景迈山古茶园与生态茶园晒青茶品质特征的研究

岩嘎1,杨艳芬1,杨梓泰1,刘瑶1,段红星1,谢瑾1,李家华1,王凯博2,刘本英2,杨广容1*,马玉青2*

1(云南农业大学 茶学院,云南 昆明,650201)2(云南省农业科学院茶叶研究所,云南省茶学重点实验室,云南 昆明,650205)

摘 要 为阐明景迈山古树与生态茶园晒青茶的品质差异,该研究选取景迈山14个古茶园、8个生态茶园的鲜叶为原料按传统晒青茶的工艺加工制得的茶样为研究对象,进行感官审评和品质化学成分测定,结合相关性分析和主成分分析,从不同季节与栽培模式分析两类晒青茶在品质特征的差异。结果表明,从不同栽培模式看,古树晒青茶感官品质优于生态晒青茶,整体表现为外形条索紧结有毫、色泽墨绿,汤色黄绿明亮,香气清香,滋味浓醇回甘,叶底黄绿柔软、有芽;生态晒青茶则为外形条索紧结略有毫、色泽墨绿泛褐,黄绿较明亮,香气清香,滋味较浓醇,叶底黄绿。古树晒青茶氨基酸、咖啡碱、表儿茶素(epicatechin,EC)、表儿茶素没食子酸酯(epicatechin gallate,ECG)、没食子酸(gallic acid,GA)、儿茶素含量整体高于生态晒青茶,而黄酮和可溶性糖含量显著低于生态晒青茶,其他成分差异不显著。古树晒青茶在不同季节品质特征差异明显,秋季古树晒青茶整体优于明前、明后;但其汤色、叶底感官品质与春季相比欠佳,明前春茶叶底表现最佳,为黄绿、柔软、较匀亮、有芽,明后春茶汤色表现最佳,为浅黄绿、较明亮;明前春季古树晒青茶氨基酸、表没食子儿茶素(epigallocatechin,EGC)含量最高,明后春季古树晒青茶可溶性糖、黄酮、EC、儿茶素(catechin,C)、ECG、儿茶素总量最高,秋季古树晒青茶水浸出物、茶多酚、咖啡碱、表没食子儿茶素没食子酸酯、GA含量最高。该研究阐明了不同季节与栽培模式景迈山古树与生态茶园晒青茶的品质差异,对今后古茶树资源利用提供理论依据。

关键词 景迈山;古树茶;生态茶园;感官品质;化学成分

茶树起源于中国西南地区,是我国最重要的经济作物之一,其树龄可达百年以上。景迈山位于中国云南省的西南边陲,茶叶栽培历史悠久,历经千年发展,目前保存着丰富的古茶树资源。目前,景迈山是唯一以古茶林为主体申遗的世界物质文化遗产,这里不仅有成片的现代生态茶园,也有生长几百年占地面积1 867 hm2的古茶园[1]

晒青茶作为国家地理标志产品普洱茶的唯一原料[2],对于普洱茶的品质至关重要。目前,许多学者对晒青茶品质特征进行研究,ZHANG等[3]通过采用气质联用技术和高效液相色谱对布朗山古树普洱晒青茶挥发性成分和生物活性成分进行比较分析,结果表明3个品种的古树晒青茶(老曼峨、老班章和布朗)香气成分组成及含量差异较大,但主要成分均为醇类、碳氢类和酮类化合物;罗慧等[4]对澜沧江流域不同茶区晒青茶品质进行比较研究,认为不同茶区的晒青茶感官品质和内含化学成不同;杨春华等[5]对景迈山7个村寨的晒青茶品质特征研究表明,景迈山古树晒青茶理化成分和香气物质含量均存在一定的差异,并可根据特有香气成分以及理化成分判别茶样来源;李兴凤等[6]对云南双江不同季节晒青茶品质特征进行比较研究,结果表明大户赛和公弄地区的晒青茶品质均是春茶>秋茶>夏茶。由此可见,通过对不同地区和不同季节的晒青茶优势特征成分研究,可更好地认识和利用晒青茶、提高普洱茶品质。

但是,目前针对古茶园与生态茶园的茶树鲜叶为原料所制成的晒青茶感官品质和化学成分的研究还比较少,所以,研究古树与生态茶园晒青茶品质特征差异对古茶树资源利用有重要意义。本研究选取景迈山14个古树茶园、8个生态茶园的鲜叶为原料按传统晒青茶的工艺加工制得的茶样为研究对象,进行茶样感官审评和品质化学成分测定,阐明不同季节与栽培模式的2类晒青茶品质特征的差异,有助于古树茶园与生态茶园制得的晒青茶的品质差异的科学评价,推动古茶树资源合理开发利用。

1 材料与方法

1.1 材料与处理

以云南省普洱市景迈山的14个古树茶园、8个生态茶园所产的芽叶为原料,采摘一芽二叶鲜叶,按照传统晒青茶加工工艺(鲜叶—摊放—杀青—揉捻—晒干)制成22个晒青茶茶样,其中前16个(MG01、MG02、DZ01、DZ02、NG01、NG02、SZ01、SZ02、WG01、WG02、MH01、MH02、JM01、JM02、MJ01、MJ02)为不同栽培模式晒青茶茶样,后6个(JMGS01、JMGS02、JMGS03、MJGS01、MJGS02、MJGS03)为不同季节晒青茶茶样,其主要信息见表1。

表1 茶样编号及来源
Table 1 Tea samples number and source

样品序号来源样品序号来源MG01景迈芒埂古树晒青春茶MH02芒景芒洪生态晒青春茶MG02景迈芒埂生态晒青春茶JM01景迈古树晒青明前春茶DZ01景迈大寨古树晒青春茶JM02景迈生态晒青明前春茶DZ02景迈大寨生态晒青春茶MJ01芒景古树晒青明前春茶NG01景迈糯岗古树晒青春茶MJ02芒景生态晒青明前春茶NG02景迈糯岗生态晒青春茶JMGS01景迈古树晒青明前春茶SZ01芒景上寨古树晒青春茶JMGS02景迈古树晒青明后春茶SZ02芒景上寨生态晒青春茶JMGS03景迈古树晒青秋茶WG01芒景翁基古树晒青春茶MJGS01芒景古树晒青明前春茶WG02芒景翁基生态晒青春茶MJGS02芒景古树晒青明后春茶MH01芒景芒洪古树晒青春茶MJGS03芒景古树晒青秋茶

1.2 仪器与设备

101A-2型电热鼓风恒温干燥箱,上海跃进医疗器械有限公司;HH-S28S数显恒温水浴锅,北京市永光明医疗仪器有限公司;ES5000型电子秤,天津市德安特传感技术有限公司;马弗炉,上海慧泰仪器制造有限公司;756CRT紫外可见分光光度计,上海菁华科技仪器有限公司;高速冷冻离心机,湖南凯达科学仪器有限公司;HPLC,美国安捷伦公司科技有限公司。

1.3 检测方法

1.3.1 感官审评

感官审评由云南农业大学和云南省农科院茶叶研究所组成的审评专家参考GB/T 23776—2018《茶叶感官审评方法》和GB/T 14487—2017《茶叶感官审评术语》的规定进行。

1.3.2 品质成分测定

茶叶内含成分在云南省农业科学院茶叶研究所综合实验室进行检测,检测项目及方法见表2。

表2 品质成分测定方法
Table 2 Method for the determination of quality components

品质成分方法水浸出物GB/T 8305—2013《茶 水浸出物测定》茶多酚总量GB/T 8313—2018《茶叶中茶多酚和儿茶素类含量的检测方法》游离氨基酸GB/T 8314—2013《茶 游离氨基酸总量的测定》咖啡碱GB/T 8312—2013《茶 咖啡碱测定》儿茶素组分用HPLC进行测定黄酮含量三氯化铝比色法可溶性糖总量蒽酮-硫酸比色法

1.4 数据处理

每个茶样进行3次平行实验,采用Excel 2016对试验样品各品质指标进行数据统计,使用Origin 2021和SPSS 26等软件系统进行相关性分析(P<0.05)和主成分分析。

2 结果与分析

2.1 茶样感官审评结果分析

景迈山古树与生态茶园晒青茶感官审评结果如表3所示,茶样外形、汤色、香气、滋味和叶底评分均在85~95.0,综合评分在85.5~92.0,说明景迈山晒青茶整体感官审评较为优异。在景迈山古树晒青茶样中,景迈大寨古树晒青春茶综合评分最高为92.0分,表现为外形条索肥壮、有毫、色泽墨绿有光泽、较匀整,汤色黄绿明亮,香气清香浓郁持久,滋味浓醇爽口回甘,叶底黄绿柔软较匀有芽。芒景翁基古树晒青春茶综合评分最低为85.5分,表现为外形条索紧结、有毫、色泽墨绿、匀整、较洁净、略带老梗、有黄片,汤色浅黄较亮,香气有高火,滋味浓醇较涩,叶底深绿柔软较匀亮。生态茶园晒青茶中,景迈糯岗生态晒青春茶综合评分最高为88.9分,表现为外形条索紧结、有毫、色泽墨绿泛褐、匀整、较洁净,汤色浅黄尚亮,香气清香较浓持久,滋味浓醇回甘,叶底黄绿柔软较匀亮。芒景翁基生态晒青春茶综合评分最低为86.7,表现为外形条索紧细、略有毫、色泽墨绿偏黑、较匀整、较洁净,汤色黄亮,香气清香纯平,滋味尚醇有杂味,叶底深绿柔软较匀亮。从不同栽培模式来看,景迈糯岗古树和生态晒青茶样即使综合评分相同,各感官审评中表现也不相同,而芒景翁基古树晒青茶综合评分低于生态晒青茶,这可能与加工工艺有关,其他茶样综合评分古树晒青茶均高于生态晒青茶。

表3 茶样感官审评结果
Table 3 Sensory evaluation results of tea samples

样品编号外形汤色香气滋味叶底评语得分评语得分评语得分评语得分评语得分总分MG01条索肥壮、显毫、色泽墨绿较润、较匀整92黄绿、明亮90清香较浓郁、持久90浓醇、稍涩、回甘89黄绿、柔软、有芽、稍带红叶8990.1MG02条索紧结、略有毫、色泽墨绿泛褐、较匀整、较洁净、有黄片85黄绿、明亮90有生青气85尚浓醇、回甘90黄绿、柔软、较匀9087.5DZ01条索肥壮、有毫、色泽墨绿有光泽、较匀整90黄绿、明亮90清香浓郁、持久95浓醇、爽口、回甘95黄绿、柔软、较匀、有芽9092.0DZ02条索紧结、略有毫、色贼墨绿、稍带黄片87绿亮94清香浓郁、持久92醇正87黄绿、柔软、较匀亮8788.0NG01条索肥壮、有毫、色泽墨绿泛褐、稍枯85黄绿、明亮90清香纯平、持久90较醇正85黄绿、柔和、尚匀8788.9NG02条索紧结、有毫、色泽墨绿泛褐、匀整、较洁净87浅黄、尚亮87清香较浓、持久90浓醇、回甘90黄绿、柔软、较匀亮9088.9SZ01条索紧细、有毫、色泽墨绿偏黑、较润、较匀整、略带黄片87黄绿、明亮90清香尚纯85浓醇90深绿、柔软、较匀亮9088.0SZ02条索紧结、略有毫、色泽墨绿、较匀整、稍枯、有黄片87黄亮87清香纯平87欠醇85黄绿、柔软、较匀亮9086.7WG01条索紧结、有毫、色泽墨绿、匀整、较洁净、略带老梗、有黄片85浅黄、较亮85有高火85浓醇、较涩85深绿、柔软、较匀亮9085.5WG02条索紧细、略有毫、色泽墨绿偏黑、较匀整、较洁净87黄亮87清香纯平87尚醇、有杂味85深绿、柔软、较匀亮9086.7MH01条索紧结、有毫、色泽墨绿、较匀整、较洁净、有黄片、稍枯85黄绿、明亮90清香浓郁90浓醇、回甘90黄绿、柔软、较匀亮9088.8MH02条索紧结、有毫、色泽墨绿、较匀整、较洁净、有黄片、稍枯87浅黄、明亮87清香尚纯87较浓醇、稍带杂味87深绿、较匀亮8787.0JM01条索较紧结、有毫、色泽墨绿、尚润、较匀整、有黄片85浅黄、尚亮85清香纯正、较持久90浓醇、稍涩、回甘87黄绿、柔软、较匀亮、有芽9287.6JM02条索紧结、有毫、色泽墨绿泛褐、较匀整、有老梗、黄片85绿黄、明亮87清香纯平、尚持久87较浓醇87黄绿、柔软、较匀9086.8MJ01条索紧结、显毫、色泽墨绿、较润、匀整、洁净92浅黄、较亮90清香浓郁、较持久92浓醇、较涩87黄绿、柔软、有芽、匀亮9090.1MJ02条索紧结、有毫、色泽墨绿泛褐、较匀整、较洁净、有老梗、稍带黄片87黄绿、较明亮87清香纯平、持久90较醇、略带青味87黄绿、较柔软、较匀亮9088.1JMGS01条索较紧结、有毫、色泽墨绿、尚润、较匀整、有黄片85浅黄、尚亮85清香纯正、较持久90浓醇、稍涩、回甘87黄绿、柔软、较匀亮、有芽9287.6JMGS02条索粗大、有毫、色泽墨绿较润、较匀整、多黄片、带梗85浅黄绿、较明亮90清香纯正、较持久90醇正、回甘90黄绿、柔软、较匀亮、略有芽9289.0JMGS03条索紧秀、显毫、色泽褐黄、匀整、洁净、稍枯87浅绿黄、明亮87清香浓郁、纯正、持久92浓醇90浅黄、肥嫩、匀齐8989.4MJGS01条索紧结、显毫、色泽墨绿、较润、匀整、洁净92浅黄、较亮90清香浓郁、较持久92浓醇、较涩87黄绿、柔软、有芽、匀亮9090.1MJGS02条索紧结、有毫、色泽墨绿、尚润较匀整、较洁净、多黄片、老梗85浅黄、较亮90清香馥郁、较持久92浓醇、稍涩87黄绿、柔软、略带红叶、较匀亮9088.4MJGS03条索紧秀、显毫、色泽墨绿、较润、匀整、洁净90浅黄、泛红87清香浓郁、持久95浓醇90嫩绿、多芽、匀亮、肥壮9091.0

从景迈与芒景不同季节的古树晒青茶来看,景迈古树晒青秋茶综合评分最高为89.4分,其次是明后春茶,综合评分89.0分,最低是明前春茶综合评分87.6。芒景古树晒青秋茶综合评分最高为91.0分,其次是明前春茶,综合评分90.1分,最低是明后春茶,综合评分88.4分。

2.2 古茶园与生态茶园晒青茶品质成分分析

茶叶中的水浸出物含量是茶叶中可溶性物质的指标,影响着茶汤的厚薄、滋味的浓淡,反映了茶叶中可溶性成分的丰富程度[7]。由表4可知,景迈山古树晒青茶水浸出物含量范围为49.21%~56.43%,平均含量为52.77%。生态茶园晒青茶水浸出物含量范围为51.94%~55.15%,平均含量为53.24%,通过8个村寨古树与生态茶园晒青茶样的水浸出物比较得出:除芒景明前古树的49.21%显著低于生态晒青的53.34%外,其余7组茶样古树与生态晒青水浸出物含量之间无显著差异。

氨基酸是影响茶叶鲜爽味的主要物质,对于提高茶汤的鲜爽度、缓解苦涩味具有重要作用[8-9]。由表4可知,景迈山古树晒青茶氨基酸含量范围为2.71%~3.81%,平均含量为3.21%。生态晒青茶含量范围为2.63%~3.32%,平均含量为3.11%,除景迈大寨古树晒青茶显著高于生态晒青茶外,其余组别不存在显著性差异。其中,芒景上寨的晒青茶氨基酸含量最高(3.81%、3.29%),芒景翁基的晒青茶氨基酸含量最低(2.71%、2.63%)。总体上,景迈山古树晒青游离氨基酸含量高于生态晒青茶,与感官审评茶叶滋味结果一致。

多酚类物质呈苦涩味,刺激性较强,是构成茶汤滋味的主要物质之一[10]。表4中,景迈山古树晒青茶茶多酚含量较高,在28.68%~38.45%,平均含量达33.98%。生态晒青茶茶多酚含量范围为28.22%~36.57%,平均含量为34.12%。并且8组古树与生态晒青茶在茶多酚含量上存在显著性差异,除了芒景翁基和芒景明前春茶古树晒青茶茶多酚含量显著高于生态晒青茶外,古树晒青茶中的茶多酚含量显著低于生态晒青茶。

咖啡碱是构成茶汤苦味的主要物质,是茶叶中主要的嘌呤碱,具有提神、抗疲劳、兴奋神经等功能[11]。本研究中,古树晒青茶咖啡碱含量在3.38%~4.58%,平均含量为4.09%;生态晒青茶咖啡碱含量为3.07%~4.55%,平均为3.87%。景迈明前春茶古树和生态晒青茶咖啡碱含量均比较高分别为4.56%、4.55%,芒景上寨(3.38%、3.07%)和景迈大寨(3.76%、3.90%)的晒青茶的咖啡碱含量均比较低。上寨、翁基、芒洪和芒景明前的古树与生态晒青在咖啡碱含量上差异显著;其他组茶样的咖啡碱含量无明显差异。

黄酮、黄酮醇及其糖苷类物质占茶叶干重的3%~4%,大部分呈黄色,是形成茶汤色泽的主要化合物[12]。表4可知,景迈山古树晒青茶的黄酮含量在5.96~9.45 mg/g,平均值为7.66 mg/g。生态晒青茶则为7.26~14.52 mg/g,平均值为9.55 mg/g。除芒景翁基和景迈明前春季晒青茶含量无显著性差异外,其余村寨均为古树晒青茶黄酮含量显著低于生态晒青茶。

表4 景迈山古树与生态茶园晒青茶品质成分测定结果
Table 4 Determination results of quality components in sun-dried green tea from ancient and ecological tea gardens in Jingmai Mountain

村寨茶样种类水浸出物/%氨基酸/%茶多酚/%黄酮/(mg/g)可溶性糖/%咖啡碱/%景迈芒埂古树茶54.24±1.97a3.38±0.43a34.11±1.56a6.17±0.12b3.84±0.29b4.18±0.38a生态茶52.46±1.83a3.32±0.32a35.02±1.03a9.39±0.28a5.44±0.34a4.21±0.12a景迈大寨古树茶56.43±3.89a3.12±0.12a28.68±2.80a8.91±0.09b5.24±0.04a3.76±0.29a生态茶55.15±2.14a3.09±0.18b33.50±0.89a9.67±0.30a4.85±0.17b3.90±0.35a景迈糯岗古树茶54.33±3.90a3.29±0.06a34.40±0.65b6.63±0.10b5.39±0.42a4.12±0.06a生态茶53.27±3.35a3.12±0.29a36.18±0.22a8.96±0.22a5.69±0.13a4.27±0.10a芒景上寨古树茶54.79±1.52a3.81±0.70a31.47±0.57b8.13±1.17b4.95±0.21a3.38±0.12a生态茶53.85±4.49a3.29±0.66a36.57±1.18a8.77±0.23a5.45±0.37a3.07±0.14b芒景翁基古树茶51.24±2.04a2.71±0.32a38.43±1.24a9.28±0.25a6.44±0.26a4.11±0.03a生态茶52.79±0.70a2.63±0.08a33.53±1.17b9.15±0.12a5.26±0.16b3.89±0.17a芒景芒洪古树茶51.46±2.44a3.04±0.39a38.45±3.67a5.96±0.14b5.08±0.40b4.05±0.17a生态茶53.14±2.44a3.18±0.24a35.66±0.86a8.67±0.35a6.49±0.45a3.94±0.02a景迈明前古树茶50.49±0.26a3.36±0.32a32.47±3.11a6.72±0.45a5.89±0.34a4.56±0.20a生态茶51.94±0.92a3.02±0.08a32.98±1.81a7.26±0.26a5.69±0.10a4.55±0.24a芒景明前古树茶49.21±1.37b2.93±0.14a33.83±1.41a9.45±0.65b6.06±0.29a4.58±0.09a生态茶53.34±0.66a3.21±0.21a28.22±0.48b14.52±0.33a6.13±0.15a3.10±0.23b

注:不同小写字母代表不同组间差异显著(P<0.05)。

茶叶中的可溶性糖是构成茶汤甜醇的呈味物质的主要成分,其与茶叶品质的变化密切相关。由表4可知,景迈山各村寨古树晒青茶可溶性糖含量范围为3.84%~6.44%,平均含量为5.36%;生态晒青茶可溶性糖含量范围为4.85%~6.49%,平均值为6.62%。其中,景迈大寨和芒景翁基古树晒青茶的可溶性糖含量显著高于生态晒青茶,但从整体来看,古树晒青茶可溶性糖含量低于或显著低于生态晒青茶。

儿茶素是茶叶中的主要酚类化合物,分为单体儿茶素衍生物和聚合儿茶素衍生物,占茶叶中茶多酚含量的70%以上,是构成茶叶苦味和涩味的主要因素[13-14]。本研究采用HPLC法对景迈山古树与生态晒青茶的儿茶素组分进行检测分析,结果见图1。从不同栽培模式上看,古树晒青茶和生态晒青茶儿茶素组分含量依次为:儿茶素(epicatechin,EC)>表没食子儿茶素没食子酸酯(epigallocatechin gallate,EGCG)>表儿茶素没食子酸酯(epicatechin gallate,ECG)>表没食子儿茶素(epigallocatechin,EGC)>儿茶素(catechin,C)>没食子酸(gallic acid,GA),其中GA含量分别为1.81%、0.40%。且除景迈村寨外,景迈芒埂和糯岗、芒景上寨、翁基和芒洪各村寨的古树茶的GA含量普遍显著高于生态晒青茶。古树晒青茶的C含量范围为0.44%~1.33%,平均为0.86%,生态晒青茶则为0.57%~1.13%和0.87%。除芒景芒洪和景迈上寨两村的生态晒青茶和古树晒青茶的C含量有显著差异外,其余无显著性差异。古树晒青茶与生态晒青茶EC、EGCG、EGC和ECG的含量范围分别为0.76%~4.04%与1.64%~3.11%、0.28%~3.41%与0.38%~3.34%、0.22%~3.95%与0.63%~3.39%和0.20%~3.02%与0.14%~3.33%,从整体上看,古树晒青茶的EC、EGC和ECG的含量普遍高于生态晒青茶。最后,古树晒青茶和生态晒青茶的儿茶素总量分别在6.82%~16.03%和6.75%~15.39%,平均为13.59%和11.39%,除景迈糯岗村寨外,其余各村寨古树晒青茶儿茶素总量均显著高于生态晒青茶。

图1 古树与生态晒青茶儿茶素组分热图
Fig.1 Heatmap of catechin composition in sun-dried green tea from ancient and ecological tea gardens

注:图中标尺上从0~15对应颜色由黄色到红色, 颜色偏向红色,表示儿茶素含量高, 颜色偏向黄色, 表示儿茶素含量低。

2.3 不同季节晒青茶品质差异分析

不同季节景迈和芒景2个村寨所制古树晒青茶的品质成分之间的差异如图2所示。景迈古树晒青茶3个季节的水浸出物、氨基酸、茶多酚、咖啡碱、可溶性糖和黄酮含量变化在46.23%~50.92%、3.06%~3.36%、34.21%~37.89%、4.56%~6.18%、4.68%~6.66%和5.97%~7.48%。除水浸出物和氨基酸含量在季节间无显著性差异外,茶多酚和咖啡碱含量在秋季显著高于春茶,而可溶性糖和黄酮含量则在春茶中显著高于秋茶,且明前和明后春茶之间的茶多酚、咖啡碱、可溶性糖和黄酮含量均未表现出显著差异。芒景古树晒青茶3个不同季节的水浸出物和茶多酚含量在49.21%~50.50%和33.83%~34.92%,均不存在显著性差异。氨基酸和咖啡碱明后春茶的含量最低,分别为2.25%、3.98%,显著低于其他两季。而明后春茶的可溶性糖和黄酮含量分别为6.74%和12.12 mg/g,显著高于明前春茶和秋茶。

a-景迈古树晒青茶;b-芒景古树晒青茶

图2 不同季节古树晒青茶品质成分比较
Fig.2 Comparison of quality components about ancient tree sun-dried green tea from different seasons

注:不同小写字母代表不同组间差异显著(P<0.05)(下同)。

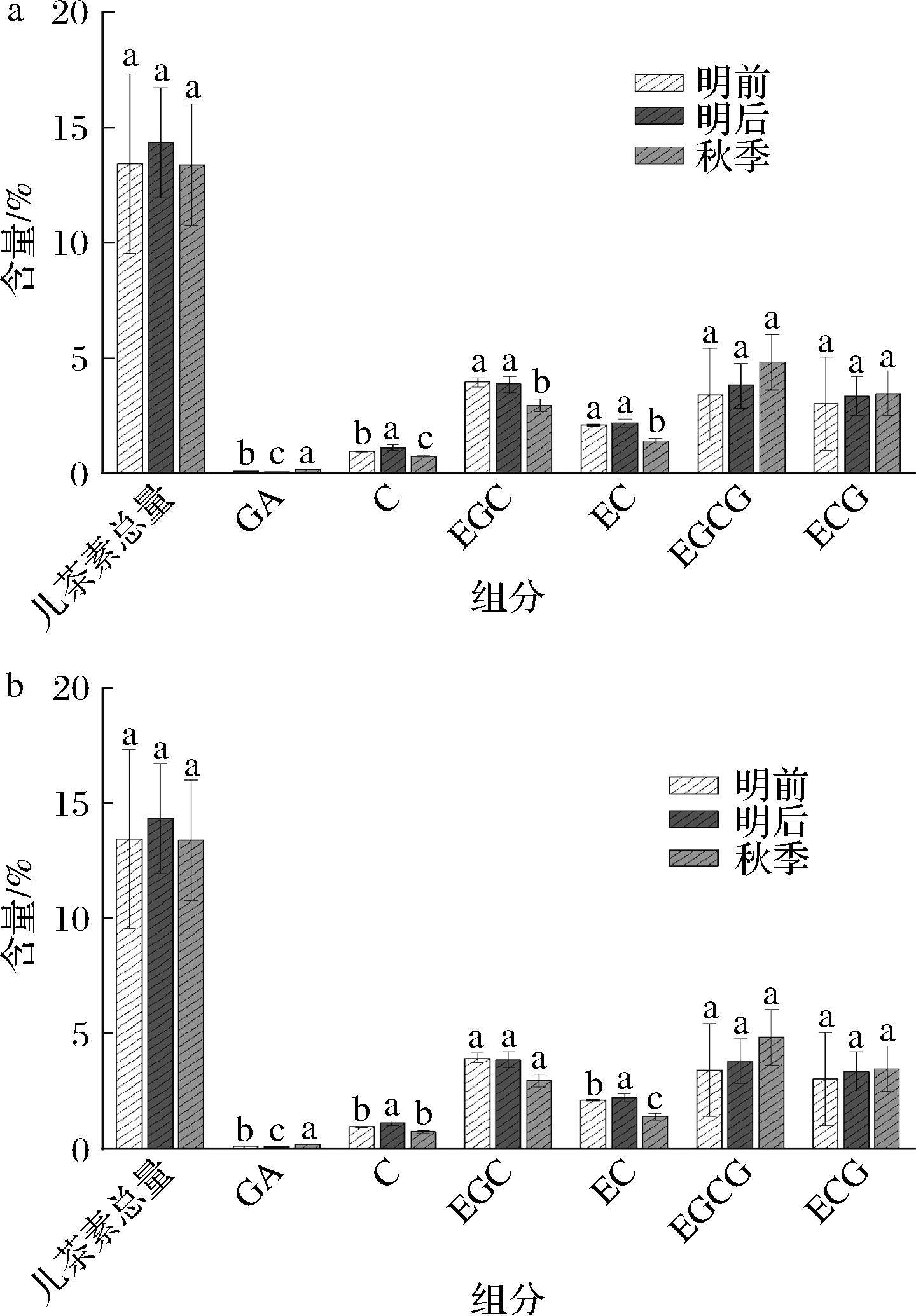
不同季节的古树晒青茶单体儿茶素和总儿茶素含量比较如图3。景迈与芒景古树晒青茶3个季节儿茶素总量变化依次为明后>明前>秋季,最高值分别为14.35%和14.17%。景迈古树晒青和芒景古树晒青3个季节的总儿茶素含量之间无明显差异。两村寨古树晒青茶儿茶素组分含量依次为:EGCG>EGC>ECG>EC>C>GA。6个茶样中,除景迈与芒景3个季节的古树晒青茶的EGCG和ECG含量在3.39%~4.19%和2.24%~3.68%,季节间无显著性差异外,EGC、EC、C和GA的含量分别在2.30%~3.95%、1.34%~2.29%、0.62%~1.12%和0.05%~0.18%,其中,景迈古树秋季晒青茶的EC和EGC含量显著低于明前和明后,而明后晒青茶C含量显著高于其他两季;芒景古树明后晒青茶EC和C含量显著高于秋季和明前。两个村寨GA含量则秋茶显著性高于明前春茶、明前春茶又显著高于明后春茶。

a-景迈古树晒青茶;b-芒景古树晒青茶

图3 不同季节古树晒青茶儿茶素组分含量
Fig.3 Catechin contents of ancient tree sun-dried green tea in different seasons

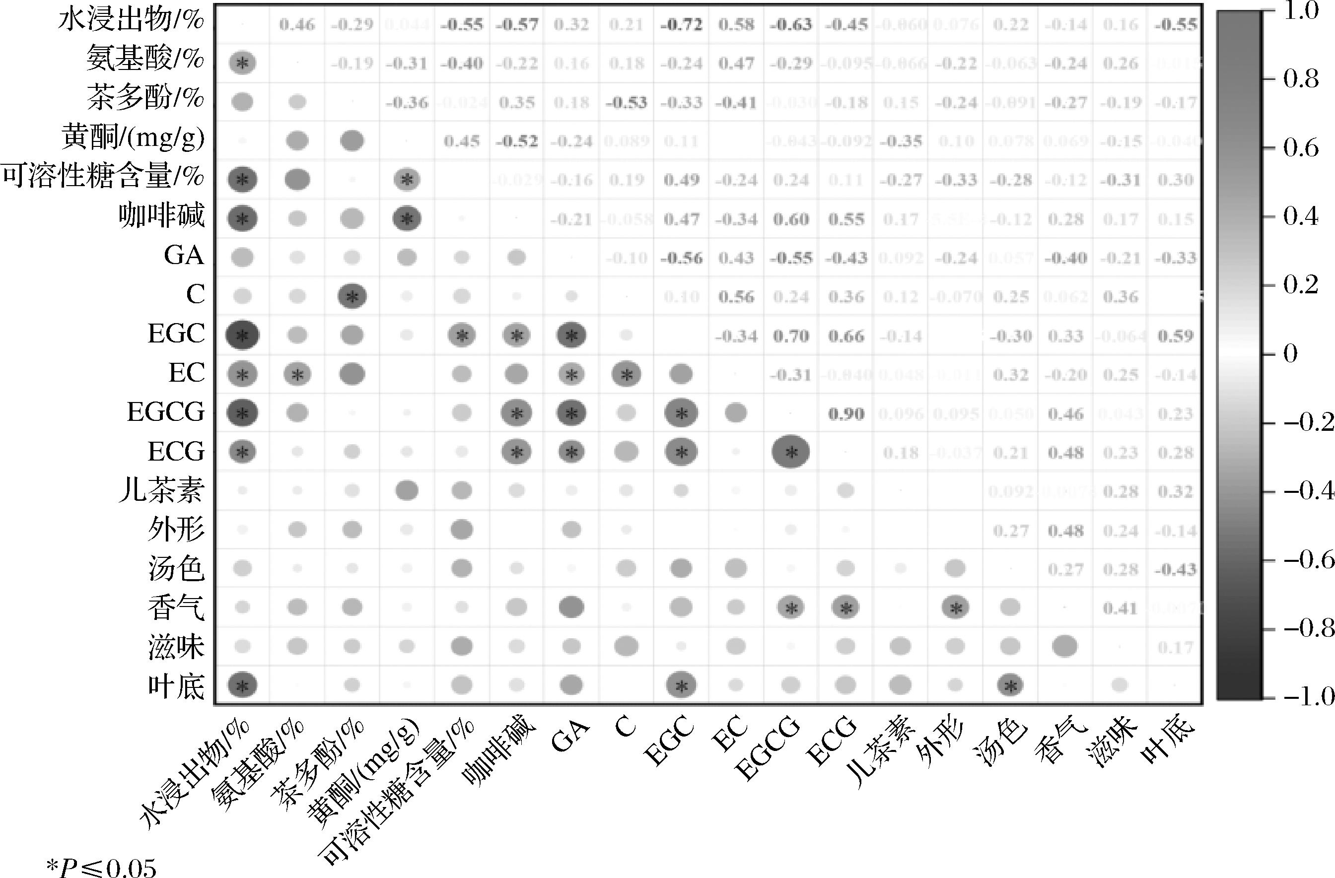
2.4 晒青茶感官品质与内含成分间的相关性分析

将古树与生态晒青茶的感官审评和理化成分含量的测定结果进行Pearson相关性分析,结果如图4所示。在品质成分中,水浸出物含量与氨基酸和EC呈显著正相关(P<0.05),与可溶性糖、咖啡碱、EGC、EGCG、ECG呈显著负相关(P<0.05);氨基酸与EC呈显著正相关(P<0.05);茶多酚与C呈显著负相关(P<0.05);黄酮与可溶性糖呈显著正相关,与咖啡碱呈显著负相关(P<0.05);可溶性糖与EGC呈显著正相关(P<0.05);咖啡碱与EGC、EGCG和ECG呈显著正相关(P<0.05);GA与EC呈显著正相关,与EGC、EGCG和ECG呈显著负相关(P<0.05);C与EC呈显著正相关(P<0.05);EGC与EGCG和ECG呈显著正相关(P<0.05);EGCG与ECG呈显著正相关(P<0.05)。感官品质与内含成分间的相关性显示:外形与水浸出物和黄酮呈正相关;汤色与水浸出物、C、EC和ECG呈正相关;香气与EGCG和ECG呈显著正相关(P<0.05);滋味与氨基酸、C、EC和ECG呈正相关;叶底与EGC呈显著正相关(P<0.05),与水浸出物和汤色呈显著负相关(P<0.05)。表明晒青茶的理化成分含量对感官品质有着一定的影响,但部分指标之间呈现负相关性,进一步表明不能用各成分含量的高低简单评判茶叶品质的优劣。

图4 晒青茶样品质指标相关性分析
Fig.4 Correlation analysis of quality indexes of sun-dried green tea samples

注:“*”代表存在差异显著(P<0.05)。

将22个茶样的主要理化成分含量进行主成分分析,分析结果如表5所示。4个成分的特征根均大于1,累计贡献率为89.377%,基本解释古树与生态晒青茶在理化成分中的大部分信息。其中主成分1的特征根和方差贡献率最高,为4.699、44.245%,表明水浸出物、EGC、EGCG和EC是构成两类晒青茶品质的主要成分。主成分2、主成分3和主成分4的特征根和方差贡献率分别为2.527和21.873%,2.207和15.046%,1.094和8.738%,依次反映晒青茶品质还与茶多酚、C、ECG、咖啡碱、黄酮、氨基酸、可溶性糖、儿茶素总量和GA等含量密切相关。

表5 主成分因子分析
Table 5 Principal component factor analysis

组分主成分1主成分2主成分3主成分4水浸出物/% 0.407 0.157-0.118-0.240氨基酸/%0.3420.1430.0160.250茶多酚/%-0.043-0.4690.2450.088黄酮/(mg/g)-0.0810.148-0.532-0.228可溶性糖含量/%-0.3210.030-0.3300.355咖啡碱/%-0.2660.0240.4260.257GA0.319-0.0740.1250.561C0.1360.4690.0090.154EGC-0.3780.253-0.1070.121EC0.3670.3290.0260.184EGCG-0.3830.3370.252-0.012ECG-0.1620.4430.277-0.067儿茶素0.1160.0590.430-0.486特征根4.6692.5272.2071.094方差贡献率/%44.24521.87315.0468.738累计方差贡献率/%44.24566.11881.16489.902

如图5所示,以PC1为横坐标,PC2为纵坐标建模得到品质成分得分图,可以直观反映古树与生态晒青茶品质成分的差异性。从不同栽培模式的晒青茶上看,古树晒青茶在主成分空间上距离较分散,说明样品间差异大;生态晒青茶中JM02和MJ02与其他样品距离较远,说明此2个样品与其他生态晒青茶茶样间差异大。此外,JM01和MJ01在第一主成分中占优,DZ01和MJ02在第二主成分中占优。从不同季节的晒青茶来看,JMGS1在第一主成分中占优,MJGS2在第二主成分占优。

图5 生化成分PCA得分图
Fig.5 PCA score plot of biochemical components

3 讨论

古茶树与生态茶园中的茶树由于树龄、栽培方式与生态环境的不同,茶叶内含物质比例也不同,导致古树茶与生态茶在品质特征上有明显区别[15]。本研究以不同栽培模式及季节上对景迈山古茶树与生态茶园的晒青茶为研究对象,结合茶叶感官审评和理化成分与它们之间的相关性分析,结果表明:古茶树晒青茶与生态茶园晒青茶在感官审评上存在明显差异,古茶树晒青茶优于生态晒青茶,整体表现为外形条索紧结有毫、色泽墨绿,汤色黄绿明亮,香气清香,滋味浓醇回甘,叶底黄绿柔软(表3),与陈玫等[16]研究结果基本一致,即古茶树龄越大,茶叶口感越好,但芒景翁基的古树晒青茶在审评过程中出现高火味,这可能与加工工艺有关,从而导致综合评分低于生态晒青茶。从不同季节的古树晒青茶来看,芒景和景迈的茶样均为秋茶的感官品质最优,与王欣雨等[17]研究结果一致,这可能与当地茶树生长环境、栽培管理和茶叶加工水平等对茶叶品质影响有关。

本研究中生产于同一村寨古树和生态茶园晒青茶,其茶园气候条件和茶叶加工水平相同,但是由于茶树树龄、栽培模式、茶园生态及季节差异,古树晒青茶的氨基酸含量显著高于生态晒青茶,水浸出物和茶多酚含量则显著低于生态晒青茶,是构成古树晒青茶感官审评涩味减轻,鲜爽味增强的主要原因,与杨广容等[18]研究结果相似。张伟等[19]研究表明,可溶性糖是茶汤甜味的主要成分,能够缓解茶汤中苦涩味物质茶多酚、咖啡碱的刺激性作用。在本研究中景迈大寨、芒景翁基和景迈明前春季古树晒青茶的可溶性糖含量显著高于生态晒青茶,而黄酮和咖啡碱含量显著低于生态晒青茶(表4),与古树晒青茶的感官审评结果滋味浓醇回甘(表3)相符,表明茶叶感官品质不仅与其某些内含物质的含量有关,还要取决于各种内含物质之间的协同作用。

本研究中古树晒青茶的总儿茶素含量显著高于生态晒青茶,其中,古树晒青茶中EC、ECG含量显著高于生态晒青茶(图1),这可能是因为古树茶与生态茶园茶叶不同的留采方式导致茶树鲜叶中儿茶素组分的差异。此外,本研究还发现生态茶园晒青茶中GA含量普遍显著低于古树晒青茶,可能表明GA含量与茶树树龄有正相关关系,同时也与晒青茶的感官品质密切相关(图4)。

从不同季节的古树晒青茶来看,除氨基酸含量外,2个村寨古树晒青茶中各内含成分含量高低的季节性变化趋势基本一致。秋季晒青茶的水浸出物、茶多酚和咖啡碱含量显著高于明前和明后春茶(图2),与王欣雨等[17]研究结果相同;明后春季晒青茶的黄酮和可溶性糖含量高于明前春季和秋季晒青茶。此外,李芬等[20]的研究已证实,秋茶中的C、EC和儿茶素总量低于春茶和夏茶(图3),ECG含量则为夏>秋>春,与本研究结果相同。而本研究中秋茶的EGCG含量高于明前和明后春茶,与周玉忠等[21]研究结果相近。

4 结论

本研究以景迈山不同村寨古茶树与生态茶园茶树鲜叶为原料,采用相同的工艺制备晒青茶,通过感官品质与主要品质成分测定,对不同季节与栽培环境的晒青茶进行品质差异分析。从不同栽培模式看,古树晒青茶感官品质整体优于生态晒青茶,整体表现为外形条索紧结有毫、色泽墨绿,汤色黄绿明亮,香气清香,滋味浓醇回甘,叶底黄绿柔软、有芽;生态晒青茶则为外形条索紧结略有毫、色泽墨绿泛褐,黄绿较明亮,香气清香,滋味较浓醇,叶底黄绿。古树晒青茶内含成分中氨基酸、EC、ECG、GA、儿茶素总含量高于生态晒青茶,而水浸出物、茶多酚等含量低于生态晒青茶,这是构成古树晒青茶感官品质优于生态晒青茶的主要原因。从不同季节看,秋季古树晒青茶感官品质表现最优,但汤色和叶底较差,其主要原因为秋季古树晒青茶水浸出物、茶多酚、咖啡碱、EGCG、GA含量最高,黄酮和可溶性糖含量最低;而明后春茶汤色和叶底特征表现最佳,明后春季古树晒青茶可溶性糖、黄酮、儿茶素总量最高,是构成茶叶汤色和叶底色泽差异的主要影响因素。说明不同栽培模式与季节晒青茶的内含成分存在明显差异,是形成其品质特征的关键影响因素。本研究阐明了景迈山古茶树与生态茶园晒青茶品质特征,为古茶树资源合理利用提供理论依据。

参考文献

[1] 杨瑞娟, 王桥美, 彭文书, 等.云南景迈山不同生境茶园根际土壤微生物群落多样性初步研究[J].热带作物学报, 2021, 42(4):1182-1189.YANG R J, WANG Q M, PENG W S, et al.A preliminary study on the distribution diversity of rhizosphere soil microbial community in tea plantations with different habitats of jingmai mountain, Yunnan, China[J].Chinese Journal of Tropical Crops, 2021, 42(4):1182-1189.

[2] 罗琼仙, 何青元, 汪云刚, 等.云南晒青茶初加工品质提升初探[J].福建茶叶, 2011, 33(6):26-27.LUO Q X, HE Q Y, WANG Y G, et al.Preliminary study on improving the primary processing quality of Yunnan Sun-dried green tea[J].Tea in Fujian, 2011, 33(6):26-27.

[3] ZHANG W J, LIU C, YANG R J, et al.Comparison of volatile profiles and bioactive components of Sun-dried Pu-erh tea leaves from ancient tea plants on Bulang Mountain measured by GC-MS and HPLC[J].Journal of Zhejiang University:Science B, 2019, 20(7):563-575.

[4] 罗慧, 彭子宸, 王燕, 等.澜沧江流域不同茶区晒青茶品质比较[J].食品研究与开发, 2022, 43(23):145-151.LUO H, PENG Z C, WANG Y, et al.Comparison on the quality of sun-dried tea from different tea areas in Yunnan Province[J].Food Research and Development, 2022, 43(23):145-151.

[5] 杨春华, 袁文侠, 张世浩, 等.景迈山7个村寨古树茶的品质特征[J].云南农业大学学报(自然科学), 2024, 39(1):111-119.YANG C H, YUAN W X, ZHANG S H, et al.Quality characteristics of ancient tree tea in seven villages of Jingmai Mountain[J].Journal of Yunnan Agricultural University (Natural Science), 2024, 39(1):111-119.

[6] 李兴凤, 杨艳, 刘学艳.云南双江不同季节晒青茶品质对比分析[J].热带农业科技, 2025, 48(1):53-57.LI X F, YANG Y, LIU X Y.Comparative analysis of the quality of Sun-dried green tea in different seasons in Shuangjiang, Yunnan[J].Tropical Agricultural Science &Technology, 2025, 48(1):53-57.

[7] JIANG C K, MA J Q, LIU Y F, et al.Identification and distribution of a single nucleotide polymorphism responsible for the catechin content in tea plants[J].Horticulture Research, 2020, 7:24.

[8] ZHU M Z, LI N, ZHAO M, et al.Metabolomic profiling delineate taste qualities of tea leaf pubescence[J].Food Research International, 2017, 94:36-44.

[9] 雷林超, 赵明双, 龙宣蓉, 等.阿魏酸酯酶对晒青毛茶发酵过程的影响[J].食品与发酵工业, 2019, 45(14):128-132.LEI L C, ZHAO M S, LONG X R, et al.Effects of ferulic acid esterase on fermentation process of Sun-dried tea[J].Food and Fermentation Industries, 2019, 45(14):128-132.

[10] YU Z M, YANG Z Y.Understanding different regulatory mechanisms of proteinaceous and non-proteinaceous amino acid formation in tea (Camellia sinensis) provides new insights into the safe and effective alteration of tea flavor and function[J].Critical Reviews in Food Science and Nutrition, 2020, 60(5):844-858.

[11] 官兴丽, 肖海军, 梁俊涛, 等.云南西双版纳7个产地大树茶(晒青毛茶)品质分析[J].中国农学通报, 2012, 28(28):297-303.GUAN X L, XIAO H J, LIANG J T, et al.Analysis of quality of big plant tea(crude green tea) of seven areas in Xishuangbanna of Yunnan[J].Chinese Agricultural Science Bulletin, 2012, 28(28):297-303.

[12] LIU M, TIAN H L, WU J H, et al.Relationship between gene expression and the accumulation of catechin during spring and autumn in tea plants (Camellia sinensis L.)[J].Horticulture Research, 2015, 2:15011.

[13] 叶心, 王力, 姜超, 等.升华法纯化茶叶咖啡碱及其对胶原酶和弹性蛋白酶的抑制作用研究[J].食品与发酵工业, 2021, 47(10):43-49.YE X, WANG L, JIANG C, et al.Purification of tea caffeine by sublimation and its inhibitory activity on collagenase and elastase[J].Food and Fermentation Industries, 2021, 47(10):43-49.

[14] CUI Y Q, LAI G P, WEN M C, et al.Identification of low-molecular-weight color contributors of black tea infusion by metabolomics analysis based on UV-visible spectroscopy and mass spectrometry[J].Food Chemistry, 2022, 386:132788.

[15] 杨广容, 王秀青, 谢瑾, 等.云南古茶园和现代茶园土壤养分与茶叶品质成分关系的研究[J].茶叶科学, 2015, 35(6):574-582.YANG G R, WANG X Q, XIE J, et al.Analysis of the relationship between soil nutrients and tea main quality components of ancient tea arboretum and modern tea garden in Yunnan Province[J].Journal of Tea Science, 2015, 35(6):574-582.

[16] 陈玫, 夏丽飞, 梁名志, 等.勐海古树茶与生态茶品质化学研究[J].福建茶叶, 2012, 34(4):12-15.CHEN M, XIA L F, LIANG M Z, et al.Study on quality chemistry of Menghai ancient tree tea and ecological tea[J].Tea in Fujian, 2012, 34(4):12-15.

[17] 王欣雨, 吴婷, 鲁倩, 等.云南双江4个山头晒青茶品质比较分析[J].食品安全质量检测学报, 2023, 14(5):243-250.WANG X Y, WU T, LU Q, et al.Comparative quality analysis of sun-dried tea from 4 hills in Shuangjiang, Yunnan[J].Journal of Food Safety and Quality, 2023, 14(5):243-250.

[18] 杨广容, 王秀青, 李永梅, 等.景迈山茶园土壤养分与茶叶品质分析研究[J].云南农业大学学报(自然科学), 2016, 31(3):519-527.YANG G R, WANG X Q, LI Y M, et al.Study on soil nutrients and tea quality of ancient tea arboretum and modern terrace tea garden in jingmai mountain[J].Journal of Yunnan Agricultural University (Natural Science), 2016, 31(3):519-527.

[19] 张伟, 张艺成, 李玉玺.氟浓度对茶叶品质与金属元素含量的影响[J].江苏农业科学, 2012, 40(6):283-286.ZHANG W, ZHANG Y C, LI Y X.Effect of fluorine concentration on tea quality and metal element content[J].Jiangsu Agricultural Sciences, 2012, 40(6):283-286.

[20] 李芬, 陈春林, 田玉萍, 等.云南不同品种大叶种茶树生化成分季节变化特征分析[J].食品与生物技术学报, 2022, 41(3):88-95.LI F, CHEN C L, TIAN Y P, et al.Seasonal variation of biochemical components of different cultivars of Camellia sinensis var.assamica in Yunnan[J].Journal of Food Science and Biotechnology, 2022, 41(3):88-95.

[21] 周玉忠, 陈林波, 田易萍, 等.云南大叶茶新材料儿茶素组分含量季节变化分析[J].中国农学通报, 2018, 34(32):78-82.ZHOU Y Z, CHEN L B, TIAN Y P, et al.Seasonal variation of catechins components content of new materials of Yunnan large-leaf tea[J].Chinese Agricultural Science Bulletin, 2018, 34(32):78-82.

Quality characteristics of sun-dried green tea from ancient tea gardens and ecological tea gardens in Jingmai mountain

YAN Ga1, YANG Yanfen1, YANG Zitai1, LIU Yao1, DUAN Hongxing1, XIE Jin1, LI Jiahua1,WANG Kaibo2, LIU Benying2,YANG Guangrong1*, MA Yuqing2*

1(College of Tea, Yunnan Agricultural University, Kunming 650201, China)2(Tea Research Institute, Yunnan Academy of Agricultural Sciences, Yunnan Provincial Key Laboratory for Tea Science, Kunming 650205, China)

ABSTRACT To elucidate the quality differences between sun-dried green tea made from ancient and ecological tea gardens in Jingmai mountain, this study selected fresh leaves from 14 ancient tea gardens and 8 ecological tea gardens in Jingmai mountain as raw materials.The tea samples were processed using the traditional processing technique of sun-dried green tea and subjected to sensory evaluation and chemical composition analysis.Correlation analysis and principal component analysis were employed to investigate the differences in quality characteristics between the two types of sun-dried green tea from different seasons and cultivation modes.The results indicated that the sensory quality of sun-dried green tea from ancient tea gardens was superior to that of ecological tea gardens in terms of cultivation mode.The teas of the ancient tea garden exhibited tightly rolled strips with visible pekoe, dark green color, bright yellow-green liquor, fresh aroma, rich and mellow taste with a sweet aftertaste, and yellow-green, soft, and bud-containing leaves.In contrast, the teas of the ecological tea garden showed tightly rolled strips with slight pekoe, dark green color with a brownish tint, relatively bright yellow-green liquor, fresh aroma, moderately rich taste, and yellow-green leaves.The teas of ancient tea garden generally had higher levels of amino acids, caffeine, epicatechin (EC), epicatechin gallate (ECG), gallic acid (GA), and catechins, while the flavonoid and soluble sugar content was significantly lower than that of the teas of ecological tea garden.However, there were no significant differences between the other components.The quality characteristics of the sun-dried green tea from ancient tea gardens were significantly different among seasons.Autumn ancient tree teas were generally superior to pre-Qingming and post-Qingming teas, although their liquor color and leaf appearance were inferior to those of spring teas.Pre-Qingming spring tea exhibited the best leaf appearance, characterized by yellow-green, soft, relatively bright, and bud-containing leaves, while post-Qingming spring tea showed the best liquor color, presenting as light yellow-green and relatively bright.Pre-Qingming spring ancient tree tea had the highest levels of amino acids and epigallocatechin (EGC) while post-Qingming spring ancient tree tea contained the highest levels of soluble sugars, flavonoids, EC, catechin (C), ECG, and total catechins.Autumn ancient tree teas had the highest levels of water extracts, tea polyphenols, caffeine, epigallocatechin gallate (EGCG), and GA.This study clarified the quality differences between sun-dried green tea from ancient trees and ecological tea gardens in Jingmai Mountain both different cultivation modes and seasons.It will provide a theoretical basis for the utilization of ancient tea plant resources in the future.

Key words Jingmai mountain;ancient tree tea;ecological tea plantation;organoleptic qualities;chemical composition

DOI:10.13995/j.cnki.11-1802/ts.041929

引用格式:岩嘎,杨艳芬,杨梓泰,等.景迈山古茶园与生态茶园晒青茶品质特征的研究[J].食品与发酵工业,2025,51(19):346-354.YAN Ga, YANG Yanfen, YANG Zitai, et al.Quality characteristics of sun-dried green tea from ancient tea gardens and ecological tea gardens in Jingmai mountain[J].Food and Fermentation Industries,2025,51(19):346-354.

第一作者:硕士研究生(杨广容副教授和马玉青助理研究员为共同通信作者,E-mail:2452739538@qq.com;1132410226@qq.com)

基金项目:云南省农业科学院应用基础预研专项(2023KYZX-03);云南省农业联合专项(202401BD070001-076);国家自然科学基金项目(32460778)

收稿日期:2024-12-23,改回日期:2025-02-28