非营养性甜味剂在中式奶茶中的感官特性与青年消费者偏好分析

龙门1,梁斌1,孙佳怡1,易建康2,周頔1*,詹歌1*

1(滁州学院 生物与食品工程学院,安徽 滁州,239000)2(安徽金禾实业股份有限公司,安徽 滁州,239000)

摘 要 随着消费者健康意识的提升,低/无蔗糖奶茶市场需求显著增长,而非营养性甜味剂(non-nutritive sweetener, NNS)因其提供甜味而无热量成为糖替代的主要成分。研究通过定量描述性分析(quantitative descriptive analysis,QDA)结合青年消费者接受度测试,探讨不同NNS配方对中式奶茶感官特征及消费者偏好的影响。通过PanelCheck软件评估QDA评价小组的表现和产品的感官特征;采用ConsumerCheck软件中箱型图和堆叠直方图可视化展示消费者对每个样品的喜好评分分布,应用偏好映射分析探讨了QDA数据与消费者喜好数据之间的关系。研究发现,牛奶香气、茶的香气、甜的气味、甜味、顺滑感能够驱动消费者偏好,且赤藓糖醇、三氯蔗糖、甜菊糖苷等3种NNS的复配使用能够有效改善甜味的整体感官体验,提升青年消费者接受度。研究结果为低/无蔗糖奶茶的配方优化及市场定位提供理论依据和实践指导。

关键词 非营养性甜味剂;奶茶;定量描述性分析;消费者接受度测试;PanelCheck;ConsumerCheck

中式奶茶以茶叶制得茶汤,加入乳或乳制品、植物蛋白、植脂末等,配以果葡糖浆等辅料,经混合、摇茶等工序制成,具茶和奶风味的液态饮料[1]。然而,过量糖分摄入与肥胖、糖尿病等疾病风险呈正相关[2],促使全球多地实施糖税等政策,中国市场亦兴起低/无蔗糖奶茶热潮,许多知名品牌通过非营养性甜味剂(non-nutritive sweetener,NNS)替代传统糖分以平衡健康与口感需求[3]

NNS作为糖的替代品,因其无热量特性广泛应用于食品饮料行业[4]。然而,其感官表现高度依赖食品基质,且可能伴随不良后味,影响消费者接受度。TAN等[5]指出,三氯蔗糖在黑茶和巧克力牛奶中甜味接近蔗糖,但在酸奶中易产生苦味和金属味。赤藓糖醇在多种食品中甜味特性稳定,但在低温饮品中溶解度较低,会影响顺滑口感[6]。甜菊糖苷在桃汁中能够提供强烈的甜味,但伴随的草药味会显著降低消费者接受度[7]。复配策略可有效改善缺陷,JANG等[8]通过分子动力学模拟证实甜菊糖苷与安赛蜜复配可通过协同效应增强甜味强度并抑制苦味;而BAEK[9]的实验表明甜菊糖苷与阿斯巴甜、安赛蜜联用可有效缓解低热量饮料的苦味。这些研究表明,NNS在奶茶中的应用需兼顾感官优化与消费者偏好,复配策略成为优化甜味剂应用的关键。

在感官领域,定量描述性分析(quantitative descriptive analysis,QDA)和消费者接受度测试的结合已成为优化产品开发的核心方法。QDA依赖训练有素的评价小组定量描述产品的感官属性,提供可靠的数据,但无法直接反映消费者偏好[10]。因此,研究者将QDA与消费者测试联合分析,通过偏最小二乘法(partial least squares,PLS)、主成分分析(principal component analysis,PCA)等统计模型,建立感官属性与消费者偏好之间的关系[11]。例如,焦糖香气对葡萄酒偏好[12]、嫩度对牛排接受度[13]的关键作用均通过此类方法验证。然而,多维数据分析对从业者的统计学能力要求较高,且中小型企业常面临资源与人才短缺的瓶颈。

为支持感官评价技术的应用,开源软件PanelCheck(http://www.panelcheck.com)与ConsumerCheck(http://www.consumercheck.com)相继被开发。PanelCheck能够处理QDA实验结果,通过自动化统计与可视化界面,助力非专业人员快速评估评价员表现及产品特征。ConsumerCheck则能够帮助用户深入了解消费者偏好的驱动因素,并通过数据统计模型揭示感官特征与消费者偏好之间的关系。二者通过图形化交互简化分析流程,使食品制造、农业及日化产品等涉及感官评价的从业人员无需编程基础即可完成复杂的感官数据解析与可视化。

在上述背景下,该研究结合QDA与青年消费者测试,探究NNS复配对奶茶感官特征的影响及其与消费者偏好的关联。通过PanelCheck表征产品感官轮廓并验证评价员辨别能力、数据可靠性。ConsumerCheck用于分析消费者偏好数据,并分析偏好驱动机制。研究结果为低/无蔗糖奶茶的配方设计提供理论支持。此外,研究还提供了一种简单易用的开源数据统计方法,帮助没有商业软件和编程技能的从业人员高效进行数据分析。

1 材料与方法

1.1 材料与试剂

红茶,梅州次瓦食品有限公司;淡奶油,菲仕兰品牌管理(上海)有限公司;植脂末,佳禾食品工业股份有限公司;果葡糖浆F60,中粮融氏生物科技有限公司;3种非营养性甜味糖浆(A、B、C)由金禾实业股份有限公司提供,其甜度与果葡糖浆F60相同,其配方详见表1,但具体配比因涉及公司保密未予提供。

表1 三种非营养性甜味糖浆的配方
Table 1 Formulations of three non-nutritive sweetener syrups

非营养性甜味糖浆配方 A水、赤藓糖醇、三氯蔗糖、安赛蜜、甜菊糖苷B水、赤藓糖醇、三氯蔗糖、甜菊糖苷C水、赤藓糖醇、三氯蔗糖、甜菊糖苷、安赛蜜

注:越靠前的成分代表含量越高。

1.2 方法

1.2.1 奶茶的制备方法

可卡红茶(15 g+500 g沸水,焖20 min)→过滤→加黑白淡奶50 g→加植脂末120 g→加冰250 g搅拌至溶解→奶茶底→取奶茶底100 g+纯净水75 g+糖浆10 g→成品

1.2.2 奶茶感官评价环境条件

所有感官评价在符合ISO 8589:2007-《感官分析》标准的实验室中进行,室内温度保持在22 ℃,采用人工日光照明。测试区为独立空间,配有专用桌椅,确保参与者在舒适、无干扰的环境中完成测试。

1.2.3 QDA检验

1.2.3.1 评价小组的建立及奶茶感官描述语的确定

经过训练的小组通过QDA法对8个样品进行了评估。依据GB/T 16291.1—2012《感官分析 选拔、培训与管理评价员一般导则 第1部分:优选评价员》标准,通过三级筛选程序建立感官评价小组:1)预选30名具备QDA经验的食品专业学生;2)开展味觉/香气识别测试(80%正确率阈值),未达标者经复训复测,最终8人通过考核(其中2名男性,6名女性);3)实施系统性奶茶感官培训(12次×45 min/次),经小组讨论确立17项感官属性体系(含明确定义及参比样品,详见表2)。评价员完成感官维度识别及强度分级双重培训后,开展正式样品评估。

表2 奶茶感官描述语定义及参比样
Table 2 Definitions and reference objects of milk tea sensory descriptive terms

描述语定义参照样品(0=没有,9=非常)气味牛奶的香气与牛乳相关的特征香气的总和蒙牛脱脂牛奶=1.0Anchor安佳淡奶油=9.0茶的香气与红茶相关的特征香气的总和红茶3 g+150 mL沸水,冲泡4 min后的茶汤风味(温嗅=8,冷嗅=5)咖啡的香气与咖啡相关的特征香气的总和雀巢黑咖啡2 g+200 mL沸水,冲泡4 min后的咖啡风味(温嗅=8,冷嗅=5)香甜的气味似蜂蜜水、糖浆等散发的甜香100 g/L的蜂蜜水=3.0200 g/L的蜂蜜水=6.0滋味甜基本味,如蔗糖的味道30.0 g/L蔗糖溶液=2.075.0 g/L蔗糖溶液=5.0150.0 g/L蔗糖溶液=9.0苦基本味,如奎宁的味道0.01 g/L奎宁溶液=2.00.02 g/L奎宁溶液=4.00.03 g/L奎宁溶液=6.0牛奶味觉感知到的牛奶的味觉特征特仑苏纯牛奶=8.0蒙牛脱脂牛奶=5.0人工甜感某些甜味剂带来的异常甜感,表现为“假甜”,甜味尖锐、金属感或药味,甜感持续时间异常长且不协调75.0 g/L蔗糖溶液=0.01.875 g/L甜蜜素溶液=6.50.187 5 g/L糖精钠溶液=9.0

续表2

描述语定义参照样品(0=没有,9=非常)口感甜的出现速度味觉感知甜味从接触到口腔开始到甜感被清晰识别之间所需的时间1.875 g/L甜蜜素溶液=5.075.0 g/L蔗糖溶液=8.00.375 g/L安赛蜜溶液=9.0甜腻甜味强烈且黏稠,覆盖了其他风味,口腔内有黏腻感,并感到味觉疲劳香飘飘黑糖珍珠奶茶=9.0农夫山泉茶低糖红茶奶茶=3.0统一阿萨姆原味无糖奶茶=0.0顺滑奶茶在口腔中流动时的平滑程度和触感细腻度维他奶港式奶茶=9.0立顿速溶奶茶粉=6.0醇厚入口不稀、不淡,流动性低,浓郁,口腔感觉被“充满”安慕希常温酸奶=9.0光明优倍酸奶(原味)=4.0涩舌头和口腔所感受到的收敛感维他柠檬茶=7.0余味余味甜吞咽后,在舌根和喉部有甜感50 g/L广禧黑糖糖浆=9.075.0 g/L蔗糖溶液=3.0余味苦吞咽后,在口腔中苦味的强度和延迟感0.01 g/L奎宁溶液=2.00.02 g/L奎宁溶液=4.00.03 g/L奎宁溶液=6.0余味涩吞咽后,留下的收敛感觉维他柠檬茶=7.0后味化学性吞咽后,残留的人工或化学样的味觉感受,表现为金属感、塑料感、药味或其他不自然的味觉体验,被视为负面特性75.0 g/L蔗糖溶液=0.0115.385 g/L木糖醇溶液=4.00.375 g/L安赛蜜溶液=9.0

1.2.3.2 QDA样品制备与呈送

40 mL奶茶样品分装于50 mL透明无味一次性杯,采用三位数随机编码(表3),评估全程编码无重复。样品现制现评(制备至检测≤30 min),恒温保存。评价员间隔以室温水漱口消除味觉干扰。8种甜味糖浆配方样品制备及呈送规则详见表3。

表3 不同配方甜味糖浆奶茶呈送方式
Table 3 Presentation of milk tea with different sweetener syrup formulations

随机编码甜味剂呈送温度随机编码甜味剂呈送温度950A667B992C946F6055~60 ℃716A701B580C481F604~8 ℃

1.2.3.3 QDA执行过程

评价员对8个样品进行了QDA评估,实验分为2轮进行。第1轮4个样品呈送温度为4~8 ℃,第2轮4个样品呈送温度为55~60 ℃,每轮实验重复3次。所有评估均在每日15:00~17:00之间进行,共计6天完成全部评估。品评小组组长负责组织评估工作,使用9点标度对样品强度进行评分,其中1表示强度最弱,9表示强度最强。

1.2.3.4 数据处理

使用PanelCheck V 1.4.2软件对感官数据进行分析。通过折线图(line plot)、塔克图(Tucker plot)、F值图和M值图、蛋壳图(eggshell plot)、曼哈顿图(manhattan plots)对评价小组的表现进行监控,并使用双因素方差分析(Two-way ANOVA)和蛛网图(Spider’s webplot)对测试数据进行分析。采用多变量数据分析方法—PCA来识别样品与其感官属性之间的关系。

1.2.4 消费者喜好度检验

1.2.4.1 消费者型评价员的招募

本次测试从滁州学院生物与食品工程学院的学生中共招募了69 名(年龄17~22 岁,男性32名,女性37名)消费者参与实验。所有参与者均有饮用奶茶的经验,并声明无食物过敏史。

1.2.4.2 消费者喜好度检验执行过程

在实验开始前,每位评价员签署了知情同意书,了解测试内容和流程,并得知将品评含红茶和牛奶的奶茶样品。评价员使用9点标度(1=非常不喜欢,9=非常喜欢)对8个奶茶样品进行评分,所有样品在一次测试中完成评价。测试过程中提供纯净水以清洁味觉。

1.2.4.3 数据处理

使用ConsumerCheck 2.3.1软件对消费者喜好数据进行了分析。通过箱线图和堆叠直方图可视化各测试产品在所有消费者中的喜好评分分布。偏好映射采用偏最小二乘回归(partial least square regression,PLSR)法生成。

2 结果与分析

2.1 QDA

对QDA小组成员感官描述的正确性、稳定性和一致性可以通过单变量和多变量统计方法评估。这些方法各自提供独特信息,但结合使用时能提供更全面的分析视角。通过这些方法,感官分析师可以更直观地了解数据特征,高效识别小组的优势与不足,从而优化表现和决策。

2.1.1 评价员对奶茶样品感官属性评分分布

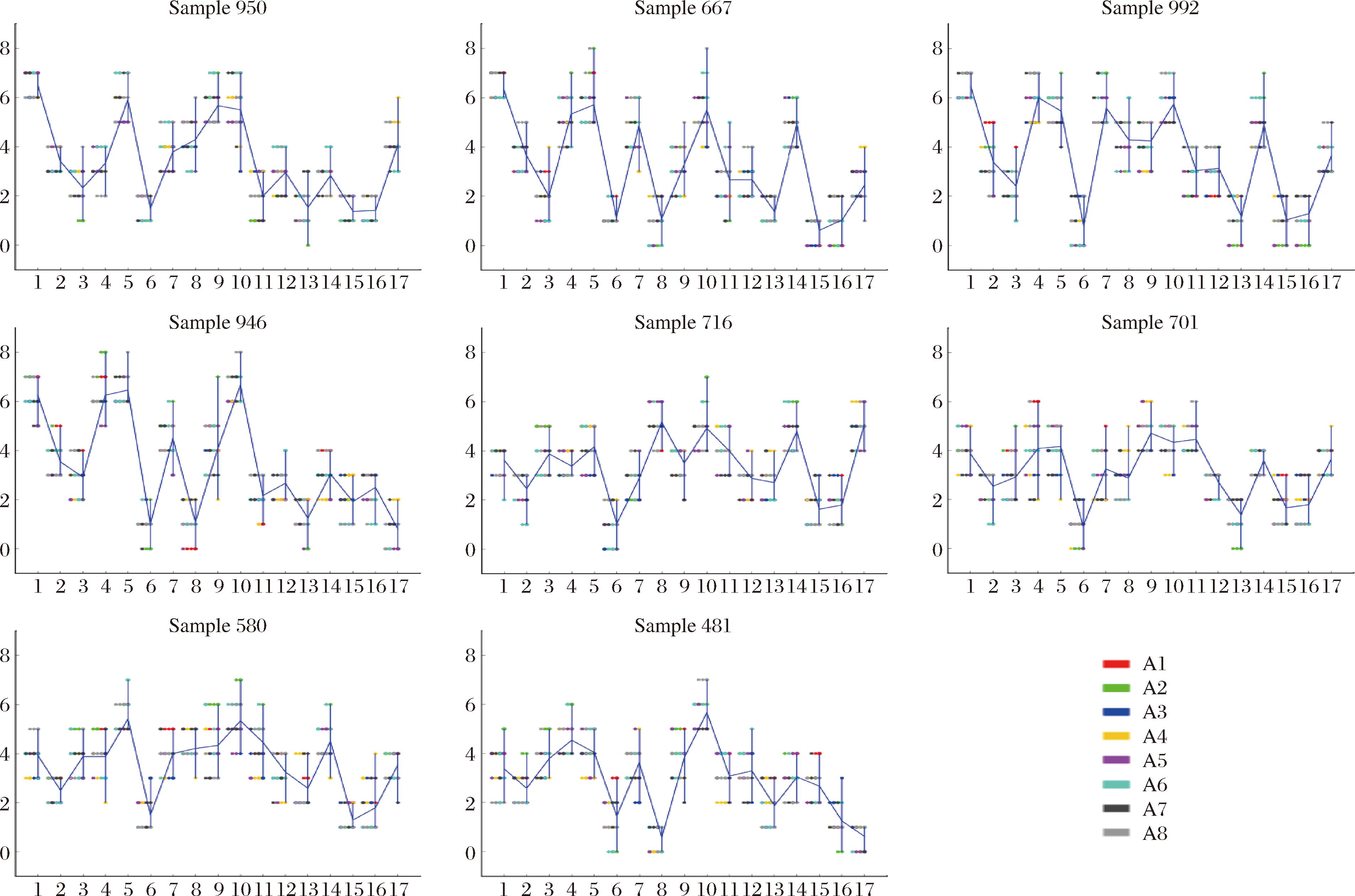
图1展示了8个样品在17个感官属性上的评分折线图。每个图对应一个样品,蓝色折线表示各感官属性的平均得分,反映了样品的主要感官特征。垂直误差线显示评分分布范围,误差线长意味着评价员间一致性差,误差线短则表示一致性高。彩色点表示不同评价员的评分,若某评价员评分经常处于极端位置,可能存在主观偏差或校准问题,需进一步检查。图2展示了评价员A3和A8对样品992的17项感官属性的3次重复评分。评价员A3在某些感官属性上的重复性较差,如“甜味的出现速度”3次评分之间的离散程度较大,表明其重复性和稳定性不足。评价员A8各属性的3次评分较为集中,显示出更好的重复性和稳定性。综合来看,尽管A3和A8在样品992的感官评价中表现出相似的总体趋势,但A8的重复性显著优于A3。后期可根据其他的图及数据综合判断。

图1 8名评价员对奶茶样品感官属性评分图
Fig.1 Sensory attributes rating plot of milk tea samples by 8 assessors

注:不同的颜色分别代表8名评价员(A1~A8),纵轴表示强度评分,横轴表示 17 个感官属性(1=牛奶的香气、2=茶的香气、3=咖啡的香气、4=香甜的气味、5=甜味、6=苦味、7=牛奶味、8=人工甜感、9=甜的出现速度、10=甜腻、11=顺滑、12=醇厚、13=涩、14=余味甜、15=余味 苦、16=余味涩、17=后味化学性,图2、图3同)。

a-A3;b-A8

图2 样品992感官评价重现性分析(评价员A3、A8)
Fig.2 Reproducibility analysis of sensory evaluation for sample 992 (Assessors A3 and A8)

2.1.2 评价员效应、产品效应以及评价员与产品交互效应显著性分析

QDA实验结果统计分析的第一步,是应用双因素方差分析对实验数据集进行分析。其目的是评估所选感官属性在检测样品间显著差异中的重要性。图3展示了评价员效应、产品效应和评价员与产品的交互效应。每个柱状图显示了各个感官属性的统计显著性,不同颜色标示显著性水平(红色P<0.001,橙色P<0.01,黄色P<0.05,灰色表示无显著性)。在该分析中,主要关注产品效应。只有在所选显著性水平下对产品效应具有显著性的属性,才会被保留用于后续分析。图3显示,所有属性的P值均小于0.05,因此所有感官属性均被保留用于进一步分析。

a-评价员效应;b-产品效应;c-评价员与产品交互效应

图3 基于双因素方差分析的感官属性保留验证
Fig.3 Two-way ANOVA-based validation of sensory attribute retention

2.1.3 评价员的区分能力与重复性评估

图4为评价员(A1~A8)对感官属性评分的F值排序和均方误差(mean sqaure error, MSE)图,用于评估评价员的对样品的区分能力和重复性。图4(F)中每条彩色垂直线表示一个评价员对某一感官属性的评分差异。F值越高,表示样品间的差异相对于评价员间的差异更大,样品间的评分差异更显著。大多数评价员的F值高于或接近5%的显著水平,表明他们能较好地区分样品间的差异。然而,高F值也可能是因为评价员对同一属性的感知不一致,导致评分偏离总体趋势。因此,高F值既可能表示评价员具备区分能力,也可能提示评价过程需要改进,需结合其他数据综合判断。

a-F值;b-MSE值

图4 评价员A1-A8 对奶茶样品的区分能力(F)和重复性(MSE)
Fig.4 Discrimination (F) and repeatability (MSE) of assessors A1-A8 in milk tea samples

图4每条彩色垂直线表示评价员在某感官属性上的MSE。MSE值越大,评分波动越大,重复性较差;MSE值越小,评分波动小,重复性较好。通常,MSE值<0.4表示重复性良好。图中A1、A5、A8的MSE值较低,评分重复性较好,而A2、A4在某些属性上的MSE值较高,表明这些评价员的评分波动较大,可能需要进一步培训以提高一致性。总结来说,图4可以帮助识别评价员的区分能力和重复性,从而优化感官评价过程。

2.1.4 基于方差贡献率的感官属性评分解析

图5展示了17种感官属性在8位评价员评分下的解释方差百分比,以曼哈顿图(Manhattan plot)形式呈现。纵轴代表每个感官特征的解释方差百分比,横轴表示8位评价员的评分。色块的深浅代表了每个感官特征在不同评价员评分下的解释方差百分比。颜色越深,解释方差百分比越高,说明该感官特征对评价员评分的影响较大,通过观察色块的分布情况,可以评估评价员的一致性[14]

图5 感官属性评分曼哈顿图解析
Fig.5 Manhattan plots analysis of sensory attribute scores

注:纵轴表示每个感官特征在不同评价员评分下的解释方差百分比,横轴表示8名感官评价;Odor of Milk=牛奶的香气、Odor of Tea=茶的香气、Odor of Coffee=咖啡的香气、Sweet Odor=香甜的气味、Sweet Taste=甜味、Bitter Taste=苦味、Taste of Milk=牛奶味、Sweetness Artificial Perception=人工甜感、Sweetness Onset Speed=甜的出现速度、Cloying Mouthfeel=甜腻、Smooth Mouthfeel=顺滑、Richness Mouthfeel=醇厚、Astringent Mouthfeel=涩、Sweet Aftertaste=余味甜、Bitter Aftertaste=余味苦、Astringent Aftertaste=余味涩、Chemical Aftertaste=后味化学性(图6、图7同)。

在图5中,颜色标记显示了各感官特征的统计显著性。牛奶的香气(Odor of Milk)、香甜的气味(Sweet Odor)、甜味(Sweet Taste)、人工甜感(Sweetness Artificial Perception)、顺滑(Smooth Mouthfeel)和后味化学性(Chemical Aftertaste)等感官特征评分差异较小,色块大多为灰色,表明这些特征在不同评价员之间评分较为一致。苦味(Bitter Taste)、甜味的出现速度(Sweetness Onset Speed)、醇厚感(Richness Mouthfeel)和余味涩(Astringent Aftertaste)等感官特征差异较大,色块颜色更深,表明这些特征在不同评价员之间的评分一致性较差。这些差异可通过结合其他图表进行综合分析,以进一步了解评价员之间的偏差及其对感官特征评分一致性的影响。

2.1.5 基于塔克图的评价员分歧特征解析

图6展示了17个感官属性在PCA-Tucker 1分析中的相关负荷图。内椭圆表示数据的50%解释方差,外椭圆表示100%解释方差。如果评价员的分布非常集中,说明评价员评分高度一致;如果存在分组现象,表示评分被分为两组;如果评分非常分散,表明评分差异较大,需要进一步培训以提高一致性。这些图表可帮助识别评价员评分的一致性或差异,适用于多评价员、多属性的感官分析,有助于提高评分一致性和揭示数据模式。可见,对于苦味(Bitter Taste)、甜的出现速度(Sweetness onset speed)、醇厚(Richness Mouthfeel)、余味涩(Astringent Aftertaste),大多数评价员位于内椭圆内,表示其在主成分1(PC1)和主成分2(PC2)上的方差解释低于50%,且一致性较差,与图5结果一致。

图6 评价员评分一致性的塔克图分析[PC1(42.4%), PC2(27.0%)]
Fig.6 Tucker plots analysis of assessors’ rating consistency[PC1(42.4%), PC2(27.0%)]

2.1.6 评价员评分偏离共识值的动态可视化

蛋壳图通过曲线映射评价员评分(Y)与共识值(X)的偏离度,曲线重合度越高,共识一致性越强[15]。从图7中可以看出,苦味(Bitter Taste)、醇厚(Richness Mouthfeel)、余味苦(Bitter Aftertaste)和余味涩(Astringent Aftertaste)这4个感官属性存在较大评分分歧。余味涩这一感官属性A6和A8的评分曲线显著偏离共识评分,表现为“裂分”。这表明他们在评估该属性时与其他评价员不一致。

图7 基于蛋壳图的评价员感官评分偏离共识分析
Fig.7 Eggshell plots analysis of assessors’ sensory score deviation from consensus

注:纵轴表示单个评价员对每个属性的累积评分,横轴表示所有评价员的共识评分。

2.1.7 八个样品的感官差异分析

图8通过蜘蛛网图展示了8个样品在不同感官属性上的评分。图9展示了基于QDA生成的属性均值进行的PCA,2个主成分解释了77.2%的变异性。样品在PCA图中的位置反映了感官特征的相似性或差异性,样品间距离越近,感官特征越相似;样品与某一属性越接近,该属性对样品的影响越大。果葡糖浆奶茶(946、481)位于X轴正向和Y轴负向,与NNS奶茶存在显著差异。奶茶样品950、667和992(55~60 ℃)位于Y轴正向,主要感官特征为香气、润滑感和甜味。其中,样品667(配方:水、赤藓糖醇、三氯蔗糖、甜菊糖苷)与对照样品946(果葡糖浆)距离最近,表明感官特征相似,而安赛蜜含量越高,其所带来的人工甜感和后味的化学感也越明显(图8)。单一甜味剂常常带有不良的后味或口感问题,通过复配不同类型的甜味剂可以有效优化口感、弥补单一甜味剂的缺点,并提高消费者的接受度。安赛蜜(Acesulfame K)高浓度时带有明显的苦味和金属味,苦味通过激活TAS2R苦味受体产生,同时可能激活TRPV1受体,进一步增强金属味。其感官特征常被描述为化学感,部分消费者在低卡甜味剂中难以接受[16-17]。甜菊糖苷(Stevioside)是一种天然甜味剂,通常带有较少的苦味,但在高浓度时会感受到轻微的后苦味或草药感[18]。三氯蔗糖(sucralose)在甜味上与蔗糖接近,在低浓度下几乎没有明显的苦味或金属后味,甜味较为自然[19]。将甜菊糖苷与三氯蔗糖复配使用可以有效减少单一甜味剂可能带来的草药味或人工甜感,使其甜味更接近天然糖的口感[20]。赤藓糖醇(erythritol)甜度较低且接近蔗糖,无苦味或化学后味,后味清爽[21]。与高强度甜味剂(如三氯蔗糖、安赛蜜)复配可有效缓和不良后味,使整体感官体验更加平衡,赤藓糖醇具有较低的溶解性和较高的稳定性,适用于冷饮、糖浆等需要甜味剂稳定性的产品[22]

图8 八个样品的蜘蛛网图
Fig.8 Spider plot of 8 samples

注: Milk O=牛奶的香气、Tea O=茶的香气、Coffee O=咖啡的香气、Sweet O=香甜的气味、Sweet T=甜味、Bitter T=苦味、Milk T=牛奶味、Sweetness AP=人工甜感、Sweetness OS=甜的出现速度、Cloying M=甜腻、Smooth M=顺滑、Richness M=醇厚、Astringent M=涩、Sweet A=余味甜、Bitter A=余味苦、Astringent A=余味涩、Chemical A=后味化学性(图9、图13同)。

图9 主成分分析(样品×属性):基于8名评价员(含所有重复试验)的17个属性和8个样品的平均评分
Fig.9 Principal component analysis (PCA) ( products×attributes) for 17 attributes and the 8 products (mean scores on all panellists (with and all repetitions)

奶茶样品716、701和580(4~8 ℃)均位于PCA图中的X轴负向和Y轴负向,主要感官特征为苦味和涩味,低温可能抑制甜味剂溶解和香气释放,导致苦涩感增强[23]。这些结果表明,温度对感官评价的影响显著,低温条件下,甜味剂及其他成分的物理化学性质可能发生变化,从而影响消费者的整体感官体验[24]。因此,在生产低温奶茶时,甜味剂生产商应特别关注如何优化甜味剂的配方和溶解方式,以减少不良后味,如苦涩感,确保消费者获得更理想的口感体验。综上所述,在实验中使用的NNS配方糖浆B(配方:水、赤藓糖醇、三氯蔗糖、甜菊糖苷)在高温下(55~60 ℃)与果葡糖浆奶茶的感官特性相似,可以作为果葡糖浆的替代品,用于生产无蔗糖奶茶,应用于现调奶茶的制作中,为消费者提供低糖、且具备相似口感的饮品。

2.2 消费者喜好度检验

图10通过箱型图展示8个样品的喜好度数据,中线为中位数,箱体上下边缘为第一四分位数(Q1)和第三四分位数(Q3)。箱体越大,数据波动越大;箱体越小,数据越集中。箱体外的“胡须”表示数据的最大值和最小值。相较于平均数,箱型图能更全面直观地展示数据分布特征,包括集中趋势、离散程度、偏态及离群值,帮助感官分析师更好地理解和比较不同样品的感官偏好,避免仅依赖平均数的。图10通过堆叠直方图展示样品喜好度的消费者偏好。每根柱形代表一个样品,柱形内的不同颜色块表示不同的评分区间,颜色块的面积大小表示该评分区间内的消费者数量。

图10 青年消费者对不同奶茶样品喜好度的箱形图
Fig.10 Box plot of youth consumer liking data for different milk tea samples

图10显示,当奶茶温度为55~60 ℃时,消费者的喜好度普遍高于4~8 ℃的冷奶茶。在冷热奶茶中,使用果葡糖浆作为甜味剂的样品喜好度最高。在热奶茶中,NNS配方样品(950、667、992)的中位数相同,但样品992的箱体面积最大,表明其消费者喜好度差异较大。箱型图和堆叠直方图(图11)显示,样品992的喜好度分布分散,部分消费者偏好较高,但也有部分消费者给出较低评分。在冷奶茶中,使用NNS配方的样品716和580的喜好度最低,且消费者评价差异较大,表明这些样品在消费者中的接受度较低。样品701的评价较为分散,说明其在不同消费者中的喜好差异较大,无法获得统一的偏好。

图11 青年消费者对不同奶茶样品喜好度的堆叠直方图
Fig.11 The stacked histogram of youth consumer liking data for different milk tea samples

2.3 QDA数据与消费者喜好度数据的联合分析

QDA数据与消费者喜好度评分联合分析,可揭示感官特征对消费者偏好的影响,为产品优化和市场策略提供数据支持。ConsumerCheck中,PLSR和主成分回归(principal component regression,PCR)是构建偏好映射模型的主要工具。PLSR通过对X矩阵(消费者喜好数据)和Y矩阵(QDA数据)中的共同方差进行建模,能够同时最大化X和Y矩阵的协方差,从而捕捉这两组数据之间的相关性,相比仅依赖X矩阵的PCR,能更准确地揭示感官特征与消费者偏好的关联[25]

图12展示了偏好映射模型中的X得分图,呈现了PLSR降维处理后X矩阵(消费者喜好度数据)的主成分得分,反映了样品在主成分空间中的相互关系。PC1和PC2分别解释了X矩阵方差的40%和18%,以及Y矩阵(感官属性数据)方差的40%和23%。与图9中的PCA图类似,样品在图中位置越接近,相似度越高。由于PLSR同时考虑了X和Y矩阵的共同方差,样品分布受共性变化影响,与PCA结果不同。例如,样品950和667位于右上方且距离较近,表明它们在消费者喜好度和感官属性上相似性较强。

图12 偏好映射图 (X值得分)
Fig.12 X scores plot in preference mapping for the consumer liking and descriptive analysis data

图13的实际偏好映射图展示了青年消费者偏好及其驱动因素,X矩阵(消费者喜好数据,蓝色)和Y矩阵(感官属性数据,红色)的相关载荷在同一图中呈现。靠近原点的消费者辨别能力弱,外圈的消费者则能更精确识别产品感官变化。图中显示,消费者偏好的奶茶感官属性包括牛奶香气(Milk O)、茶香气(Tea O)、香甜的气味(Sweet O)、牛奶味(Milk T)、甜味(Sweet T)和顺滑感(Smooth M)。这些属性主要集中在图中的外圈,且有大部分消费者都接近这些属性,这表明它们对消费者的喜好有重要影响,解释了较大比例的方差。这些感官特征与青年消费者偏好显著相关,是奶茶成功的关键因素,可为企业产品优化提供精确指导。

图13 偏好映射图 (X 与 Y 的相关载荷图)
Fig.13 The X &Y correlation loadings plot, the actual preference map for the consumer liking and descriptive analysis profiling data

3 结论

研究结合QDA与青年消费者接受度测试,系统解析了不同配方NNS对中式奶茶感官特征及青年消费者偏好的影响。基于PanelCheck软件分析,确保感官评估的一致性和可靠性,揭示了评估员在感官属性上的一致性和区分能力;在55~60 ℃奶茶体系中,赤藓糖醇、三氯蔗糖与甜菊糖苷复配的甜味剂,其感官特性类似于果葡糖浆,是有效的替代方案。ConsumerCheck软件分析显示,青年消费者更偏好温热奶茶(55~60 ℃),果葡糖浆作甜味剂的奶茶在冷热条件下都均受喜爱。偏好映射分析表明,牛奶香气、茶香气、甜味和顺滑感等感官属性是消费者偏好的关键因素,显著影响其接受度。研究进一步提出配方优化路径:以甜味和顺滑感为优先级,结合“低糖无负担”与“两重香气平衡(牛奶香气、茶香气)”的市场定位策略,为奶茶行业提供兼具科学性与商业可行性的创新方案。

参考文献

[1] MAO Y L, WANG J Q, CHEN G S, et al.Effect of chemical composition of black tea infusion on the color of milky tea[J].Food Research International, 2021, 139:109945.

[2] NEELAKANTAN N, PARK S H, CHEN G C, et al.Sugar-sweetened beverage consumption, weight gain, and risk of type 2 diabetes and cardiovascular diseases in Asia:A systematic review[J].Nutrition Reviews, 2021, 80(1):50-67.

[3] 朱迪, 宿玲恰.天然甜味剂功能活性及应用研究进展[J].食品与生物技术学报, 2024, 43(12):20-28.ZHU D, SU L Q.Advancements in the functional activities and application of natural sweeteners[J].Journal of Food Science and Biotechnology, 2024, 43(12):20-28.

[4] 王思睿, 仝涛.甜味剂与人体健康的研究进展[J].食品与发酵工业, 2024,50(17):371-379.WANG S R, TONG T.Progress of research on sweeteners and human health[J].Food and Fermentation Industries, 2024, 50(17):371-379.

[5] TAN V W K, WEE M S M, TOMIC O, et al.Rate-All-That-Apply (RATA) comparison of taste profiles for different sweeteners in black tea, chocolate milk, and natural yogurt[J].Journal of Food Science, 2020, 85(2):486-492.

[6] 王健樵, 鲁斌, 马仕宇, 等.赤藓糖醇感官品质剖析及影响因素分析[J].食品与发酵工业, 2024,50(23):177-184.WANG J Q, LU B, MA S Y, et al.Analysis of sensory quality and influencing factors of erythritol[J].Food and Fermentation Industries, 2024, 50(23):177-184.

[7] PORTO CARDOSO J M, ANDRÉ BOLINI H M.Descriptive profile of peach nectar sweetened with sucrose and different sweeteners[J].Journal of Sensory Studies, 2008, 23(6):804-816.

[8] JANG J, KIM S K, GUTHRIE B, et al.Synergic effects in the activation of the sweet receptor GPCR heterodimer for various sweeteners predicted using molecular metadynamics simulations[J].Journal of Agricultural and Food Chemistry, 2021, 69(41):12250-12261.

[9] BAEK S, &JHEE O.Sensory properties of low calorie Ssanghwa beverages containing sweetener (II);Sensory properties of Ssanghwa beverages sweetened with glucosyl Stevia, Acesulfame-K and aspartame[J].The Korean Journal of Food and Nutrition, 2008, 21:197-203.

[10] 张哲婷, 杨傲林, 徐坤俐, 等.常用的“静态” 和动态感官描述方法综述[J].食品科学, 2024, 45(17):277-286.ZHANG Z T, YANG A L, XU K L, et al.A review of commonly used ‘static’and dynamic sensory description methods[J].Food Science, 2024, 45(17):277-286.

[11] 岳营峰, 史波林, 赵镭, 等.基于惩罚分析与偏好图技术的辣条消费接受性分析[J].中国食品学报, 2023, 23(12):438-448.YUE Y F, SHI B L, ZHAO L, et al.Analysis of consumption acceptance for spicy strip using penalty analysis and preference map technology[J].Journal of Chinese Institute of Food Science and Technology, 2023, 23(12):438-448.

[12] UBEDA C, MARTíNEZ F, GARCíA J, et al.External preference mapping based on PLS analysis of sensory and consumer data[J].Food Quality and Preference, 2017, 59:1-8.

[13] GOMES C L, PFLANZER S B, CRUZ A G, et al.Sensory descriptive profiling and consumer preferences of beef strip loin steaks[J].Food Research International, 2014, 59:76-84.

[14] GUO Y Z, XU T, LUO J, et al.SMR-Portal:An online platform for integrative analysis of GWAS and xQTL data to identify complex trait genes[J].Nature Methods, 2024, 22(2):220-222.

[15] CLIFF M A, KING M.Use of principal component analysis for the evaluation of judge performance at wine competitions[J].Journal of Wine Research, 1999, 10(1):25-32.

[16] CHOI Y, WONG R R, CHA Y K, et al.Sweet-bitter taste interactions in binary mixtures of sweeteners:Relationship between taste receptor activities and sensory perception[J].Food Chemistry, 2024, 459:140343.

[17] 方子超, 周隽涵, 郑建仙.苦味抑制剂阿魏酸的构效关系[J].食品科学, 2024, 45(14):14-22.FANG Z C, ZHOU J H, ZHENG J X.Structure-activity relationship of the bitterness inhibitor ferulic acid[J].Food Science, 2024, 45(14):14-22.

[18] BAEK S E, JHEE O.Sensory properties of low-calorie Ssanghwa beverages containing sweeteners[J].The Korean Journal of Food and Nutrition, 2008, 21:197-203.

[19] LIMA R S, DE MEDEIROS A C, BOLINI H, et al.Impact of non-nutritive sweeteners on the sensory profile and acceptance of a functional tamarind beverage[J].Journal of Food and Nutrition Research, 2020, 8(1):26-32.

[20] GORAYA R K, BAJWA U.The sweetness technology of sugar substituted low-calorie beverages[J].Food &Nutrition Journal, 2016, 2(3):115-122.

[21] MAZI T A, STANHOPE K L.Erythritol:An in-depth discussion of its potential to be a beneficial dietary component[J].Nutrients, 2023, 15(1):204.

[22] HEIKEL B, KREBS E, KÖHN E, et al.Optimizing synergism of binary mixtures of selected alternative sweeteners[J].Journal of Sensory Studies, 2012, 27(5):295-303.

[23] ROSS C F, WELLER K.Effect of serving temperature on the sensory attributes of red and white wines[J].Journal of Sensory Studies, 2008, 23(3):398-416.

[24] MOTOKI K, SAITO T, NOUCHI R, et al.Cross-modal correspondences between temperature and taste attributes[J].Frontiers in Psychology, 2020, 11:571852.

[25] 岳翠男, 秦丹丹, 蔡海兰, 等.QDA和GC-MS结合PLSR分析宁红茶中的风味物质[J].食品与发酵工业, 2021, 47(7):225-231.YUE C N, QIN D D, CAI H L, et al.Flavor compounds in Ning black tea by QDA and GC-MS combined with PLSR[J].Food and Fermentation Industries, 2021, 47(7):225-231.

Non-nutritive sweeteners in Chinese milk tea:Sensory characteristics and youth consumer preferences

LONG Men1, LIANG Bin1, SUN Jiayi1, YI Jiankang2, ZHOU Di1*, ZHAN Ge1*

1(School of Biology and Food Engineering, Chuzhou University, Chuzhou 239000, China)2(Anhui Jinhe Industrial Co.Ltd., Chuzhou 239000, China)

ABSTRACT With the increasing health consciousness among consumers, the market demand for low/no-sucrose milk tea has grown significantly.Non-nutritive sweeteners (NNS) provide sweetness without calories and serve as primary sugar substitutes.This study investigated the effects of NNS formulations on milk tea sensory characteristics and young consumers’ preferences, combining Quantitative descriptive analysis (QDA) and consumer acceptance testing.PanelCheck software assessed the performance of an 8-member QDA panel and the sensory profiles of products.ConsumerCheck software visualized liking score distributions of 69 young consumers using box plots and stacked histograms.Preference mapping analysis linked QDA data to consumer preferences.Results show consumer preferences are driven by odor of milk, odor of tea, sweet odor, sweet taste and smooth mouthfeel.The synergistic combination of erythritol, sucralose, and stevioside improves sweetness perception and increases acceptance among young consumers.The sensory profile of the milk tea formulation matched high-fructose corn syrup at 55-60 ℃.These findings offer theoretical support and practical strategies for optimizing low/no-sucrose milk tea formulations and marketing.

Key words non-nutritive sweeteners;milk tea;quantitative descriptive analysis;consumer acceptance testing;PanelCheck;ConsumerCheck

DOI:10.13995/j.cnki.11-1802/ts.042939

引用格式:龙门,梁斌,孙佳怡,等.非营养性甜味剂在中式奶茶中的感官特性与青年消费者偏好分析[J].食品与发酵工业,2025,51(19):355-365.LONG Men, LIANG Bin, SUN Jiayi, et al.Non-nutritive sweeteners in Chinese milk tea:Sensory characteristics and youth consumer preferences[J].Food and Fermentation Industries,2025,51(19):355-365.

第一作者:博士,副教授(周頔副教授和詹歌副教授为共同通信作者,E-mail:zhoudi06@163.com;zhangeczxy@163.com)

基金项目:安徽省中青年教师培养行动项目(JNFX2023063);安徽省高校理工科教师赴企业挂职实践计划项目(2024jsqygz112);安徽省奶牛饲养及乳制品原料粉工程技术研究中心开放基金项目(2024NSRYZ01);安徽省科技攻坚计划项目(202423110050046)

收稿日期:2025-04-07,改回日期:2025-05-28