 3 Analysis of variance table for precooling time regression model

系统来源平方和自由度均方F值P值显著性模型88.96146.42165.45<0.000 1**A1.3311.3334.34<0.000 1nsB8.5918.59221.12<0.000 1**C3.3013.3084.920.575 4**D9.3619.36241.16<0.000 1**AB0.57010.57014.680.009 6*AC2.0912.0953.78<0.000 1nsAD0.184 910.18517.780.109 6nsBC3.3313.3333.42<0.000 1**BD2.3612.363.340.000 1**CD0.608 410.6088.540.007 8*A230.46130.4691.73<0.000 1**B224.87124.87353.76<0.000 1**C220.42120.42302.78<0.000 1**D216.47116.47120.68<0.000 1**残差0.543 6140.039失拟0.477 6100.0482.900.067 8ns纯误差0.065 940.016 5总误差90.4828拟合度R2=0.990 1信噪比AP=31.669 7变异系数C.V.=2.56%校正系数R2adj=0.980 3

注:**表示差异极显著(P<0.01),*表示差异显著(P<0.05),ns表示差异不显著(P>0.05),(下同)。

表4 冷却均匀度回归模型方差分析表
Table 4 Analysis of variance table for cooling uniformity regression model

系统来源平方和自由度均方F值P值显著性模型0.036 1140.036 129.22<0.000 1**A3.00E-0613.00E-060.032 10.862 2nsB3.00E-0613.00E-060.034 00.856 3nsC0.000 110.000 10.741 00.403 8nsD0.001 310.001 315.010.001 7*AB9.00E-0619.00E-060.102 10.754 1nsAC0.003 210.003 236.85<0.000 1**AD0.000 110.000 10.918 70.354 1nsBC0.001 610.001 618.600.000 7*BD0.000 710.000 77.960.013 6*CD0.001 110.001 112.730.003 1*A20.006 810.006 877.35<0.000 1**B20.018 910.018 9213.93<0.000 1**C20.001 510.001 5130.86<0.000 1**D20.003 010.003 033.77<0.000 1**残差0.001 2140.038 8失拟0.000 9100.047 81.170.478 7ns纯误差0.000 340.016 5总误差0.037 328拟合度R2=0.966 9信噪比AP=17.500 5变异系数C.V.=4.57%校正系数R2adj=0.933 8

2.2.2 响应面图分析

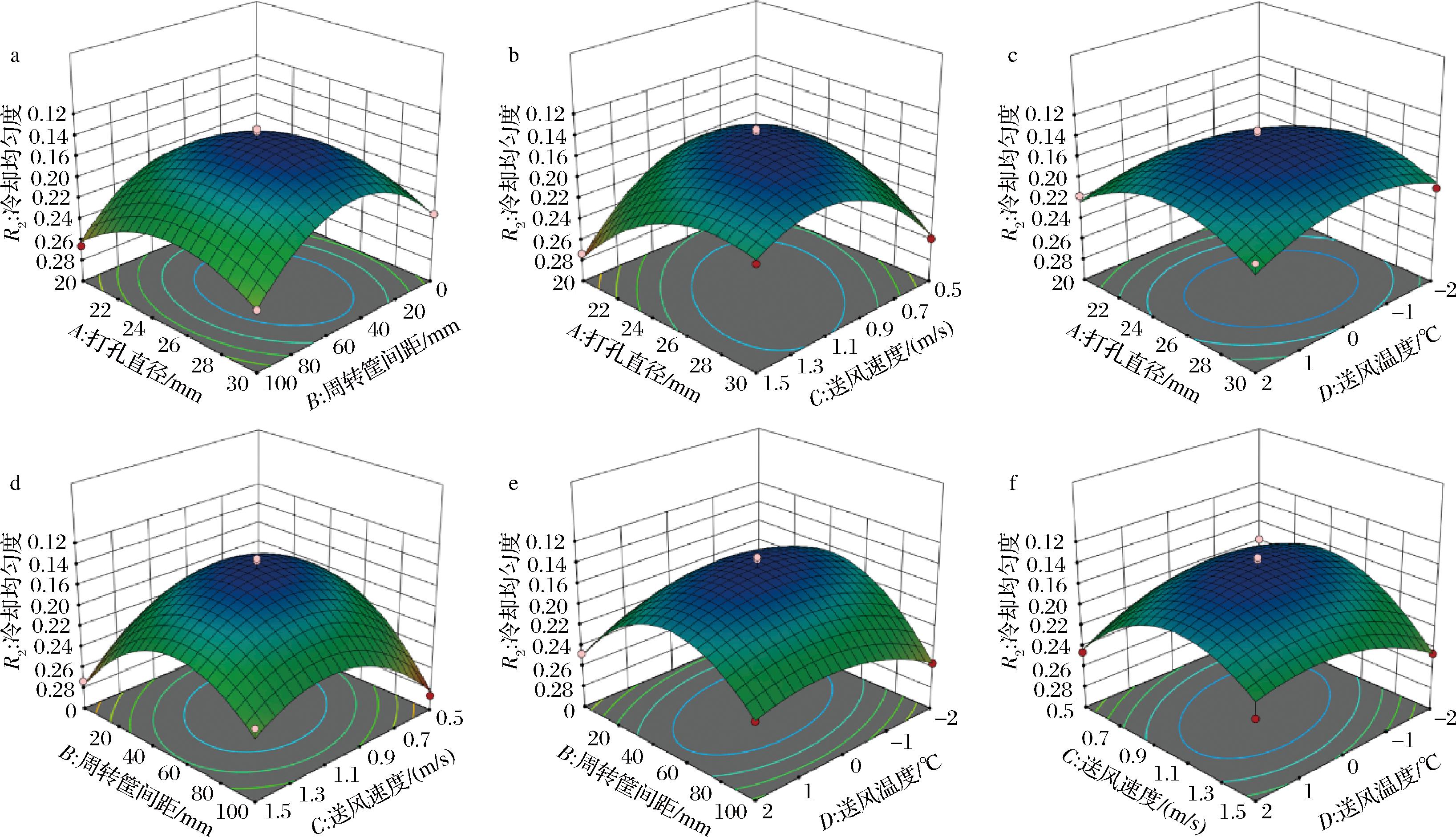
各因素交互作用对预冷时间的影响如图3所示,对冷却均匀度的影响如图4所示,响应面的顶点表示在所选范围内存在极值,曲面的斜率表明因素间的交互作用强度及对响应值的影响,当曲面坡度越陡峭,表示两两交互作用越显著,如图3-a、图3-d、图3-e和图3-f的曲面较为陡峭,说明ABBCBDCD交互作用对响应值影响显著,图3-b和图3-c的曲面较为平缓,说明ACAD交互作用对响应值影响不显著,图4-b、图4-d、图4-e和图4-f的曲面较为陡峭说明ACBCBDCD交互作用对响应值影响显著,图4-a和图4-c的曲面较为平缓说明ABAD交互作用对响应值影响不显著,这与表4 P值分析的结果相同。

a-打孔直径与周转筐间距;b-打孔直径与送风速度;c-打孔直径与送风温度;d-周转筐间距与送风速度;e-周转筐间距与送风温度;f-送风速度与送风温度

图3 两因素间交互作用对预冷时间的响应面图
Fig.3 Response surface plot of the interaction between the two factors to the precooling time

a-打孔直径与周转筐间距;b-打孔直径与送风速度;c-打孔直径与送风温度;d-周转筐间距与送风速度;e-周转筐间距与送风温度;f-周转筐间距与送风温度

图4 两因素间交互作用对冷却均匀度的响应面图
Fig.4 Response surface plot of the interaction between the two factors to the cooling uniformity

2.2.3 响应面最佳参数验证

根据模型预测出预冷时间与冷却均匀度的最佳参数为:打孔直径26.063 mm,周转筐间距92.694 mm,送风速度1.374 m/s,送风温度-1.873 ℃,考虑到试验操作的便利性以及送风温度过低时会造成果蔬的冷害,不利于长枣后期的贮藏,故最佳的预冷条件组合如下:打孔直径设定为25 mm,周转筐的间距调整为100 mm,送风速度保持在1.5 m/s,而送风温度则为0 ℃。这一组条件共同作用下,能够实现最优的预冷效果。在最优参数条件下进行3次重复试验,所得预冷时间为5.74 h,冷却均匀度为0.106。与模型预测值误差较小,说明响应面模型的预测值与实验值拟合度较好。

2.3 静止预冷与差压预冷对灵武长枣预冷效果的对比及应用价值分析

以预冷至0 ℃为例,在响应面法优化后的最佳参数条件下,预冷时间仅需5.74 h(图5-a),较传统静止预冷效率提高2倍左右,由图5-b可知优化后差压预冷组的冷却均匀度为0.106,较静止预冷(0.414)降低74.40%;由此可见,采用塑料大帐进行差压预冷能够明显增加冷热传递效率,减少果蔬预冷所需要的时间,使果蔬预冷更加均匀。

a-预冷时间;b-冷却均匀度

图5 最优条件下差压预冷与传统静止预冷效果
Fig.5 Effect of differential pressure precooling and traditional static precooling under optimal conditions

由表5可知,简约式差压预冷设备的成本约为8.45元,预冷至0 ℃耗时5.74 h,风机与冷库总耗电量为7.25 kW·h,而传统静止预冷虽不需额外投入差压设备,但其预冷时间延长至14.86 h,同时增加了约1.5倍耗电量(18.57 kW·h),且2种预冷方式均适用于大宗果蔬。由此可见,简约式差压预冷虽初始成本较高,但预冷快、能耗低,可减少果蔬品质损耗,利于保鲜运输。传统静止预冷无需额外设备却耗时久、耗电多。差压预冷在大宗果蔬预冷中更高效,具推广价值,助力果蔬产业发展。

表5 差压预冷与传统静止预冷应用价值对比
Table 5 Comparison of application value between differential pressure precooling and traditional static precooling

预冷方式材料单价本实验总价预冷至0 ℃耗时预冷至0 ℃能耗适用范围差压预冷轴流风机5元/个5元塑料大帐0.6元/m23.45元5.74 h7.25 kW·h大宗果蔬传统静止预冷———14.86 h18.57 kW·h大宗果蔬

2.4 最优差压预冷对灵武长枣贮藏品质的影响

2.4.1 最优差压预冷对灵武长枣外观及色值的影响

色泽是反映果实新鲜度和商品价值的关键指标[18]。如图6-a所示,差压预冷显著延缓了灵武长枣贮藏过程中的转色,贮藏20 d时,静止预冷枣果全部转红,而差压预冷条件下,灵武长枣转红率约95%。如图6-b所示,在整个贮藏过程中,2组灵武长枣L*值均呈下降趋势,自贮藏10 d后,处理组L*值显著高于对照组(P<0.05),表明差压预冷可有效维持果实色泽,延缓果实变暗,贮藏30 d时,其L*值比对照组高1.02。如图6-c所示,在贮藏期间,各组果实的a*值持续增加,贮藏前期,2组a*值差异不显著;贮藏30 d时,处理组a*值较对照组小1.76,显著抑制了a*值的增加。

a-灵武长枣贮藏期外观变化;b-灵武长枣L*值的变化;c-灵武长枣a*值的变化

图6 最优差压预冷对灵武长枣贮藏期间外观及色值的影响
Fig.6 Effect of optimal differential pressure precooling on appearance and color value of Lingwu long jujube during storage

注:同组数据中不同小写字母表示差异显著(P<0.05)(下同)。

2.4.2 最优差压预冷对灵武长枣呼吸强度及失重率的影响

图7-a反映了灵武长枣贮藏30 d的呼吸强度变化,随着贮藏时间的延长,枣果呼吸强度呈现先下降后上升的趋势。这可能是因为初期较低温度可以抑制相关代谢酶的活性,降低呼吸强度,而贮藏末期果实逐渐衰老,细胞结构和功能受到破坏,导致呼吸强度略有上升[19]。如图7-b所示,灵武长枣的失重率随着贮藏时间的延长呈升高的趋势,但差压预冷组的失重率显著低于(P<0.05)静止预冷组,贮藏30 d时,处理组失重率比对照组低13.49%。结果表明,差压预冷能够有效地控制灵武长枣贮藏过程中的呼吸水平,降低长枣的失重率,减少水分的散失,从而保持长枣的质量和品质。

a-呼吸强度;b-失重率

图7 最优差压预冷对果实贮藏期呼吸强度、失重率的影响
Fig.7 Effect of optimal differential pressure precooling on respiration intensity and weight loss rate during fruit storage

2.4.3 最优差压预冷对灵武长枣风味变化的影响

TSS和TA是决定果蔬风味的重要物质[20]。图8为不同预冷处理条件下,灵武长枣在4 ℃贮藏过程中TSS与TA含量的变化。随着贮藏时间的延长,各组TSS与TA含量均呈下降趋势,贮藏30 d时,差压预冷组的TSS含量为19.1%,显著高于静止预冷组18.3%(P<0.05),TA含量为0.37%,显著高于静止预冷组0.34%(P<0.05),结果表明,差压预冷处理能够抑制TSS与TA质量分数下降,这可能是差压预冷的预冷效率较高,可以短时快速抑制果实的生理代谢作用,从而减少糖类与有机酸的消耗,减少营养成分的损失。

a-TSS含量;b-TA含量

图8 最优差压预冷对果实贮藏期TSS、TA含量的影响
Fig.8 Effect of optimal differential pressure precooling on the contents of TSS and TA during fruit storage

2.4.4 最优差压预冷对灵武长枣硬度及相关酶活性的影响

如图9-a所示,随着贮藏时间的延长,各组果实硬度均呈现下降趋势。贮藏30 d时,处理组果实硬度显著高于对照组(P<0.05),此现象表明差压预冷能够有效延缓灵武长枣贮藏过程中的软化进程。枣果的软化是由多种细胞壁降解酶协同作用引起的,其中,Cx作为一种常见的细胞壁水解酶,其活性通常与羧甲基纤维素的水解能力相关[21]。如图9-b所示,贮藏初期,各组Cx活性均处于较低水平,随着贮藏时间的延长,其活性不断升高,但差压预冷组枣果Cx活性始终低于静止预冷组,特别是贮藏20 d后,两者酶活性差异显著(P<0.05)。β-GAL促使细胞壁果胶物质降解,果胶是维持细胞壁结构完整性的重要成分之一,果胶的降解会破坏纤维素-果胶网络结构,导致果实软化[22]。如图9-c所示,各组β-GAL活性变化均为先升后降趋势,但差压预冷组枣果酶活性显著低于静止预冷组(P<0.05),贮藏10 d时,处理组β-GAL活性较空白组降低约20%,这表明差压预冷可有效抑制β-GAL活性,进而维持纤维素-果胶网络的完整性。在枣果贮藏中后期,PG对细胞壁多糖的水解软化起到至关重要的作用,PG活性越高,细胞间的连接越松散,果实硬度急剧下降,从而出现软化现象[23]。如图9-d所示,2组PG活性均呈现先上升后下降趋势,贮藏15 d时,PG活性达到峰值,此时差压预冷处理组PG活性比空白组低约30%,且后期贮藏过程中,处理组PG活性均显著低于空白组(P<0.05)。众所周知,在枣果贮藏过程中,Cx、β-GAL与PG通过协同催化细胞壁中的半乳糖残基、α-1,4-糖苷键等,促进羧甲基纤维素及果胶等物质的降解,从而促进果实软化[24]。本研究中差压预冷处理显著降低了灵武长枣贮藏过程中Cx活性、β-GAL活性以及PG活性(P<0.05),维持了灵武长枣的硬度。可见,差压预冷可以有效延缓灵武长枣贮藏过程中软化。

a-硬度;b-Cx活性;c-β-GAL活性;d-PG活性

图9 最优差压预冷对果实贮藏期硬度、CX活性、β-GAL活性、PG活性的影响
Fig.9 Effects of optimal differential pressure precooling on fruit hardness, CX activity, β-GAL activity, and PG activity during storage

3 结论

差压预冷技术是一种广泛应用于水果、蔬菜等产品的预冷技术。本研究以灵武长枣为试材,采用单因素及响应面试验可得灵武长枣最佳预冷参数组合为大帐打孔25 mm、周转筐相隔100 mm、风速1.5 m/s、送风温度0 ℃。在最佳差压预冷条件下,果实从17 ℃降至0 ℃,预冷时间为5.74 h,冷却均匀度0.106;在30 d贮藏期内,差压预冷技术延缓了灵武长枣的转色,降低了果实的失重率和呼吸强度,维持了TSS和TA的含量,同时显著降低了细胞壁代谢相关酶(Cx、β-GAL和PG)的活性,使得灵武长枣在贮藏期间维持了较高的硬度,延缓了果实的软化。

参考文献

[1] DUAN Y, WANG G B, FAWOLE O A, et al.Postharvest precooling of fruit and vegetables:A review[J].Trends in Food Science &Technology, 2020, 100:278-291.

[2] 董庆鑫, 矫佳伟, 杨大恒, 等.冷链物流中预冷技术及其对果蔬品质影响的研究进展[J].冷藏技术, 2023, 46(4):78-82.DONG Q X, JIAO J W, YANG D H, et al.Research progress of precooling technology in cold chain logistics and its influence on fruit and vegetable quality[J].Journal of Refrigeration Technology, 2023, 46(4):78-82.

[3] 王璇, 陈爱强, 刘昊东, 等.差压预冷技术与装备在果蔬冷链物流中的应用[J].保鲜与加工, 2020, 20(4):215-219.WANG X, CHEN A Q, LIU H D, et al.Application of differential pressure pre-cooling technology and facility in cold chain logistics of fruits and vegetables[J].Storage and Process, 2020, 20(4):215-219.

[4] 冯雅蓉, 杜俊杰.预冷方式对甜樱桃采后耐贮性及新橙皮苷代谢的影响[J].食品科学, 2023, 44(15):239-250.FENG Y R, DU J J.Effects of precooling treatments on postharvest storability and neohesperidin metabolism in sweet cherries[J].Food Science, 2023, 44(15):239-250.

[5] 安容慧, 陈兴开, 常子安, 等.采后不同时间压差预冷对水蜜桃货架品质和香气成分的影响[J].食品工业科技, 2024, 45(9):317-324.AN R H, CHEN X K, CHANG Z A, et al.Effect of forced-air pre-cooling at different postharvest time on shelf quality and aroma components of honey peach[J].Science and Technology of Food Industry, 2024, 45(9):317-324.

[6] 焦旋, 高阳, 高振峰, 等.压差预冷对油桃贮运品质及抗氧化性的影响[J].食品与发酵工业, 2020, 46(22):173-179.JIAO X, GAO Y, GAO Z F, et al.Improving quality and antioxidant capacity of nectarine by forced-air precooling during storage and transportation[J].Food and Fermentation Industries, 2020, 46(22):173-179.

[7] 唐月明, 罗静红, 罗芳耀, 等.预冷方式对韭薹货架期品质的影响[J].食品科技, 2023, 48(8):23-28.TANG Y M, LUO J H, LUO F Y, et al.Effect of pre-cooling methods on quality of chives stem during shelf-life[J].Food Science and Technology, 2023, 48(8):23-28.

[8] 解海卫, 张晶, 张艳, 等.苹果差压预冷均匀性的实验研究[J].食品研究与开发, 2019, 40(5):42-47.XIE H W, ZHANG J, ZHANG Y, et al.Experimental research on uniformity of differential pressure precooling of apple[J].Food Research and Development, 2019, 40(5):42-47.

[9] DU M J, JIA X Y, LI J K, et al.Regulation effects of 1-MCP combined with flow microcirculation of sterilizing medium on peach shelf quality[J].Scientia Horticulturae, 2020, 260:108867.

[10] 候德华, 王彩莲, 景赛, 等.模拟运输振动对冬枣品质及软化相关代谢的影响[J].食品工业科技, 2024, 45(14):318-326.HOU D H, WANG C L, JING S, et al.Effects of simulated transportation vibration on quality and softening metabolism of winter jujube[J].Science and Technology of Food Industry, 2024, 45(14):318-326.

[11] 陈国梁, 任彤, 祖欢欢, 等.木枣果实生长过程中细胞壁酶活性变化的研究[J].湖北农业科学, 2019, 58(16):96-98.CHEN G L, REN T, ZU H H, et al.Research on changes of cell wall enzyme activity during fruit growth of jujube[J].Hubei Agricultural Sciences, 2019, 58(16):96-98.

[12] 王娟, 张海红, 马晓艳, 等.灵武长枣贮藏过程中活性氧代谢和水分迁移与果实硬度的相关性[J].食品科学, 2022, 43(1):184-190.WANG J, ZHANG H H, MA X Y, et al.Correlation of active oxygen metabolism and water migration with fruit firmness in lingwuchangzao jujube during storage[J].Food Science, 2022, 43(1):184-190.

[13] WANG D, LAI Y H, JIA B G, et al.The optimal design and energy consumption analysis of forced air pre-cooling packaging system[J].Applied Thermal Engineering, 2020, 165:114592.

[14] 李自芹, 李文绮, 陈雅, 等.延迟预冷结合过氧化氢熏蒸对蟠桃贮藏品质及生理特性的影响[J].新疆农业科学, 2024, 61(4):908-915.LI Z Q, LI W Q, CHEN Y, et al.Effects of delayed precooling combined with hydrogen peroxide fumigation on storage quality and physiological characteristics of flat peach[J].Xinjiang Agricultural Sciences, 2024, 61(4):908-915.

[15] 宫亚芳, 曹玉会.衬垫与箱壁间空隙对苹果预冷效果的影响[J].中国科学院大学学报, 2021, 38(2):198-206.GONG Y F, CAO Y H.Effect of the gap width between tray and box wall on the precooling effectiveness of apples[J].Journal of University of Chinese Academy of Sciences, 2021, 38(2):198-206.

[16] 邓浩, 尹青春, 林玉钦, 等.不同预冷方式对红毛丹贮藏品质的影响[J].食品工业, 2021, 42(1):1-4.DENG H, YIN Q C, LIN Y Q, et al.Effect of different precooling methods on quality of rambutan (Nephelium lappaceum L.) during storage[J].The Food Industry, 2021, 42(1):1-4.

[17] 耿新丽, 郑贺云, 张翠环, 等.预冷方式对哈密瓜冷藏效果的影响[J].中国果菜, 2023, 43(10):3-6;24.GENG X L, ZHENG H Y, ZHANG C H, et al.Effects of precooling technology on cold storage of Hami melon[J].China Fruit &Vegetable, 2023, 43(10):3-6;24.

[18] 刘慧, 刘杰超, 张春岭, 等.1-MCP对灵武长枣果肉软化与褐变的影响及其通径分析[J].果树学报, 2022, 39(2):252-265.LIU H, LIU J C, ZHANG C L, et al.Path analysis of the effect of 1-MCP on the flesh softening and browning in Lingwuchangzao jujube during storage[J].Journal of Fruit Science, 2022, 39(2):252-265.

[19] LIU E H, HU X B, LIU S Y.Experimental study on effect of vacuum pre-cooling for post-harvest leaf lettuce[J].Research on Crops, 2014, 15(4):907.

[20] LIU Z Y, LI W H, ZHAI X Q, et al.Combination of precooling with ozone fumigation or low fluctuation of temperature for the quality modifications of postharvest sweet cherries[J].Journal of Food Processing and Preservation, 2021, 45(6):e15504.

[21] 王佳捷, 孙颖, 刘雅慈, 等.压差预冷对西兰花贮藏品质的影响[J].食品与发酵工业, 2023, 49(23):227-235.WANG J J, SUN Y, LIU Y C, et al.Forced air pre-cooling effect on broccoli storage quality and reactive oxygen species metabolism[J].Food and Fermentation Industries, 2023, 49(23):227-235.

[22] 田登娟, 段春杨, 刘胜红, 等.外源褪黑素对采后果实细胞壁代谢的影响[J].林业科技通讯, 2023(9):10-13.TIAN D J, DUAN C Y, LIU S H, et al.Effects of exogenous melatonin on postharvest fruit cell wall metabolism[J].Forest Science and Technology, 2023(9):10-13.

[23] 郝慧慧, 邱雪, 张海红, 等.灵武长枣贮藏过程中细胞壁降解及多糖结构的变化[J].中国食品学报, 2022, 22(9):199-207.HAO H H, QIU X, ZHANG H H, et al.Degradation of cell wall and changes of polysaccharide structure of Lingwu long jujube during the storage[J].Journal of Chinese Institute of Food Science and Technology, 2022, 22(9):199-207.

[24] 邢颖, 徐怀德.果蔬贮藏保鲜过程中果胶酶变化的研究进展[J].食品工业科技, 2022, 43(23):401-407.XING Y, XU H D.Research progress of changes of pectase during the storage of fruits and vegetables[J].Science and Technology of Food Industry, 2022, 43(23):401-407.

Parameters optimization of differential pressure precooling by response surface methodology and their effects on the storage quality of Lingwu long jujubes

TAO Sheng1, ZHANG Rui1, LI Yuhang1, PANG Lingling2, CHEN Lan3, JIANG Yuqian1*, LI Xihong1*

1(College of Food Science and Engineering, State Key Laboratory of Food Nutrition and Safety, Tianjin University of Science and Technology, Tianjin 300457, China)2(Institute of Food Science and Technology CAAS, Beijing 100081, China)3(International Centre in Fundamental and Engineering Thermophysics, Tianjin University of Commerce,Tianjin 300133, China)

ABSTRACT Concerning the problems of traditional static precooling, including the slow cooling speed, low cooling uniformity, and the consequent quality loss during postharvest storage, this study employed response surface methodology to optimize the parameters of differential pressure precooling using Lingwu long jujubes as the model materials.Furthermore, the impacts of the precooling parameters on the storage quality of Lingwu long jujubes during preservation were investigated.The results demonstrated that the optimal precooling effects were obtained when the air supply temperature was 0 ℃, the air velocity was 1.5 m/s, with a punching diameter on the plastic tent of 25 mm and a spacing between turnover baskets of 100 mm.The precooling efficiency and cooling uniformity achieved 5.74 hours and 0.106, respectively.The storage experiments after precooling indicated that differential pressure precooling could significantly reduce the weight loss rate of Lingwu long jujubes, maintain their excellent appearance, and delay the discoloration of the fruits.Meanwhile, the respiratory intensity was inhibited and the aging process was delayed, with relatively high contents of soluble solids and titratable acids.Moreover, differential pressure precooling also significantly decreased the activities of cellulase, β-galactosidase, and polygalacturonase in Lingwu long jujubes during storage.As a result, the degradation of cell walls was postponed, the fruit softening was inhibited, and the storage quality of Lingwu long jujubes was effectively improved.This study provides an efficient, energy-saving, and widely applicable precooling treatment method for the storage of Lingwu long jujubes, which is of great significance for their industrial development.Furthermore, it also offers a theoretical basis for the quality maintenance of other fruits and vegetables during transportation and preservation.

Key words Lingwu long jujube;response surface methodology;differential pressure precooling;storage quality;application value

DOI:10.13995/j.cnki.11-1802/ts.041643

引用格式:陶胜,张瑞,李宇航,等.响应面法优化差压预冷最佳参数对灵武长枣贮藏品质的影响[J].食品与发酵工业,2025,51(19):326-335.TAO Sheng, ZHANG Rui, LI Yuhang, et al.Parameters optimization of differential pressure precooling by response surface methodology and their effects on the storage quality of Lingwu long jujubes[J].Food and Fermentation Industries,2025,51(19):326-335.

第一作者:硕士研究生(李喜宏教授和姜瑜倩副教授为共同通信作者,E-mail:lixihong@tust.edu.cn;jiangyuqian@tust.edu.cn)

基金项目:山东省重点研发计划项目(2024TZXD033);陕西省自然科学基础研究计划项目(2024JC-YBQN-0175)

收稿日期:2024-11-20,改回日期:2025-02-28