脉冲电场处理对冷萃绿茶风味变化及低温贮藏期间香气稳定性影响的研究

何海晏,谈馨忆,王洪新*

(江南大学 食品学院,江苏 无锡,214122)

摘 要 该研究系统探究了脉冲电场(pulsed electric field,PEF)处理对冷萃绿茶中挥发性化合物及其在低温贮藏下稳定性的影响。对比PEF处理、高温短时间(high temperature short time,HTST)处理对冷萃绿茶贮藏期间香气的影响,通过顶空固相微萃取-气相-飞行时间质谱鉴定挥发性化合物,PEF处理组、HTST处理组和对照组分别检出90、78、75种化合物。分析各类化合物浓度发现,PEF处理与对照组相比,使酮类、酯类及含氮杂环物质的浓度分别增加39.67%、267.92%、101.29%,赋予茶汤丰富的香气特征。同时,PEF处理相较于HTST处理更好地保留了冷萃绿茶中的醇类、醛类、萜烯类化合物。正交偏最小二乘判别分析(R2X=0.636,R2Y=0.995,Q2=0.926)筛选出变量投影值>1的化合物共42个,其中PEF处理组中包括特征性酯类化合物[异戊酸叶醇酯、(E)-2-己烯基己酸酯、γ-己内酯]、HTST处理组中包括特征性酚类化合物(丁香酚、苯酚)和吡嗪。相对气味活度值(relative odour activity value, ROAV)分析表明,PEF处理组中ROAV>1的化合物有15种,而HTST处理组和对照组仅为12和11种,表明PEF处理后的冷萃绿茶具有更加丰富的香气感知。感官评价发现PEF处理后的冷萃绿茶相较于HTST处理组具有更高的花香、青草香、果香感知,且香气总体强度更高。通过拟合Weibull分布函数比较PEF处理和HTST处理对主要香气贮藏稳定性的影响,PEF处理具有更好的香气贮藏稳定性,尤其是对芳樟醇的香气保留(ROAV>1)超76 d。研究结果表明,PEF作为非热杀菌技术,可有效保持冷萃绿茶的特征香气轮廓,提高香气贮藏稳定性,为高品质热敏性饮料的贮藏保鲜提供了理论依据与技术支撑。

关键词 脉冲电场;贮藏期;冷萃绿茶;挥发性物质;Weibull分布函数;高温短时间处理;气味活度值;感官评价

近年来,冷萃茶凭借其独特的风味特征在茶饮市场快速崛起。相较于传统热泡工艺,冷萃法采用冷水或低温水(≤25 ℃)进行萃取,由于其苦味更轻,香气清新,因此受到更多消费者的喜爱[1]。随着消费者对低苦涩、高鲜爽茶饮需求的增长,冷萃绿茶的制备工艺优化及其风味物质稳定性研究已成为食品科学领域的热点。

在工业化生产场景中,货架期稳定性是评估冷萃茶产品市场化的重要环节。目前,工业上常用的茶饮杀菌手段为高温短时间处理(high temperature short time,HTST)、超高压瞬时处理等,其杀菌效果良好,可以有效控制微生物风险[2]。尽管如此,但其引发的热降解作用会导致关键香气成分损失,影响产品品质[3],例如,利用热杀菌技术处理的绿茶饮品会产生“熟味”而影响感官品质[4]。因此,开发适配冷萃茶体系的非热杀菌技术具有迫切需求。

脉冲电场(pulsed electric field,PEF)作为非热杀菌中的一种,能够通过减少腐败和病原微生物来延长不同液体食品的贮存时间[5],同时极大程度地保存食品原有的物质和风味,具有更好的感官特性[6],在液态食品的杀菌工艺中具有广阔的应用前景[7-8]。TIMMERMANS等[9]发现,中等强度的PEF可以满足橙汁的微生物灭活标准,并且对颜色、维生素C含量和风味保留效果好。KEBEDE等[10]的研究表明,PEF处理在苹果汁贮藏过程中更好地保留了香气挥发物,尤其是醛类物质。在含乳液体食品中,中等强度的PEF可以对植物蛋白分散体的稳定发挥作用,改善植物基酸奶的质地[11]。值得注意的是,PEF在茶汤体系中的应用研究也已有突破:研究表明PEF处理的绿茶在4 ℃下冷藏可以有效延迟或抑制亚致死损伤细胞的修复过程,从而延长茶汤的保质期至120 d[12]

香气挥发模型是一种描述香气化合物随时间变化过程的模型,常用于食品科学和品质控制研究中。开发适当的香气挥发模型可以帮助理解和预测香气释放的特性,从而改进产品质量。Weibull分布函数在描述微生物、酶和化学降解动力学方面极具潜力[13]。已有学者将Weibull分布函数应用于对香气贮藏稳定性的评估中。WANG等[14]利用Weibull模型准确描述了胡萝卜中化学成分的降解动力学,以优化漂烫工艺;MONFORTE等[15]构建苯乙醛在葡萄酒中的实时释放动力学模型,阐明了pH值和温度对挥发物变化的影响。

目前,PEF处理对冷萃绿茶香气的影响鲜有研究报道。同时,制备工艺的变化可能会影响PEF处理的效果。此外,PEF处理对茶中香气贮藏稳定性的影响也尚不明确。基于此,本研究对比PEF处理与传统的HTST处理对冷萃绿茶中挥发性化合物的影响,结合相对气味活度值(relative odour activity value, ROAV)分析和感官评价,探究不同处理方式对冷萃绿茶香气成分及其感知的影响。同时,利用Weibull模型研究PEF处理对低温贮藏期间冷萃绿茶主要香气的贮藏稳定性影响,旨在探究PEF对冷萃绿茶香气的影响和香气保护,为冷萃绿茶的非热加工技术提供指导。

1 材料与方法

1.1 材料与试剂

龙井新茶,嵊州市一杯香茶专业合作社(中国杭州)。

癸酸乙酯内标溶液、正构烷烃C9-C30标准溶液,美国Sigma-Aldrich公司,均为色谱纯(≥99%);0.22 μm微孔滤膜(水系),常德比克曼生物科技有限公司;β-葡萄糖苷酶(食品级),浙江天和食品生物有限公司。

1.2 仪器与设备

NT-1015超声波清洗机,常州诺泰自动化设备有限公司;KND-02A风冷式冷水机,无锡凯诺徳冷暖设备有限公司;LSJB120实验室搅拌机,常州励岸宝机械设备科技有限公司;DL-5-B低速大容量离心机,上海安亭科学仪器厂;OSU-4L脉冲电场处理设备,美国俄亥俄州立大学;Pegasus HRT+4D气相色谱-高分辨飞行时间质谱仪,美国力可公司。

1.3 实验方法

1.3.1 样品制备

通过超声波-搅拌辅助联合提取制备冷萃茶,参考LPEZ等[16]的方法,并稍作修改,各项萃取参数均为前期通过Box-Behnken响应面法优化确定(R2=0.978)。具体制备方法如下:精确称取(4.00±0.02) g干制绿茶,置于300 mL烧杯中,加入超纯水200 mL和6 mL β-葡萄糖苷酶用于增香(酶活力为10 U/mL)。将烧杯固定于超声波清洗槽,插入搅拌桨(直径15 mm),确保桨叶完全浸没液面。通过闭环控温系统维持萃取温度(16±1) ℃。设置超声波功率200 W、机械搅拌速率180 r/min,持续萃取62 min,样品平行制备3份。萃取完成后在5 000 r/min下离心10 min,收集上清液混匀后分装在无菌玻璃容器中,分别用于PEF处理、HTST处理和冷萃绿茶原液(A)的对照实验。

1.3.2 PEF处理和HTST处理

参考邓红等[17]的方法进行HTST处理。取萃取完成的茶汤,用实验室规模的巴氏灭菌器在98 ℃下处理1 min,密封转移后在冰浴中冷却,样品平行制备3份,命名为HTST处理组。

PEF采用实验室规模连续处理设备。具体参数参考王茉等[18]的方法。将茶汤通过高频脉冲发生器施加双极性方波脉冲,设定电场强度38.4 kV/cm,脉冲宽度2 μs,重复频率667 Hz,总处理时间160 μs。循环式冷却水浴的温度设为15 ℃,可将茶汤在处理腔处的进出口温差控制在5 ℃以内,随后,将经过PEF处理的茶汤样品立刻在超净工作台中分别转移至无菌琥珀色玻璃贮液瓶中,样品平行制备3份,命名为PEF处理组。

1.3.3 顶空固相微萃取-气相-飞行时间质谱(head space-solid phase microextraction-gas chromatography-time of flight-mass spectrometry, HS-SPME-GC-TOF-MS)分析

参考施雪颖等[19]的方法,并稍作修改。取5 mL茶汤放入20 mL顶空进样瓶,并加入5 μL(5 ppm)癸酸乙酯作为内标物,加盖密封。固相微萃取头穿过顶空瓶的橡胶层插入瓶中,60 ℃顶空萃取30 min后,迅速插入GC进样口解析3 min。GC条件:MXT-WAX色谱柱(30 m×0.250 mm×0.25 μm),进样口温度250 ℃,载气为He,流速1 mL/min,不分流进样。升温程序:初始柱温40 ℃,保持5 min,以10 ℃/min的速率升至230 ℃,保持6 min,总运行时间28 min。MS条件:EI离子源,离子源温度230 ℃,电离能量70 eV。

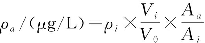
定性和定量分析参考XIE等[20]的方法。定性分析:匹配NIST11谱库(相似度>700)并计算保留指数(retention index,RI),允许ΔRI ≤ 20;对于半定量分析,按内标法计算浓度,挥发物的质量浓度按公式(1)计算:

(1)

式中:ρa,挥发物的质量浓度,μg/L;Vi,内标体积,mL;ρi,内标质量浓度,μg/L;V0,试样量,mL;Aa,挥发物的色谱峰面积;Ai,内标的色谱峰面积。

1.3.4 ROAV分析

气味活度值指的是特定挥发性化合物的香气强度。ROAV是根据GC-MS分析结果,结合内标法定量确定的。通过计算挥发性化合物的ROAV,可以评估它们对样品整体风味的贡献。通常认为ROAV>1的香味物质对整体香味的贡献很大,并且能被人的嗅觉捕捉到[21]。ROAV按公式(2)计算:

(2)

式中:ρx,由内标法得到的化合物的质量浓度,μg/L;Tx,化合物的嗅觉阈值,μg/L。

1.3.5 感官评价

参照GB/T 23776—2018《茶叶感官审评方法》进行感官分析。感官评定小组成员由7名男性和8名女性组成,年龄在25~60岁,在茶的感官评定方面均有超过5年的经验。将PEF处理组、HTST处理组和对照组的茶汤分别分装在30 mL透明品尝杯中,并用三位随机数字对样品进行编号。随后,将茶汤随机递给小组成员以评估茶汤香气,具体评估包括果香、青草香、花香、焙烤香和香气总体强度。小组成员对每个样品都进行3次嗅探,并通过10分制对各指标进行评分(0~3:弱;4~6:中;7~10:强)。最终得分以平均值表示。在每次评估前,小组成员都休息2 min以避免嗅觉疲劳。

1.3.6 香气贮藏期稳定性实验

为评估商业冷藏保质期,参考FABRONI等[22]的方法。将经过PEF处理和HTST处理的茶汤置于4 ℃冰箱冷藏贮存,于贮藏第5天、第10天、第15天、第20天、第25天和第30天对贮存的茶汤进行取样,取样过程均在超净工作台完成,防止杂菌污染影响实验结果。在相应的考察期,将样品取出,在超净工作台下取样并立即进行HS-SPME-GC-TOF-MS分析,按1.3.3节方法,样品平行测定3次,剩余样品立即密封后放回4 ℃贮存,直至下一次分析取出。

1.3.7 PEF和HTST处理后的主要香气化合物在贮藏期间的变化分析

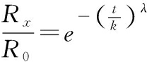
选取冷萃绿茶中的对香气具有主要贡献的挥发性化合物构建Weibull模型以探究PEF和HTST处理对香气贮藏稳定性的影响,具体方程如公式(3):

(3)

式中:Rx,风味化合物在贮藏期第x天的质量浓度,μg/L;R0,风味化合物在贮藏期第0天的质量浓度,μg/L;t,贮存时间,d;k,比例因子,d-1。当t=k时,Rx/R0e-1≈36.80%,即k可以表示为香气化合物浓度降至初始值的36.80%时所需要的时间[23]λ,形状参数,它反映了挥发过程的特性。当λ<1时,表示挥发速率随时间递减;当λ=1时,表示挥发速率恒定;当λ>1时,表示挥发速率随时间递增[24]。通常,用Rx/R0作为因变量,表示贮藏期第x天时挥发性化合物的保留率(%)。

1.3.8 数据分析

挥发性化合物的测量浓度表示为“平均值±标准差”。使用SIMCA软件中对挥发性曲线进行了正交偏最小二乘判别分析(orthogonal partial least squares discriminant analysis,OPLS-DA)。采用Excel 2016对数据进行预处理。采用Origin 2024用于绘图和Weibull模型拟合。采用TB Tool v2.210进行热图绘制。

2 结果与讨论

2.1 PEF处理对冷萃绿茶香气的影响

2.1.1 两种处理方式对茶汤中风味化合物种类和浓度的影响

经过HS-SPME-GC-TOF-MS的分析,PEF处理组、HTST处理组和对照组分别检测出风味化合物共90、78、75种,化合物信息如电子版增强出版附表1(https://doi.org/10.13995/j.cnki.11-1802/ts.042888)所示。

如图1所示,与对照组相比,PEF处理改变了冷萃绿茶挥发性物质的组成与浓度分布。其中,酮类、酯类及含氮杂环物质的浓度显著增加,分别增加39.67%、267.92%、101.29%。这可能与PEF处理的机制有关:PEF能够诱导水分子发生电化学反应产生活性氧自由基,能够促进脂质氧化降解,进而通过脂肪酸氧化途径加速酮类、酯类合成[25]。茶中挥发性的酯通常来源于酯化反应,说明PEF可能通过酶激活作用产生酯类化合物[26]。关于PEF处理能够增强酯类香气的溶出,先前也有相关研究报道过类似的结论:LIANG等[27]发现利用PEF处理的绿茶霞多丽葡萄酒中乙酸乙酯含量显著增加;KEBEDE等[10]利用PEF处理苹果汁并与超高压瞬时处理对比,结果发现PEF处理后的丙酸丁酯、正己醇含量上升;LU等[28]的研究发现PEF处理可以促进缩醛产物的生成,进而增强白酒中挥发性酯的产生。同时,由于茶中的吡嗪类化合物多来源于游离氨基酸与还原糖的羰氨反应,在PEF的电穿孔作用下,温和热环境和适量的底物促进吡嗪类含氮杂环化合物生成[29],赋予茶汤独特的烘烤香气特征。

a-化合物浓度;b-化合物数量;c-化合物差异韦恩图

图1 三组茶汤中挥发性化合物的浓度、数量和种类对比
Fig.1 Concentration, quantity, and types of volatile compounds in tea broths of the three groups

PEF处理相较于HTST处理具有更好的醇类、醛类、萜烯类化合物保留度。一方面,HTST处理的高温环境加速了挥发性香气流失,尤其是稳定性较差的低沸点化合物[30],而冷萃茶中许多挥发性物质沸点较低[31],这就导致其在HTST处理的过程中流失速率加快。另一方面,含有不饱和键的化合物容易在高温下氧化,而茶汤中含有较高浓度的易氧化的醛类和萜烯类,HTST处理使这类化合物在高温下流失。这与YEOM等[32]的研究一致,在4 ℃下,PEF处理(35 kV/cm,59 μs)橙汁比热巴氏杀菌(94.6 ℃,30 s)果汁保留更多的癸醛。同样,PEF处理尽管因欧姆热产生热效应,但这种热效应更为温和,相较于传统的HTST更能够最大化保留原有的香气成分。此外,PEF处理造成了部分含氮杂环化合物以及酮类物质浓度上升,但HTST处理导致的酮类、含氮杂环化合物的浓度上升更加显著(P<0.05),因此高温处理更容易导致酮类化合物积累,并且产生更高浓度的美拉德反应产物。

总体而言,PEF处理增加了茶汤中风味化合物的丰富度,其中,茶汤中酯类化合物的含量显著提升,赋予茶汤更加丰富的香气。相较于HTST处理,PEF处理更好地保留了醇类、醛类和萜烯类。同时,PEF处理避免了高温处理带来的酮类、含氮杂环化合物的大量积累。

2.1.2 不同处理方式对冷萃绿茶挥发性化合物影响的统计学分析

使用OPLS-DA对比不同处理方式对冷萃绿茶挥发性物质影响,明确处理前后的差异性物质。OPLS-DA是一种常用于多变量数据分析的监督学习方法。与主成分分析法相比,该方法通过最大化组间差异来促进化合物的分类与鉴别,从而提高差异性物质的分离度。图2-a结果表明,该方法能够有效区分PEF处理组和HTST处理组,且3组样品均呈现聚类的趋势,其中R2XR2YQ2的值分别为0.636、0.995和0.926,模型可信度高。此外,利用变量投影重要性值(variable importance in projection,VIP)能够判断各类样品中的挥发性物质对样品总体的贡献,其中VIP>1的化合物被认为是对样品间差异贡献较大的挥发性化合物,差异性挥发物共42个(图2-b)。

将差异性挥发物在各样品中的浓度绘制成热图并聚类。由图2-c可知,PEF处理组、HTST处理组和对照组有着明显的区分。对比PEF处理组和对照组,造成这2组差异的主要原因是PEF处理组中含有更高浓度的酯类[如异戊酸叶醇酯、(E)-2-己烯基己酸酯、γ-己内酯]和醛类(如3-乙基苯甲醛、肉桂醛)。同时,PEF处理组相较于对照组也有部分醇类化合物的流失(例如苯甲醇、叶醇、反式橙花醇)。对于特征性酯类,异戊酸叶醇酯被证实是绿茶代谢过程中产生的香气物质[33],它具有特殊的果香调性,而(E)-2-己烯基己酸酯可能与醇类前体的酯化形成有关[34]。而对于PEF处理造成的部分醇类流失,这可能与加工过程中瞬时欧姆热加速挥发性成分逸散有关[35]

a-OPLS-DA得分图;b-VIP值;c-VIP>1的化合物热图分析

图2 OPLS-DA结果
Fig.2 Results of OPLS-DA

对比PEF处理组和HTST处理组,发现HTST处理造成部分化合物流失,并产生一些新的化合物。化合物多为酚类化合物、吡嗪类化合物,例如丁香酚、苯酚、2,3-二甲基吡嗪、2-乙基-5-甲基吡嗪。茶中挥发性酚类的来源多为芳香族氨基酸的反应衍生物[36],高温处理可能会造成这类化合物浓度的上升。吡嗪类物质是美拉德反应的产物,高温下同样会造成吡嗪类物质的累积,这也说明了HTST处理并不适用于冷萃绿茶的杀菌。而相比之下,PEF处理并没有明显的酚类及吡嗪类积累,更能有效保留冷萃茶原有的香气特性。

总体来说,相较于HTST处理,PEF处理在有效保留冷萃绿茶原有的香气成分的基础上具有更高浓度的酯类化合物特征,进而赋予茶汤丰富的香气。

2.1.3 ROAV分析

茶汤的整体香气不仅受挥发性物质浓度的影响,还与挥发性成分的香气阈值、数量组成等有一定的关联。ROAV分析是研究对整体香气影响较大的挥发性物质的分析方法,通常认为ROAV>1的化合物被认为对整体气味有重要贡献,能够直接影响香气的感知[37]。如表1所示,PEF处理组、HTST处理组和对照组中分别有15、12和11种ROAV>1的物质。通过香气描述,可以将各个化合物划分为4个主要类别,具体包括青草香、焙烤焦香、果香和花香。

表1 三组茶汤中ROAV>1的化合物汇总
Table 1 Summary of compounds with ROAV>1 in the three groups of tea broths

香气类别化合物名称ROAVPEF处理组HTST处理组对照组香气描述青草香类叶醇1.43±0.03<11.50±0.12青草、蔬菜1-辛烯-3-醇4.60±0.642.30±0.033.89±0.12青草、蘑菇(E)-2-庚烯醛4.98±0.03<14.94±0.25青草壬醛13.09±2.0612.13±0.3010.65±4.33青草、柑橘正己醛8.93±0.067.69±0.088.40±0.44青草、果香仲辛酮<11.32±0.03<1泥土、青草焙烤、焦香类2,5-二甲基吡嗪1.34±0.021.87±0.06<1烤牛肉、烤坚果、青草2-乙基-6-甲基吡嗪<12.11±0.16<1烘烤、土豆2,3-戊二酮<14.80±0.11<1黄油、奶油、焦糖果香类苯甲醛1.91±0.161.73±0.032.73±0.52樱桃、杏仁、焦糖(E,E)-3,5-辛二烯-2-酮1.24±0.151.63±0.02<1果香、青草己酸叶醇酯3.03±0.53<1<1菠萝,西梅、果异戊酸叶醇酯2.10±0.04<1<1苹果、菠萝、青草花香类苯乙醛1.72±0.11<11.10±0.15风信子、蜂蜜、花香(E)-2-癸烯醛4.22±0.273.60±1.214.97±0.34玫瑰、花香芳樟醇6.31±0.405.89±0.216.66±0.23花香、柑橘香叶醇1.43±0.42<11.95±0.17玫瑰、柑橘月桂醛24.20±0.4511.56±1.1528.40±7.92花香、柑橘、青草

3组茶汤中的青草香均有明显的感知,其中PEF处理组的壬醛香气感知更强(ROAV=13.09±2.06),壬醛是脂质β-氧化的主要产物[38],也是绿茶的典型香气化合物之一,其香气感知的提升可能与PEF处理促进了脂肪酸氧化有关。此外,HTST处理组青草类香气化合物的ROAV最低,说明了热处理对绿茶香气的影响,造成了青草香的流失,而PEF处理组相较于HTST处理组能更有效保留冷萃绿茶原有的青草香特征。

对于焙烤、焦香类香气,在对照组中并没有明显的感知,说明冷萃绿茶通常不具有明显的焙烤、焦香特征。在PEF处理组中,2,5-二甲基吡嗪的ROAV为1.34±0.02,说明PEF处理能够通过局部热效应增强部分焙烤香气的感知,而在HTST处理组中,由于经过高温处理,焙烤香的感知最为显著,3种主焙烤焦香的化合物ROAV分别为1.87±0.06、2.11±0.16和4.80±0.11。因此,HTST处理可能更适用于以烘培焦香为主体香气茶汤中的杀菌,例如焙烤绿茶[39]

对于果香类香气物质,己酸叶醇酯和异戊酸叶醇酯仅在PEF处理组中具有明显的香气感知,ROAV分别为3.03±0.53和2.10±0.04,这与VIP的分析结果一致,表明PEF处理可以增强冷萃绿茶的果香,赋予冷萃绿茶更加丰富的香气。

对于花香类香气物质,对照组中的花香型化合物总体的ROAV最高,PEF处理和HTST处理都会对花香型化合物产生影响,进而降低冷萃茶汤中花香的香气感知。对比PEF处理组和HTST处理组,PEF处理仍保留了ROAV>1的花香类化合物数量,而HTST处理组中,苯乙醛和香叶醇的香气感知已低于阈值,表明PEF处理相较于HTST处理更能保留冷萃绿茶的花香。

2.1.4 感官评价

如图3香气雷达图所示,PEF处理和HTST处理导致了香气强度的总体减少,并且在花香、青草香特征上都有部分损失。比较PEF处理组和HTST处理,PEF处理组在对花香、青草香的香气感知上比HTST处理组更高,同时具有优异的果香特征,这与ROAV分析的结果一致。此外,PEF处理在没有影响冷萃绿茶主要香气的基础上增强了焙烤香的特征,具有平衡协调的香气特征。总体来说,PEF处理相较于HTST处理能够更好地保留冷萃绿茶的特征香气属性,同时增强了果香的感知,具有更好的感官评价。

图3 三组茶汤的香气感官评价
Fig.3 Sensory evaluation of the aroma of three groups of tea broths

2.2 PEF处理对茶汤香气贮藏期稳定性分析

2.2.1 PEF处理和HTST处理对主要香气化合物在贮藏期间的流失曲线

为进一步比较分析PEF和HTST处理下冷萃绿茶香气变化的规律,重点监测对香气贡献度最大的化合物。ROAV>5的化合物被认为具有较高的气味活度值,通常具有更强烈的香气感知强度,对样品整体香气特征具有显著贡献[40-41]。故选取PEF和HTST处理后的冷萃绿茶中ROAV>5的化合物进行贮藏期浓度检测,即月桂醛、苯甲醛、正己醛、芳樟醇。

由图4可知,随着贮藏期的延长,4种化合物的保留率均逐渐降低,表明香气化合物均有所流失。研究表明,挥发性化合物在贮藏的过程中,经过氧化反应、自身水解,挥发性化合物的组成会有所改变[42]。同时,萜烯类化合物在贮藏过程中会发生氧化、异构化[43],而香气也会随着贮藏时间的延长逐渐减弱[44]

a-苯甲醛;b-正己醛;c-芳樟醇;d-月桂醛

图4 贮藏期香气保留度变化曲线
Fig.4 Curves of aroma retention changes during storage

2.2.2 PEF处理和HTST处理对主要香气化合物在贮藏期间的流失动力学分析

Weibull分布函数中的各项参数如表2所示。结果表明,样本的拟合度均较高(r2>0.99),能够用数学模型解释香气的变化。其中,k值表示降至初始值的36.80%时所需要的时间,即k值越大,香气流失约缓慢。4种香气化合物中PEF处理的k值均大于HTST处理,表明PEF处理可以在贮藏期间更好地保持香气化合物的稳定,延缓香气化合物的挥发速率。这可能是由于HTST的高温杀菌环境增强了基质中香气化合物的不稳定性,导致其在贮藏期间更易流失;而PEF处理过程中的温度控制更有利于风味的保留和贮藏稳定。这一现象与MIN等[45]的研究一致:PEF加工相较于热杀菌处理延长了番茄汁的(E)-2-己醛贮藏稳定性。值得注意的是,芳樟醇在PEF处理组的k>36,表明在经过PEF处理后,在贮藏期第36天仍能有超过35%的香气保留率,说明PEF处理可能对于含羟基的化合物具有更好的保护作用,而这在AGUIL-AGUAYO等[46]的研究中也有提及,PEF处理后的西瓜汁中醇类化合物可以保留超56 d,这也说明了PEF处理保护香气的应用潜力。

表2 PEF处理组和HTST处理组Weibull分布函数的拟合参数
Table 2 Fitting parameters of Weibull distribution function for PEF and HTST treatment groups

化合物名称处理方式k/dλr2ta/d月桂醛PEF处理10.09±0.811.27±0.120.998 5225.32HTST处理9.72±0.561.29±0.110.998 5319.94苯甲醛PEF处理24.45±1.821.11±0.110.996 7415.82HTST处理20.23±0.961.06±0.140.995 7811.45正己醛PEF处理9.86±1.030.48±0.060.998 5451.36HTST处理9.68±0.760.66±0.060.999 4824.71芳樟醇PEF处理36.05±2.540.81±0.080.997 1776.12HTST处理29.79±1.370.72±0.060.997 4965.24

若贮藏期间产品的关键香气化合物ROAV>1,通常意味着该产品仍然维持其香气特征,可以被认为在贮藏期内是可接受的[47]。根据拟合得到的方程,可以预测ROAV下降至感官阈值时的贮藏时间,用ta表示ROAV=1时的贮藏时间,即在第ta天后该化合物的香气特性无法再被人体嗅觉感知,以此可以更好地对处理后的冷萃绿茶进行香气质量预测,同时更直观地比较PEF处理组和HTST处理组对香气贮藏稳定性的影响。相较于HTST处理,PEF处理显著延长了4种高香气贡献度化合物的气味感知时间:月桂醛延长27.13%,苯甲醛延长38.60%,正己醛延长107.70%,芳樟醇延长16.72%。这也表明了PEF处理能够延长风味化合物的贮藏期限,提高冷萃绿茶中香气化合物的贮藏稳定性。

3 结论

本研究将PEF处理与HTST对比,分析2种处理方式对冷萃绿茶中香气的影响,以及在低温贮藏期间的香气稳定性。结果表明,PEF处理增加了茶汤中风味化合物的丰富度。其中,茶汤中酯类化合物的含量显著提升,赋予茶汤更加丰富的香气。相较于HTST处理,PEF处理更好地保留了醇类、醛类和萜烯类,同时避免了高温处理带来的酮类、含氧杂环化合物的大量积累。OPLS-DA模型筛选出VIP>1的化合物共42个,在差异性挥发物中,PEF处理组中含有更高浓度的酯类和醛类。同时,HTST处理产生了部分特征性酚类和吡嗪类,这些产物改变了冷萃绿茶原本的香气组成。ROAV分析得出,PEF处理组、HTST处理组和对照组分别有15、12和11种物质的ROAV>1,表明PEF处理后的冷萃绿茶具有更加丰富的香气感知。感官评价得出PEF处理后的冷萃绿茶具有平衡的花香、青草香、果香和焙烤香,香气总体强度比HTST处理组更高,具有良好的感官品质。选取ROAV>5的化合物(月桂醛、苯甲醛、正己醛、芳樟醇)进一步拟合Weibull分布函数研究香气贮藏期变化规律,表明PEF处理相较于HTST处理具有更好的香气贮藏稳定性,尤其是对正己醛和芳樟醇的香气保留超50 d。研究得出PEF处理对冷萃绿茶香气的保护以及香气化合物的稳定贮藏具有应用潜力。

参考文献

[1] SONG Y C, BI X F, ZHOU M, et al.Effect of combined treatments of ultrasound and high hydrostatic pressure processing on the physicochemical properties, microbial quality and shelf-life of cold brew tea[J].International Journal of Food Science &Technology, 2021, 56(11):5977-5988.

[2] ZHU R F, WANG L, CHAO A L, et al.Effect and mechanisms of thermal sterilization methods on the in vitro phenolic bioaccessibility of rose tea with milk[J].Food Chemistry, 2024, 458:140248.

[3] CHEN Z-Y, ZHU Q Y, WONG Y F, et al.Stabilizing effect of ascorbic acid on green tea catechins[J].Journal of Agricultural and Food Chemistry, 1998, 46(7):2512-2516.

[4] TAO M, GUO W L, LIANG J, et al.Unraveling the key cooked off-flavor compounds in thermally sterilized green tea beverages, and masking effect of tea raw material baking[J].Food Chemistry, 2025, 464:141671.

[5] 余浩, 唐敏, 黄升谋.冲泡条件对绿茶水浸出物含量及感官品质的影响研究[J].绿色科技, 2016, 18(24):137-140.YU H, TANG M, HUANG S M.Effect of brewing condition on water extracts and sensory quality of tea[J].Journal of Green Science and Technology, 2016, 18(24):137-140.

[6] ZARE F, GHASEMI N, BANSAL N, et al.Advances in pulsed electric stimuli as a physical method for treating liquid foods[J].Physics of Life Reviews, 2023, 44:207-266.

[7] 袁佳璐, 林敏, 周佳, 等.脉冲电场技术在果蔬汁加工中的研究进展及应用[J].食品与发酵工业, 2024, 50(13):367-376.YUAN J L, LIN M, ZHOU J, et al.Application and research progress of pulsed electric field in fruit and vegetable juice processing[J].Food and Fermentation Industries, 2024, 50(13):367-376.

[8] ARSHAD R N, ABDUL-MALEK Z, ROOBAB U, et al.Pulsed electric field:A potential alternative towards a sustainable food processing[J].Trends in Food Science &Technology, 2021, 111:43-54.

[9] TIMMERMANS R A H, ROLAND W S U, VAN KEKEM K, et al.Effect of pasteurization by moderate intensity pulsed electric fields (PEF) treatment compared to thermal treatment on quality attributes of fresh orange juice[J].Foods, 2022, 11(21):3360.

[10] KEBEDE B, LEE P Y, LEONG S Y, et al.A chemometrics approach comparing volatile changes during the shelf life of apple juice processed by pulsed electric fields, high pressure and thermal pasteurization[J].Foods, 2018, 7(10):169.

[11] HORLACHER N, KING J, LEONG S Y, et al.Synergistic effects of PEF treatment and lactic acid fermentation on protein digestibility and texture in a blended oat and pea yogurt alternative[J].LWT, 2025, 220:117587.

[12] ZHAO W, YANG R J, WANG M.Cold storage temperature following pulsed electric fields treatment to inactivate sublethally injured microorganisms and extend the shelf life of green tea infusions[J].International Journal of Food Microbiology, 2009, 129(2):204-208.

[13] CUNHA L M, OLIVEIRA F A R, OLIVEIRA J C.Optimal experimental design for estimating the kinetic parameters of processes described by the Weibull probability distribution function[J].Journal of Food Engineering, 1998, 37(2):175-191.

[14] WANG H, ZIELINSKA M, AN K J, et al.Effects of vacuum-steam pulsed blanching (VSPB) and storage on β-carotene, color, total phenolics, antioxidant capacity and volatile profiles of dried carrots[J].LWT, 2023, 183:114894.

[15] MONFORTE A R, MARTINS S I F S, SILVA FERREIRA A C.Phenylacetaldehyde real-time release kinetics in wine like model solutions[J].Food Chemistry, 2021, 364:128948.

[16] LPEZ G G, BROUSSE M M, LINARES A R.Kinetic modelling of total phenolic compounds from Ilex paraguariensis (St.Hil.) leaves:Conventional and ultrasound assisted extraction[J].Food and Bioproducts Processing, 2023, 139:75-88.

[17] 邓红, 雷佳蕾, 杨天歌, 等.超高压和高温短时杀菌对NFC苹果汁贮藏期品质的影响[J].中国农业科学, 2019, 52(21):3903-3923.DENG H, LEI J L, YANG T G, et al.Effect of ultra-high pressure and high temperature short-time sterilization on the quality of NFC apple juice during storage[J].Scientia Agricultura Sinica, 2019, 52(21):3903-3923.

[18] 王茉, 杨瑞金.高压脉冲电场对绿茶饮料杀菌的研究[J].食品与发酵工业, 2005, 31(11):133-136.WANG M, YANG R J.Effect of pulsed electric fields on green tea beverage[J].Food and Fermentation Industries, 2005, 31(11):133-136.

[19] 施雪颖, 李娜, 李玥, 等.烘焙程度对云南日晒和水洗咖啡豆理化性质及风味物质的影响[J].中国食品学报, 2024, 24(12):396-413.SHI X Y, LI N, LI Y, et al.Effect of roasting degree on physicochemical properties and flavor substances of Yunnan Sun-dried and washed coffee beans[J].Journal of Chinese Institute of Food Science and Technology, 2024, 24(12):396-413.

[20] XIE J L, WANG L L, DENG Y L, et al.Characterization of the key odorants in floral aroma green tea based on GC-E-Nose, GC-IMS, GC-MS and aroma recombination and investigation of the dynamic changes and aroma formation during processing[J].Food Chemistry, 2023, 427:136641.

[21] 唐佳灵, 张冬, 刘依凡, 等.日粮中添加酱油分离油脂对加工猪肉制品风味形成的影响[J/OL].食品与发酵工业, 2025:1-15.(2025-03-21).https://link.cnki.net/doi/10.13995/j.cnki.11-1802/ts.042196.TANG J L, ZHANG D, LIU Y F, et al.Effect of adding soy sauce separated oil to diet on flavor formation of processed pork products[J/OL].Food and Fermentation Industries, 2025:1-15.(2025-03-21).https://link.cnki.net/doi/10.13995/j.cnki.11-1802/ts.042196.

[22] FABRONI S, PLATANIA G M, AMENTA M, et al.Pulsed electric field as a mild treatment for extended shelf-life and preservation of bioactive compounds in blood orange juice[J].Applied Sciences, 2024, 14(16):7275.

[23] CORRADINI M G, PELEG M.A model of non-isothermal degradation of nutrients, pigments and enzymes[J].Journal of the Science of Food and Agriculture, 2004, 84(3):217-226.

[24] GONG H, YAO Y, YANG Y T.Size effect on the fracture of sintered porous nano-silver joints:Experiments and Weibull analysis[J].Journal of Alloys and Compounds, 2021, 863:158611.

[25] 熊强, 董智勤, 朱芳州.脉冲电场技术在食品工业上的应用进展[J].现代食品科技, 2022, 38(2):326-339;255.XIONG Q, DONG Z Q, ZHU F Z.Progress in the application of pulsed electric field in food industry[J].Modern Food Science and Technology, 2022, 38(2):326-339;255.

[26] BENDICHO S, ESTELA C, GINER J, et al.Effects of high intensity pulsed electric field and thermal treatments on a lipase from Pseudomonas fluorescens[J].Journal of Dairy Science, 2002, 85(1):19-27.

[27] LIANG Z J, ZHANG P Z, MA W, et al.Pulsed electric field processing of green tea-infused chardonnay wine:Effects on physicochemical properties, antioxidant activities, phenolic and volatile compounds[J].Food Bioscience, 2023, 54:102884.

[28] LU J, ZHOU Z L, HUANG M Y, et al.Impact of pulsed electric fields combined with dissolved oxygen and ferrous ions on the aroma and components of strong-flavor Baijiu[J].Foods, 2025, 14(7):1097.

[29] GUO X Y, HO C T, SCHWAB W, et al.Effect of the roasting degree on flavor quality of large-leaf yellow tea[J].Food Chemistry, 2021, 347:129016.

[30] PAN X, BI S, XU Y Y, et al.Alteration of volatile profiles in heat-sterilized cloudy muskmelon juice as affected by pectin fractions[J].Journal of the Science of Food and Agriculture, 2024, 104(6):3532-3542.

[31] CHIANG S H, TSOU M F, CHANG C Y, et al.Physicochemical characteristics, sensory quality, and antioxidant properties of Paochung tea infusion brewed in cold water[J].International Journal of Food Properties, 2020, 23(1):1611-1623.

[32] YEOM H W, STREAKER C B, ZHANG Q H, et al.Effects of pulsed electric fields on the quality of orange juice and comparison with heat pasteurization[J].Journal of Agricultural and Food Chemistry, 2000, 48(10):4597-4605.

[33] CUI J L, ZHAI X T, GUO D Y, et al.Characterization of key odorants in Xinyang Maojian green tea and their changes during the manufacturing process[J].Journal of Agricultural and Food Chemistry, 2022, 70(1):279-288.

[34] MA C Y, LI J X, CHEN W, et al.Study of the aroma formation and transformation during the manufacturing process of oolong tea by solid-phase micro-extraction and gas chromatography-mass spectrometry combined with chemometrics[J].Food Research International, 2018, 108:413-422.

[35] KANAFUSA S, MASPERO U, PETERSEN M A, et al.Influence of pulsed electric field-assisted dehydration on the volatile compounds of basil leaves[J].Innovative Food Science &Emerging Technologies, 2022, 77:102979.

[36] WANG X Q, ZENG L T, LIAO Y Y, et al.An alternative pathway for the formation of aromatic aroma compounds derived from l-phenylalanine via phenylpyruvic acid in tea (Camellia sinensis (L.) O.Kuntze) leaves[J].Food Chemistry, 2019, 270:17-24.

[37] LI M, ZHAN P, WANG P, et al.Characterization of aroma-active compounds changes of Xiecun Huangjius with different aging years based on odor activity values and multivariate analysis[J].Food Chemistry, 2023, 405:134809.

[38] ZHU X Z, YANG L Y, GE Z W, et al.Non-volatile and volatile metabolite analyses and objective quantitative technique reveal the effect of fixation methods on the flavor quality and metabolites of green tea[J].Current Research in Food Science, 2025, 10:101037.

[39] GOTTI R, LEONI A, FIORI J.Evaluation of roasting effect on selected green tea volatile flavor compound and pyrazine content by HS-SPME GC-MS[J].Applied Sciences, 2021, 11(17):8217.

[40] ZHU J C, NIU Y W, XIAO Z B.Characterization of the key aroma compounds in Laoshan green teas by application of odour activity value (OAV), gas chromatography-mass spectrometry-olfactometry (GC-MS-O) and comprehensive two-dimensional gas chromatography mass spectrometry (GC×GC-qMS)[J].Food Chemistry, 2021, 339:128136.

[41] ZHU J C, XIAO Z B.Characterization of odor-active volatiles in hawthorn puree using thermal desorption system coupled to gas chromatography-mass spectrometry-olfactometry and GC-flame photometric detector[J].Journal of Agricultural and Food Chemistry, 2018, 66(46):12296-12305.

[42] 张嘉欣, 艾丽米古丽·那吉米丁, 李颖, 等.微冻贮藏对白斑狗鱼品质与挥发性成分的影响[J].食品与发酵工业, 2025,51(11):367-375.ZHANG J X;AILIMIGULI N;LI Y,et al.Effects of superchilling storage on the quality and volatile compounds of the Northern Pike(Esox lucius)[J].Food and Fermentation Industries, 2025,51(11):367-375.

[43] WANG Z, AHMAD W, ZHAO S G, et al.Temporal analysis of non-targeted flavor component variation in green tea storage and rapid prediction of storage duration[J].Food Chemistry, 2025, 464:141898.

[44] SHEN S S, WU H T, LI T H, et al.Formation of aroma characteristics driven by volatile components during long-term storage of An tea[J].Food Chemistry, 2023, 411:135487.

[45] MIN S, ZHANG Q H.Effects of commercial-scale pulsed electric field processing on flavor and color of tomato juice[J].Journal of Food Science, 2003, 68(5):1600-1606.

[46] AGUIL-AGUAYO I, MONTERO-CALDERN M, SOLIVA-FORTUNY R, et al.Changes on flavor compounds throughout cold storage of watermelon juice processed by high-intensity pulsed electric fields or heat[J].Journal of Food Engineering, 2010, 100(1):43-49.

[47] PAN S X, LIU X M, ZHENG X D, et al.Impact of long-term cold storage on the physicochemical properties, volatile composition, and sensory attributes of dried jujube (Zizyphus jujuba Mill.)[J].Foods, 2025, 14(1):50.

Effect of pulsed electric field treatment on the flavour change of cold extracted green tea and the stability of aroma during low temperature storage

HE Haiyan,TAN Xinyi,WANG Hongxin*

(School of Food Science and Technology, Jiangnan University, Wuxi 214122, China)

ABSTRACT In this study, the effects of pulsed electric field (PEF) treatment on the volatile compounds in cold extracted green tea and their stability under low temperature storage were investigated systematically.Comparing the changes in aroma of cold extracted green tea before and after PEF treatment and high temperature short time (HTST), volatile compounds were identified based on HS-SPME-GC-TOF-MS, and 90, 78 and 75 compounds were detected in the PEF treatment group, HTST treatment group and control group, respectively.Analysis of the concentrations of various compounds revealed that PEF treatment increased the concentrations of ketones, esters and nitrogen-containing substances by 39.67%, 267.92% and 101.29%, respectively, compared with the control group, which conferred rich aroma characteristics to the tea broth.Meanwhile, the PEF treatment retained the alcohols, aldehydes and terpenoids in the cold-extracted green tea better than the HTST treatment.42 compounds with variable importance in projection (VIP)>1 were screened by the orthogonal partial least squares discriminant analysis (OPLS-DA) model (R2X=0.636,R2Y=0.995,Q2=0.926), among which the PEF-treated group included characteristic ester compounds (folyl isovalerate, (E)-2-hexenyl hexanoate, γ-caprolactone), while the HTST-treated group included characteristic aromatic compounds (eugenol, phenol) and pyrazine.The relative odour activity value (ROAV) analysis showed that there were 15 compounds with ROAV>1 in the PEF-treated group, while there were only 12 and 11 compounds in the HTST and the control, which indicated that the PEF-treated cold-extracted green teas had a more enriched aroma perception.The sensory evaluation revealed that the PEF-treated cold-drawn green tea had a higher perception of floral, herbaceous, and fruity aromas and a higher overall intensity of aroma compared with the HTST-treated group.Comparison of the effects of PEF and HTST treatments on the storage stability of the main aromas by fitting a Weibull distribution function showed that the PEF treatment had better aroma storage stability, especially the aroma retention of linalool (ROAV>1) for more than 76 days.The results showed that PEF, as a non-thermal sterilisation technology, can effectively maintain the characteristic aroma profile of cold extracted green tea and improve the aroma storage stability, which provides a theoretical basis and technical support for the storage and preservation of high-quality heat-sensitive beverages.

Key words pulsed electric field;storage period;cold-drawn green tea;volatiles;weibull distribution function;high-temperature short-time;odour activity value;sensory evaluation

DOI:10.13995/j.cnki.11-1802/ts.042888

引用格式:何海晏,谈馨忆,王洪新.脉冲电场处理对冷萃绿茶风味变化及低温贮藏期间香气稳定性影响的研究[J].食品与发酵工业,2025,51(19):336-345.HE Haiyan,TAN Xinyi,WANG Hongxin.Effect of pulsed electric field treatment on the flavour change of cold extracted green tea and the stability of aroma during low temperature storage[J].Food and Fermentation Industries,2025,51(19):336-345.

第一作者:硕士研究生(王洪新教授为通信作者,E-mail:hxwang@jiangnan.edu.cn)

基金项目:“十四五”国家重点研发计划项目(2022YFD2101104)

收稿日期:2025-03-31,改回日期:2025-04-16