羧甲基化修饰多糖及其应用研究进展

张舒婷1,黄凯1,轩华龙1,牟腊梅1,王心凌1,唐华丽1,2*,邱顺丽1

1(重庆三峡学院 生物与食品工程学院,重庆,404100)2(渝东北特色生物资源开发利用工程中心,重庆,404100)

摘要 作为构成生命体的重要组成部分之一,多糖具有多种生物活性,其生物活性受结构影响,且其特殊结构限制了其在加工和活性方面的应用。近年来,对天然多糖的结构进行修饰成为了研究的热点,羧甲基化修饰作为一种有效的化学改性策略,能够显著改善多糖的生物活性和应用特性。该文概述了羧甲基化多糖的合成路径和表征,探讨了羧甲基化修饰对多糖结构、生物活性的影响及其在食品工业和生物医药领域中的应用。旨在为羧甲基化多糖的研发与应用提供理论参考,促进多糖修饰领域的进展。

关键词 羧甲基化修饰多糖;合成;结构;生物活性;应用

多糖又被称为多聚糖,属于天然高分子化合物的一种。它由至少10个单糖分子通过不同的糖苷键连接组成,分子质量从数千到数百万Da不等[1]。根据其来源可分为:动物多糖、植物多糖和微生物多糖;而基于其结构特征,则可进一步分为:亲水性多糖、表面活性多糖、线性结构多糖和分支化多糖等类别。多糖的生物活性较广泛,如免疫调节[2]、抗氧化[3]、抗肿瘤[4]、降血糖[5]、抗炎[6]、抗菌[7]、抗凝血[8]、抗病毒[9]以及抗疲劳[10]等。此外,多糖还具有低毒性、良好的靶向性以及潜在的营养和药用价值等特性[11-12]。近年来,多糖已成为多个研究领域的中心,至少已有30种多糖在临床研究中被用于探索治疗多种疾病[13]。但多糖的生物活性容易受到其化学结构和糖链构造的影响,且这些活性并不稳定[14-15]。多糖分子结构与生物作用机制的复杂性,使得其在食品行业和医药领域中的应用仍面临诸多难题与挑战[16]

多糖的生物活性受其结构的直接或间接调节,改变多糖的分子结构可以显著提高其生物活性[17]。鉴于一些天然多糖分子本身的生物活性较低,因此对其进行修饰已成为研究的热点。目前,对天然多糖分子进行修饰的方法有物理修饰法、生物修饰法和化学修饰法。其中,化学修饰法的应用最为广泛,通过引入目标官能团,可以改善天然多糖的物化特性和生物活性[18]。常用的化学修饰法包括硒化、磷酸化、乙酰化、硫酸化和羧甲基化修饰等[19-20]。其中,羧甲基化修饰因操作简便且所用化学试剂成本较低,已成为当前多糖化学改性中一种应用广泛的策略[21]

羧甲基化多糖通常是聚电解质,在制药、营养补充剂及食品加工等多个行业中展现出广泛的应用潜力。本文概述了近年来羧甲基化多糖的研究进展,包括羧甲基化修饰多糖的合成路径、表征以及对多糖生物活性的影响,并探讨了其在食品工业和生物医药领域中的应用。此外,文章还对羧甲基化多糖未来的研究方向和趋势进行了展望。

1 羧甲基化多糖的合成

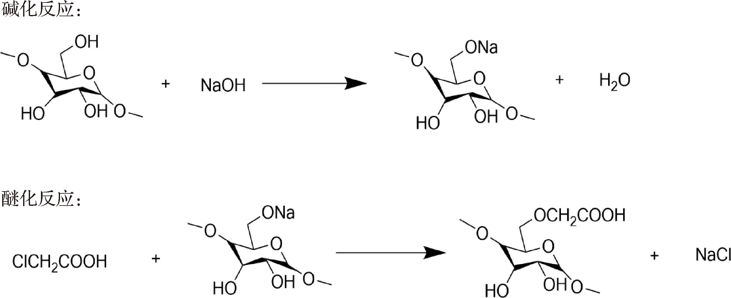
羧甲基化多糖是指在多糖分子中引入—CH2COOH与大分子链发生反应[22]。反应分2个阶段进行,先是多糖的—OH与碱反应形成烷氧基,然后ClCH2COOH与烷氧基化多糖之间的SN2反应产生CH2COONa[23]。反应方程式如图1所示。当前,羧甲基化修饰多糖的方法主要有2种:水媒法和溶媒法。2种方法的操作步骤相似,不同之处在于多糖是直接在稀碱液中反应,还是溶解在有机溶剂中之后再进行反应[24]。通过调控ClCH2COOH的添加量、碱化温度和反应时间等参数可制备出具有不同取代度(degree of substitution,DS)的羧甲基化多糖[25]。值得注意的是,—CH2COOH的DS随ClCH2COOH添加量、反应温度和反应时间的增加呈现先增后减的趋势。产生这一现象的潜在原因可能包括:一方面,ClCH2COOH添加量增加,多糖羧甲基化反应几率增大,ClCH2COONa生成量增多,DS相应升高;然而,当ClCH2COOH过量时,反应体系中的NaOH被消耗,导致pH值下降,进而抑制了取代反应的进行[26]。另一方面,过高的反应温度会破坏多糖的分子结构,引起降解,缩小了有效的反应空间,不利于反应的持续发生[27]。此外,过长的反应时间会导致多糖表面的—OH暴露,促使不稳定中间产物分解,导致多糖取代度下降[28]

图1 羧甲基化多糖反应方程式

Fig.1 Reaction equation of carboxymethylated polysaccharides

1.1 水媒法

水媒法是先将多糖样品溶解于特定浓度的NaOH溶液中,随后在反应容器中按比例添加ClCH2COOH,在合适的温度下将混合物醚化,反应结束后,收集上清液并调节其pH至中性,透析,冷冻干燥得羧甲基化衍生物[25]。王俊龙等[29]运用该方法制备了DS介于0.20~0.31的羧甲基化桦树茸多糖,经过修饰后,多糖的热稳定性和降血糖活性均有显著提升。杨嘉欣等[30]采用此法获得了DS在0.15~0.30的羧甲基化海带多糖,发现影响—CH2COOH的DS的因素依次为:碱化温度>反应温度> ClCH2COOH的添加量>反应时间。修饰后,海带多糖的自由基清除能力得到显著增强。虽然此方法的设备简单、操作便利,但它伴随着大量的副反应(可能是水溶剂体系下,离子电离程度更高),存在醚化剂利用率低、后处理复杂等局限性[31],在大规模工业化生产中并不具备优势。

1.2 溶媒法

溶媒法是先将多糖样品置于如丙酮、乙醇或异丙醇等有机试剂中,随后在室温条件下,运用磁力搅拌装置进行高强度搅拌,直至多糖样品完全溶解。随后,将此混合物转移至三颈烧瓶中,并向其中加入NaOH溶液。保持室温继续搅拌一段时间后,向反应体系中加入适量的ClCH2COOH,并将反应体系的温度调整至醚化反应的最适区间。之后,收集上清液,并调整溶液至中性状态。经过透析、浓缩以及冻干后,最终可制得羧甲基化多糖[32]。慈璐雨等[33]利用此法得到了DS为0.37的羧甲基化凝胶多糖,修饰后,凝胶多糖的水溶性提高了5.48倍,其抗氧化活性也得到了明显的增强。房斐等[34]利用此法制取了DS为0.45的羧甲基化苹果渣多糖。研究发现,各因素对—CH2COOH的DS影响顺序依次为:ClCH2COOH用量>碱化温度>醚化温度>醚化时间。修饰后,苹果渣多糖的溶解度实现了翻倍增长(苹果渣多糖修饰前后的溶解度分别为3.2、7.8 mg/mL),这可能是由于—CH2COOH作为一种亲水性基团,其引入显著提升了苹果渣多糖的溶解性。相较于水媒法,溶媒法的应用范围更为广泛。其优点在于反应过程迅速且稳定,副反应较少,醚化效率高。缺点是有机试剂的使用会增加物耗成本,且分离与回收难度较大,从而导致生产成本相对较高[35]

2 羧甲基化多糖的结构表征

2.1 红外光谱(infrared spectroscopy,IR)

多糖经羧甲基化修饰后,其IR谱图可能会在1 320、1 410和1 610 cm-1左右等位置出现—CH2COOH的特征吸收峰。酸枣多糖羧甲基化修饰后,其IR谱图在1 407 cm-1处出现了—CH2COOH的特征峰,—COO—的拉伸振动吸收峰,表明酸枣多糖分子中引入了—COO—基团,酸枣多糖羧甲基化修饰成功[36]。羧甲基化油茶籽饼粕多糖的IR谱图新增了在1 611 cm-1处归属于—COOH的CO非对称伸缩振动吸收峰、1 420 cm-1处与—COOH相连的—CH2—的C—H弯曲振动吸收峰,以及1 323 cm-1处的C—O对称伸缩振动吸收峰,这些均为—CH2COOH的特征性吸收标志,表明油茶籽饼粕多糖羧甲基化修饰成功[37]。羧甲基化羊肚菌多糖的IR谱图分别在1 600、1 420、1 330 cm-1处出现了由CO不对称拉伸振动,C—O拉伸振动和—CH2—振动引起的新的吸收峰,说明羊肚菌多糖羧甲基化修饰成功[38]

2.2 核磁共振(nuclear magnetic resonance,NMR)

NMR是一种有效表征多糖羧甲基化修饰成功的方法。羧甲基化修饰成功的多糖分子由于—CH2COOH的引入,其碳谱会发生化学位移,可能会在δ 178 ppm处出现新的信号峰。羧甲基化葛根多糖13C NMR谱在δ 177.86 ppm处出现了一个新的信号峰,是—COOH中的CO引起的信号峰。与葛根多糖的13C NMR谱相比,其在δ 79.95 ppm和δ 97.22 ppm等位置也产生了新的信号峰,这可能是由—CH2COOH中的—CH2—引起的。说明葛根多糖羧甲基化修饰成功[39]。羧甲基化茯苓多糖13C NMR谱在δ 178.05 ppm处出现新信号峰,为—CH2COOH上CO的碳信号;其C6部分信号峰也从δ 61.36 ppm移至δ 70.14 ppm。说明茯苓多糖羧甲基化修饰成功,修饰反应发生在C6羟基位上[40]。对比分析羧甲基化修饰前后的黄芪多糖的13C NMR谱发现,羧甲基化黄芪多糖的碳谱在δ 178.10~180.22 ppm处出现了—CH2COOH上CO的信号峰,说明黄芪多糖羧甲基化修饰成功[41]

2.3 高碘酸氧化和Smith降解

高碘酸氧化和Smith降解是多糖研究中常用于解析糖苷键连接位置及其占比的分析方法。高碘酸氧化具有明确的选择性反应位点,通过分析高碘酸的消耗量及伴随生成的甲酸量,可以初步推测糖苷键的所在位置、线性聚合度以及分支结构的数量等信息。刘晓菲[42]依据高碘酸氧化试验和Smith降解反应分析,推测羧甲基化茯苓多糖的3个组分(CMP11、CMP33及CMP44)的主要结构特征为:主链主要由1→3糖苷键构成,同时含有少量的1→6糖苷键作为支链成分,而在这3个组分中1→4糖苷键则未被发现。此外,还可能有微量1→2糖苷键的存在。羧甲基化黑木耳多糖(CMAPPs)的高碘酸氧化与Smith降解实验结果分析显示:CMAPP 11主要包含1→6、1→2糖苷键,其中可氧化糖基比例为96%,而不可氧化糖基仅占4%。CMAPP22同样含有1→6、1→2糖苷键,且可氧化糖基高达98%,不可氧化糖基仅为2%;此外,该组分兼具α与β 2种糖苷键构型。CMAPP33的结构则包含1→3、1→4及1→6糖苷键,其可氧化糖基比例为63%,不可氧化糖基为37%,同样兼具α与β 2种糖苷键构型。CMAPP44则具有1→3、1→6与1→2糖苷键,其可氧化糖基比例较低为26%,而不可氧化糖基高达74%。至于CMAPP55,其主要含有1→6、1→2糖苷键,可氧化糖基占83%,不可氧化糖基占17%[43]。LIU等[44]研究发现羧甲基化玉米须酸性多糖的骨架结构由多种糖苷键连接,具体包括1→、1→3、1→6、1→2、1→4以及1→3,6糖苷键等复杂形式。

3 羧甲基化对多糖结构的影响

3.1 单糖组成

羧甲基化修饰不仅会影响多糖的单糖组成类型,还会影响其理化性质。羧甲基化修饰前后的蒲公英根多糖、单糖组成类型相同,都由葡萄糖(glucose,Glu)、鼠李糖(rhamnose,Rha)、甘露糖(mannose,Man)、阿拉伯糖(arabinose,Ara)、半乳糖(galactose,Gal)和半乳糖醛酸(galacturonic acid,GalA)组成,但单糖组成的摩尔比不同[45]。羧甲基化五味子多糖(CSP)主要由Glu、Gal和Man构成。与原五味子多糖相比,缺少了Rha、Ara和Xyl,但Glu含量相对增加[46]。因此推断Glu可能位于五味子多糖组分的主链上,而Rha、Ara和Xyl位于多糖链分支或末端,羧甲基化修饰引起的多糖降解未发生在主链上,而是发生在支链上。这可能是由于多糖支链通常拥有更多的修饰位点,与主链相比,支链上的多糖更容易受到外界基团的攻击,导致其羟基更容易被取代[47]。酸枣多糖在羧甲基化修饰前后均为杂多糖,其基本构成单元包含6种单糖:Rha、Ara、Xyl、Man、Glu及Gal。但修饰前后的单糖摩尔比存在差异。此外,羧甲基化修饰显著提高了酸枣多糖的溶解度和黏度[48]

3.2 分子质量

羧甲基化修饰会造成多糖的分子质量升高或降低。分子质量增多可能是由于引入的—CH2COOH本身具有较高的相对分子质量,并通过共价键连接至原有多糖链上,从而增加了多糖整体的分子质量[49]。分子质量降低,可能源于修饰过程中糖苷键的断裂,导致多糖链发生降解。羧甲基化修饰的准噶尔山楂多糖的分子质量(Mw)为19.74 kDa,相较于未修饰的准噶尔山楂多糖的Mw(18.92 kDa)有所提升[50]。裙带菜多糖的Mw为69.35 kDa,而羧甲基化裙带菜多糖的Mw则降低至18.96 kDa,低于未修饰的裙带菜多糖[51]。此外,经羧甲基化修饰后的各级皂荚多糖的Mw均有所减小,由原先的百万级降至十万级范围[52]。这一变化可能是因为在溶液环境下NaOH的碱化处理导致皂荚多糖糖苷键断裂,分子结构发生显著改变,进而影响了其Mw分布特征。

3.3 高级结构

羧甲基化修饰不会破坏多糖的三螺旋空间结构。羧甲基化修饰前后的红枣多糖与刚果红溶液的最大吸收波长随着NaOH浓度的升高呈现逐渐降低的相似趋势,但都没有发生红移现象和急剧下降趋势[53]。说明羧甲基化修饰前后的红枣多糖分子均不具备三螺旋结构,羧甲基化修饰不会影响多糖的三螺旋空间结构。羧甲基化修饰后的纤细裸藻多糖的颗粒形态变得不完整,表面粗糙。刚果红测试结果表明,羧甲基化并未破坏多糖原有的三螺旋结构[54]

3.4 表观结构

多糖经羧甲基化修饰后其表面形态会发生改变,由原来的致密结构转变为不规则的层状或片状结构,这可能是由于—CH2COOH的加入,破坏了多糖的规则纤维状结构,分子间距增加所致,有可能提高多糖的水溶性[55]。牡丹花瓣多糖的结构致密,具有光滑的表面;羧甲基化修饰引起多糖形状和尺寸发生变化,增加了多糖的末端支化和网络结构,致使羧甲基化牡丹花瓣多糖具有不规则的片层结构[56]。红枣多糖呈不规则片状,表面相对平整光滑,结构致密;而羧甲基化红枣多糖表面形态分散、呈单片状分布[57]。说明羧甲基化修饰破坏了红枣多糖的规则纤维状结构,导致其结构疏松,变为不规则的层状。

3.5 DS

DS代表多糖中—OH被—CH2COOH取代的程度,通常采用酸碱滴定法或比色法进行测定。酸碱滴定法首先要将样品溶于HCl溶液中,室温搅拌使其完全溶解。然后使用NaOH溶液进行滴定,分别记录pH值为2.1和4.3时所消耗的NaOH溶液的体积,按照公式(1)进行计算[58]。比色法首先要将多糖样品溶解在NaOH溶液中。随后,依次加入铬变酸和浓H2SO4,并将所得溶液摇匀后用沸水浴加热。冷却至室温后,用CH3COONH4定容,并在570 nm处测量溶液的吸光度[59],按照公式(2)进行计算。

(1)

(2)

式中:A=(V2-V1)C/m,A为样品中—CH2COOH的含量,mmol/g;V2为pH值为4.3时消耗NaOH溶液体积,mL;V1为pH值为2.1时消耗NaOH溶液体积,mL;C为氢氧化钠溶液浓度,mol/L;m为样品质量,g;B为每克样品相当HOCH2COOH的量,g。

羧甲基化多糖的DS与ClCH2COOH的添加量、反应温度和时间等许多因素有关。羧甲基化修饰对青稞β-葡聚糖(QG)的结构特性、抗氧化和降血脂活性有影响。不同DS的羧甲基化青稞β-葡聚糖(QG-Cs)具有不同的Mw、溶解度和单糖组成摩尔比。与QG相比,DS最高的QG-C3表现出最高的抗氧化活性和胰脂肪酶抑制作用[60]。WANG等[61]研究发现,羧甲基化银耳多糖的水溶性和生物活性随着DS的增加而提高。说明DS的大小是影响多糖结构和生物活性的重要因素之一。羧甲基化修饰多糖通过改变多糖的结构来影响其物理特性进而提高其生物活性。

综上所述,羧甲基化修饰可能会对多糖的单糖组成、分子质量及空间结构等产生影响,具体如表1所示。

表1 羧甲基化对多糖结构的影响

Table 1 Effect of carboxymethylation on polysaccharide structure

多糖名称来源合成单糖组成摩尔比分子质量Mw/kDa前后前后前后高级结构表观结构DS参考文献羧甲基化蒲公英根多糖(CMDP)蒲公英根溶媒法Man、Rha、GalA、Glu、Gal、AraMan、Rha、GalA、Glu、Gal、Ara1.00∶0.52∶1.60∶5.83∶2.64∶1.511.00∶0.58∶2.26∶3.38∶3.30∶2.02108.2069.80——0.42±0.07[45]羧甲基化五味子多糖(CSP)五味子溶媒法Man、Glu、Gal、Ara、Xyl、RhaMan、Glu、Gal—CSP1:2.02∶90.49∶7.49CSP2:1.47∶92.81∶5.72 —CSP1:16.98CSP2:26.52—CSP1、CSP2呈片状和碎屑状聚集,形貌几乎没有规整性,为无定型 结构固体0.72±0.02[46]羧甲基化酸枣多糖酸枣水媒法Rha、Ara、Xyl、Man、Glu、GalRha、Ara、Xyl、Man、Glu、Gal0.60∶10.13∶0.80∶0.32∶0.37∶2.290.23∶5.66∶0.44∶0.53∶0.17∶1.25297.64317.12—原多糖表面凹凸不平,呈团状聚集;修饰后多糖呈层状堆积,表面光滑,晶体间有微小空隙0.24[48]羧甲基化准噶尔山楂多糖(CM-SP)准噶尔山楂溶媒法Man、Ara、Gal、GluMan、Ara、Gal、Glu11.32∶20.08∶54.32∶14.2829.52∶34.23∶19.73∶16.5218.9219.74羧甲基化修饰并未改变多糖的三螺旋结构CM-CSP呈不规则的碎片状,结构较疏松,存在较大空隙,卷曲程度加大0.91[50]

续表1

多糖名称来源合成单糖组成摩尔比分子质量Mw/kDa前后前后前后高级结构表观结构DS参考文献羧甲基化裙带菜多糖裙带菜水媒法Glu、Man—76.59∶21.12—69.3518.96——0.29[51]羧甲基化皂荚多糖皂荚溶媒法Gal、Man、Glu、Xyl、AraGal、Man、Glu、Xyl、Ara19.80∶70.60∶4.10∶3.40∶2.1020.20∶72.70∶3.60∶2.10∶1.40680.00540.00——0.30±0.03[52]羧甲基化红枣多糖红枣水媒法Glu、GluA、AraGlu、GluA、Ara96.24∶1.27∶1.0695.49∶1.25∶1.084.868.31修饰前后的多糖都不具备三螺旋结构原糖表面呈蜂窝状,有较大块状颗粒。修饰多糖表面较光滑,有很小的片状颗粒1.157[53]羧甲基化纤细裸藻多糖(C-EPG)纤细裸藻溶媒法Glu———109.40C-EPG1:115.30C-EPG2:133.00C-EPG3:148.20修饰前后的多糖都具有三螺旋结构EGP颗粒呈椭圆形,有均匀光滑表面。C-EGP的形状变化和颗粒破碎现象随着取代度的增加,变得明显C-EPG1:0.14±0.005C-EPG2:0.55±0.01C-EPG3:0.78±0.015[54]羧甲基化牡丹花瓣多糖(CPSP)牡丹花瓣溶媒法Rha、Gal、Glu、Man、Fru、GalAFuc、Rha、Ara、Gal、Glu、Xyl、Man、Fru、GalA、GluAPSP30:8.10∶38.30∶29.10∶1.50∶11.10∶11.60PSP60:4.10∶24.30∶49.20∶1.10∶10.10∶11.00CPSP30:1.60∶0.90∶33.50∶34.70∶34.70∶3.80∶5.30∶3.00∶4.80∶0CPSP60:2.10∶5.70∶31.90∶44.10∶44.10∶0∶1.30∶0∶4.90∶1.30PSP30:115.80PSP60:49.59CPSP30:29.79CPSP60:66.30PSP60、CPSP60具有三螺旋结构,PSP30、CPSP30不存在三螺旋结构PSP30呈致密块状颗粒;PSP60呈紧凑层状结构;CP-SP30呈不规则的层和部分撕裂的网状结构;CPSP60呈不规则的片状和棒状结构—[56]羧甲基化红枣多糖哈密大枣溶媒法Ara、GalAAra、Gal、GalA33.83∶48.1738.03∶22.37∶39.60136.4146.64—原糖呈不规则片状,表面相对光滑平整,结构致密。修饰多糖呈分散、单片状分布,具有规则的圆形小孔0.42[57]羧甲基化青稞β-葡聚糖(QG-Cs)青稞水媒法Ara、Xyl、Glu、GalAra、Xyl、Glu、Gal1.00∶1.25∶16.96∶0.60QG-C1:1.00∶1.46∶17.49∶0.30QG-C2:1.00:1.83∶24.00∶0.43QG-C3:1.00∶2.30∶33.25∶0.18173.80QG-C1:102.50QG-C2:88.70QG-C3:32.50——QG-C1:0.32±0.02QG-C2:0.65±0.03QG-C3:0.88±0.03[60]羧甲基化银耳多糖(CATP)银耳子实体溶媒法——————修饰后的多糖具有三螺旋结构—CATP1:0.36CATP2:0.47CATP3:0.54CATP4:0.70[61]

4 羧甲基化对多糖生物活性的影响

羧甲基化修饰多糖具有抗氧化、降血糖、免疫调节、抗肿瘤等多种生物学活性,如图2所示。

图2 羧甲基化多糖的生物活性

Fig.2 Biological activity of carboxymethylated polysaccharides

4.1 抗氧化

羧甲基化修饰后的多糖具有较强的抗氧化能力,这与其电负性和高级结构有关[62]。羧甲基化罗汉果多糖具有较高的DPPH自由基和羟自由基(·OH)清除活性,在保证罗汉果多糖三螺旋结构存在的情况下,在多糖分子中引入适量的—CH2COOH可以提高其抗氧化活性[63]。羧甲基化浒苔多糖清除DPPH自由基、·OH和超氧阴离子自由基的能力比原糖更强,还原铁的活性更高,且其抗氧化活性高于降解多糖和粗多糖[64]。可能是因为—CH2COOH的引入,使一些没有活性的化合物具有了活性。羧甲基化修饰前后的红枣多糖都具有较强的抗氧化活性,且呈剂量依赖性。但修饰后的红枣多糖清除DPPH自由基和·OH的能力比红枣多糖强[65]。这可能是因为—CH2COOH的引入,破坏了红枣多糖的结构,提高了其水溶性所致[55]

4.2 降血糖

羧甲基化修饰多糖能更好地抑制α-葡萄糖苷酶和α-淀粉酶的活性,可能是因为引入—CH2COOH后,多糖的酸性糖增多、电负性和水溶性有所改变,使其能维持较稳定的血糖平衡。羧甲基化修饰后的川木瓜多糖对α-葡萄糖苷酶的抑制效果(84.61%)比未修饰(72.41%)的好[66]。可能是因为修饰后多糖的—OH暴露,使得其水溶性增强所致。裙带菜多糖(UPP)和羧甲基化裙带菜多糖(CM-UPP)均对α-淀粉酶抑制,但无剂量依赖关系;而UPP和CM-UPP对α-葡萄糖苷酶抑制呈量-效关系,UPP和CM-UPP的IC50值分别为3.467 mg/mL和0.503 mg/mL[67]。说明羧甲基化修饰能够提高UPP的体外降血糖能力。可能是因为—CH2COOH的引入可以提高UPP的电负性和水溶性所致。

多糖经羧甲基化修饰后能更好地改善胰岛素抵抗,增强多糖的降糖和降脂作用。羧甲基化粒毛盘菌胞外多糖可以显著降低糖尿病小鼠的空腹血糖和血清甘油三酯水平[68]。其可能通过上调肝脏中GKAMPK表达,骨骼肌中AMPKGlut表达以及脂肪组织中PPAR-γ表达,下调肝脏中G6P表达,促进糖原生成和葡萄糖利用,进而提高其降血糖活性。羧甲基化小麦膳食纤维可以改善2型糖尿病小鼠的体重、血糖、总胆固醇(total cholesterol,TC)、甘油三酯(triglyceride,TG)、高密度脂蛋白胆固醇(high-density lipoprotein cholesterl,HDL-C)、低密度脂蛋白胆固醇(low-density lipoprotein cholesterl,LDL-C)、胰岛素以及胰高血糖素样肽-1(glucagon-like peptide-1,GLP-1)、酪酪肽(peptide yy,PYY)等生理指标[69]。说明羧甲基化小麦膳食纤维具有良好的降血糖和降血脂活性,且对糖尿病小鼠肝脏和胰腺组织有一定的保护作用。

4.3 抗肿瘤

多糖经羧甲基化修饰后在诱导肿瘤细胞凋亡、影响肿瘤细胞周期、抑制肿瘤细胞增殖等方面有显著的效果[70]。其通过静电和氢键作用与免疫细胞受体结合,增强免疫反应,提高抗肿瘤活性[71]。羧甲基化玉米麸皮多糖具有显著抑制A549和HepG2细胞的增殖作用[72]。这可能与一些肿瘤抑制基因的表达增加及抑制细胞凋亡基因和诱导型一氧化氮合酶基因的表达显著减少有关。雨生红球藻多糖在体外抑制HepG2细胞和Hela细胞增殖的效果不如羧甲基化修饰生成的C-HPP[73]。可能是因为多糖经羧甲基化修饰后,由于其—OH暴露在外面,提高了多糖的水溶性,从而更利于其活性的发挥。羧甲基化马齿苋多糖对HepG2细胞的增殖有一定的抑制作用,且呈量-效关系;但对A549细胞的增殖无明显抑制作用[74]。说明多糖经羧甲基化修饰后可能会表现出对部分肿瘤细胞的抑制作用,这种抑制作用具有细胞选择性。

4.4 免疫调节

人体的免疫系统主要负责抵御外界病原菌入侵并保持机体正常功能。在多糖分子中引入—CH2COOH不仅可以增加多糖的溶解性,还可以改善多糖和巨噬细胞之间的相互作用,有效提高多糖的免疫调节活性。羧甲基化修饰前后的红须腹菌酸多糖对免疫抑制型小鼠的免疫功能有影响,但经过修饰后的多糖显示出更强的免疫调节活性。羧甲基化多糖不仅对小鼠的细胞因子水平有明显改善作用,还显著增强了其单核-巨噬细胞的吞噬功能[75]。羧甲基化茯苓多糖不仅能够显著提高免疫缺陷小鼠的单核-巨噬细胞吞噬功能、迟发型超敏反应和溶血素生成;还能增强T细胞免疫功能、B细胞抗体生成以及体液免疫功能[76]。牛蒡低聚果糖(BFO)和其羧甲基化修饰产物(CM-BFO)均能提升RAW264.7细胞的免疫活性,但中等DS的CM-BFO免疫活性较BFO明显提升[77]。说明CM-BFO的免疫活性与DS之间无线性关系,通过引入适量的—CH2COOH可以显著提高BFO的免疫调节活性。

4.5 其他活性

羧甲基化修饰多糖还具有一些其他生物活性,例如抗炎、降胆固醇、抗菌等。羧甲基化阿拉伯木聚糖对脂多糖诱导的急性肝损伤小鼠有抗炎和肝保护作用[78]。羧甲基木聚糖能抵抗人体消化道消化,并顺利进入肠道被肠道益生菌分解利用[79]。羧甲基化羊肚菌多糖比羊肚菌多糖具有更强的降胆固醇活性[80]。SONG等[81]从大麦麸皮中筛选了5种羧甲基化β-葡聚糖(CMG)对金黄色葡萄球菌的抗菌功效进行了研究。结果显示,羧甲基化衍生物CMG-2具有显著的抗菌活性,最小抑制浓度(minimum inhibitory concentration,MIC)值为20 mg/mL。

综上所述,羧甲基化修饰后的多糖与未修饰的多糖相比,其抗氧化、降血糖、抗肿瘤和免疫调节活性均得到了显著提高。此外,也有研究表明羧甲基化修饰还能提高多糖的抗炎、肝保护、抗消化和降胆固醇等活性,具体如表2所示。

表2 羧甲基化对多糖生物活性的影响

Table 2 Effect of carboxymethylation on the biological activity of polysaccharides

生物活性多糖名称来源模型指标结论/可能机制参考文献抗氧化 羧甲基化罗汉果多糖(CSGP)罗汉果体外自由基DPPH自由基、·OH与罗汉果多糖相比,CSGP抗氧化能力显著提高,但只有引入适量—CH2COOH才能发挥出最佳的活性[63]羧甲基化降解浒苔多糖(CDPE)浒苔体外自由基DPPH自由基、·OH、·O-2、Fe2+与浒苔降解多糖和粗多糖相比,CDPE的抗氧化活性显著提高[64]羧甲基化红枣多糖红枣体外自由基DPPH自由基、·OH、Fe2+羧甲基红枣多糖对自由基的清除率有显著提高[65]降血糖 羧甲基化川木瓜多糖川木瓜体外降血糖α-葡萄糖苷酶羧甲基化修饰能增强川木瓜多糖对α-葡萄糖苷酶的抑制作用[66]羧甲基化裙带菜多糖(CM-UPP)裙带菜体外降血糖α-淀粉酶、α-葡萄糖苷酶羧甲基化修饰能够增强裙带菜多糖体外降血糖活性[67]羧甲基化粒毛盘菌胞外多糖(CLEP)粒毛盘菌2型糖尿病小鼠口服葡萄糖耐量、空腹血糖、空腹血清胰岛素、糖化血红蛋白(A1c)通过上调肝脏中GK和AMPK表达,骨骼肌中AMPK和Glut表达以及脂肪组织中PPAR-γ表达,下调肝脏中G6P表达,促进糖原生成和葡萄糖利用,进而提高降血糖活性[68]羧甲基化小麦膳食纤维(CM-DF)麦麸2型糖尿病小鼠胰岛素、瘦素和GLP-1、PYY通过下调G6pase、Prkce表达,上调Glut2、InsR表达,抑制1,2-DAG-PKCε途径来改善胰岛素受体活性和胰岛素信号转导[69]抗肿瘤 羧甲基化玉米麸皮多糖玉米麸皮细胞A549和HepG2细胞增殖可能与CASP3、CASP8、CASP9和p53表达升高以及Bcl-2和iNOS基因表达降低有关[72]羧甲基化雨生红球藻多糖(C-HPP)雨生红球藻细胞HepG2和Hela细胞增殖通过促进凋亡蛋白升高,从而增强抗肿瘤活性[73]羧甲基化马齿苋多糖(CM-POP)马齿苋细胞HepG2细胞增殖CM-POP的抗肿瘤活性显著增强,可能与其水溶性提高及抗氧化活性增强有关[74]免疫调节羧甲基化红须腹菌酸多糖(CM-RPRR-S)红须腹菌子实体免疫缺陷小鼠体重、脾脏指数、胸腺指数、IL-2、IFN-γ、TNF-α、IL-6、IL-12、单核-巨噬细胞吞噬可以调节分泌异常的炎性细胞因子水平,增强小鼠的单核-巨噬细胞的吞噬功能[75]羧甲基化茯苓多糖(CMP)茯苓免疫缺陷小鼠碳廓清指数、迟发型超敏反应、溶血素生成、脾淋巴细胞增殖、NK细胞杀伤通过增强T细胞免疫功能和B细胞抗体生成,提高免疫功能低下小鼠ConA刺激下脾淋巴细胞增殖活性和脾NK细胞的杀伤活性[76]羧甲基化牛蒡低聚果糖(CM-BFO)牛蒡细胞RAW264.7细胞增殖、吞噬能力和NO浓度通过提升RAW264.7细胞生成NO的能力,发挥免疫调节[77]抗炎和 肝保护 羧甲基化阿拉伯木聚糖(CM-CAX)玉米麸皮肝损伤小鼠体重、免疫器官指数、天门冬氨酸氨基转移酶(aspartate aminotransferase,AST)、丙氨酸氨基转移酶(alanine amin-otransferase,ALT)、血清和肝脏中炎性细胞因子水平CM-CAX可抑制由脂多糖诱导造成的小鼠血清和肝脏中炎性细胞因子的过度分泌,使AST和ALT活性下降,从而起到抗炎和肝保护作用[78]抗消化 羧甲基化木聚糖(CXY)体外模拟消化CXY的水解度CXY可以抵抗人体消化道的水解,能够进入肠道被德氏乳杆菌保加利亚亚种、植物乳植杆菌、短乳杆菌和嗜热链球菌4种益生菌利用[79]

续表2

生物活性多糖名称来源模型指标结论/可能机制参考文献降胆固醇羧甲基化羊肚菌多糖(CPMEP)黑脉羊肚菌高胆固醇大鼠血清总胆固醇可能是通过下调肝脏3-羟基-3-甲基-戊二酰辅酶A还原酶和上调胆固醇-7α-羟化酶介导的[80]抗菌 羧甲基化β-葡聚糖(CMG)大麦麸皮金黄色葡萄球菌跨膜电位、pH梯度、细胞内ATP的变化等CMG可以使细胞膜通透性增加、形态改变和结构破坏,形成滤泡和微球,致使细胞壁和膜破裂,从而导致细胞裂解[81]

5 羧甲基化多糖的应用

羧甲基化修饰多糖具有良好的物化特性和生物活性,其应用如图3所示。

图3 羧甲基化多糖的应用

Fig.3 Application of carboxymethylated polysaccharides in food

5.1 食品加工

食品添加剂在提升食品稳定性、优化口感及增进整体质量方面展现出显著效果。其中,多糖凭借其亲水与疏水特性,作为一种环保且安全的食品改良成分,被广泛应用于烘焙制品、饮品及冷冻甜品等领域[82]。具体而言,羧甲基纤维素作为稳定剂应用于冰淇淋制造中,可以增强产品的抗融化性,便于运输与长期贮存[83];应用在大豆酸奶中,有效提高了大豆酸奶的品质和贮藏稳定性[84]。羧甲基化魔芋葡甘露聚糖可作为增稠剂,应用在饮料和冰淇淋中[85]。羧甲基化海带褐藻聚糖可以作为水果的天然防腐剂,用来减少水果在冷藏过程中的水分流失和腐烂[86]

5.2 食品保鲜

食品包装是维护加工食品质量的关键因素,随着食品工业的演进,包装材料已超越传统塑料与纸张的范畴。经羧甲基化修饰的多糖,其抗氧化活性与抗菌性能得到显著提升,适用于制作果蔬的包装薄膜。例如,羧甲基纤维素包装膜能有效保持食品质量,延长保质期,并且可以快速降解[87]。一种结合ε-聚赖氨酸的羧甲基化罗望子多糖复合膜,可以显著延缓甜椒的重量损失与丙二醛积累,维持其硬度、色泽与营养成分,延长其货架期[88]。羧甲基化普鲁兰多糖制备的薄膜不仅能较好保留车厘子和葡萄的水分及可溶性固形物,还能维持其硬度,表现出了良好的保鲜效果[89]

5.3 功能成分

多糖因其广泛的生物活性,成为功能性保健食品中的标志性成分,能够开发出具有增强免疫力、调节血糖及优化肠道微生物群落等特殊功效的产品。羧甲基化柑橘果胶能抵抗人体消化道消化,并顺利进入肠道被肠道益生菌分解利用,可以作为一种益生元[90]。羧甲基化茯苓多糖能降低体脂、血脂及肝脂水平,改善糖耐量,有效缓解肥胖及相关并发症[91]。羧甲基纤维素可用作减脂剂和营养补充剂添加到食品中,可以减少结肠癌和心血管疾病等疾病的发生[92]

5.4 输送载体

羧甲基化多糖可与其他物质结合,作为载体运输活性小分子至肠道。羧甲基化沙棘多糖螯合钙可以在胃肠道中保持稳定状态,可以作为钙补充剂[93]。羧甲基化茯苓多糖对没食子酸、绿原酸及Zn2+等营养素具有较强的吸附能力,可利用此特性作为吸附剂,对活性成分进行包埋,为开发特定健康食品提供保护[94]。羧甲基化米糠多糖和壳聚糖形成的聚电解质复合物是一种优良的缓释载体,可以减少花青素在胃肠道环境中的降解,有效提高了花青素的生物可及性[95]

6 结论与展望

多糖是一类天然存在的可再生复杂化合物,在自然界中分布广泛。不仅是食物中的重要成分,也是许多生物活性物质的基础。其具有较多的优点,如来源广泛、价格较低、生物活性强、容易制备、对人体毒副作用小等,近年来,受到了相关研究人员的高度重视。当前,羧甲基化修饰是多糖改性领域的一个重要研究方向。在多糖分子中引入—CH2COOH,可以改变多糖的单糖组成、分子质量大小和水溶性等,显著提高其抗氧化、降血糖、抗肿瘤等生物活性。修饰后的多糖因具有良好的水溶性和生物活性,为多糖类产品的进一步研发与实际应用提供了有利条件。

然而,值得注意的是,尽管目前多糖的羧甲基化修饰研究取得了很大的进展,但仍有几个问题需要解决。一方面,羧甲基化多糖合成使用的有毒试剂可能会对环境造成污染,需进一步探索绿色环保的合成路径。另一方面,细胞和动物模型相较于人体存在显著差异,因此未来需要进行临床实验,对羧甲基化多糖的功能活性机制和信号通路进行深入研究,确定其结构与功能之间的关系,探究不同羧甲基化修饰多糖的潜在生物活性和健康益处。此外,羧甲基化修饰多糖的应用研究较少,亟需深入研究,以期开发出更多多糖类功能性产品。

参考文献

[1] BILAL M, GUL I, BASHARAT A, et al.Polysaccharides-based bio-nanostructures and their potential food applications[J].International Journal of Biological Macromolecules, 2021, 176:540-557.

[2] LV T, CHEN J R, HE Z M, et al.Studies of the immunomodulatory activity of polysaccharides from the stem of Cynomorium songaricum based on intestinal microbial analysis[J].Molecules, 2024, 29(1):143.

[3] FENG A Q, ZHAO Z W, LIU C F, et al.Study on characterization of Bupleurum chinense polysaccharides with antioxidant mechanisms focus on ROS relative signaling pathways and anti-aging evaluation in vivo model[J].International Journal of Biological Macromolecules, 2024, 266:131171.

[4] YU S S, YU J, DONG X D, et al.Structural characteristics and anti-tumor/-oxidant activity in vitro of an acidic polysaccharide from Gynostemma pentaphyllum[J].International Journal of Biological Macromolecules, 2020, 161:721-728.

[5] XU L J, PAN X, LI D J, et al.Structural characterization, rheological characterization, hypoglycemic and hypolipidemic activities of polysaccharides from Morchella importuna using acidic and alkaline deep eutectic solvents[J].LWT, 2024, 193:115742.

[6] HOU J J, GONG H X, GONG Z, et al.Structural characterization and anti-inflammatory activities of a purified polysaccharide from fruits remnants of Alpinia zerumbet (Pers.) Burtt.et Smith[J].International Journal of Biological Macromolecules, 2024, 267:131534.

[7] BAMIGBADE G B, SUBHASH A J, AL-RAMADI B, et al.Gut microbiota modulation, prebiotic and bioactive characteristics of date pomace polysaccharides extracted by microwave-assisted deep eutectic solvent[J].International Journal of Biological Macromolecules, 2024, 262:130167.

[8] HU C, LI H X, ZHANG M T, et al.Structure characterization and anticoagulant activity of a novel polysaccharide from Leonurus artemisia (Laur.) S.Y.Hu F[J].RSC Advances, 2020, 10(4):2254-2266.

[9] CHEN W B, ZHU X L, MA J J, et al.Structural elucidation of a novel pectin-polysaccharide from the petal of Saussurea laniceps and the mechanism of its anti-HBV activity[J].Carbohydrate Polymers, 2019, 223:115077.

[10] SUN H H, SHU F, GUAN Y, et al.Study of anti-fatigue activity of polysaccharide from fruiting bodies of Armillaria gallica[J].International Journal of Biological Macromolecules, 2023, 241:124611.

[11] 冯兆园, 王贻森, 王振宇, 等.植物多糖协同增效研究进展[J].精细化工, 2024, 41(11):2358-2369.FENG Z Y, WANG Y S, WANG Z Y, et al.Research progress on cooperative synergism of plant polysaccharides[J].Fine Chemicals, 2024, 41(11):2358-2369.

[12] CAI Y J, HUANG L H, TAO X, et al.Enhanced acidic stability of O/W emulsions by synergistic interactions between okara protein and carboxymethyl cellulose[J].LWT, 2021, 146:111439.

[13] SHI L.Bioactivities, isolation and purification methods of polysaccharides from natural products:A review[J].International Journal of Biological Macromolecules, 2016, 92:37-48.

[14] GAO X, QI J Y, HO C T, et al.Structural characterization and immunomodulatory activity of a water-soluble polysaccharide from Ganoderma leucocontextum fruiting bodies[J].Carbohydrate Polymers, 2020, 249:116874.

[15] LI J J, HU X Z, LI X P, et al.Effects of acetylation on the emulsifying properties of Artemisia sphaerocephala Krasch.polysaccharide[J].Carbohydrate Polymers, 2016, 144:531-540.

[16] FERREIRA S S, PASSOS C P, MADUREIRA P, et al.Structure-function relationships of immunostimulatory polysaccharides:A review[J].Carbohydrate Polymers, 2015, 132:378-396.

[17] LIU X, XIE J H, JIA S, et al.Immunomodulatory effects of an acetylated, Cyclocarya paliurus, polysaccharide on murine macrophages RAW264.7[J].International Journal of Biological Macromolecules, 2017, 98:576-581.

[18] CHAKKA V P, ZHOU T.Carboxymethylation of polysaccharides:Synthesis and bioactivities[J].International Journal of Biological Macromolecules, 2020, 165:2425-2431.

[19] XU Y, WU Y-J, SUN P-L, et al.Chemically modified polysaccharides:Synthesis, characterization, structure activity relationships of action[J].International Journal of Biological Macromolecules, 2019, 132:970-977.

[20] TANG S, WANG T, HUANG C X, et al.Sulfated modification of Arabinogalactans from Larix principis-rupprechtii and their antitumor activities[J].Carbohydrate Polymers, 2019, 215:207-212.

[21] 杨艺, 赵媛, 孙纪录, 等.化学修饰多糖的方法及生物活性研究进展[J].食品工业科技, 2023, 44(11):468-479.YANG Y, ZHAO Y, SUN J L, et al.Research progress on chemical modification methods of polysaccharides and their biological activity[J].Science and Technology of Food Industry, 2023, 44(11):468-479.

[22] 刘颖, 宋丹丹, 付薇, 等.响应面试验优化米糠膳食纤维脂肪替代物的制备工艺[J].食品科学, 2016, 37(4):37-43.LIU Y, SONG D D, FU W, et al.Optimization of preparation process for fat substitute from rice bran dietary fiber by response surface methodology[J].Food Science, 2016, 37(4):37-43.

[23] XIE L M, SHEN M Y, WANG Z J, et al.Structure, function and food applications of carboxymethylated polysaccharides:A comprehensive review[J].Trends in Food Science and Technology, 2021, 118:539-557.

[24] FAN L H, WANG L B, GAO S, et al.Synthesis, characterization and properties of carboxymethyl kappa carrageenan[J].Carbohydrate Polymers, 2011, 86(3):1167-1174.

[25] LI Y T, CHEN B J, WU W D, et al.Antioxidant and antimicrobial evaluation of carboxymethylated and hydroxamated degraded polysaccharides from Sargassum fusiforme[J].International Journal of Biological Macromolecules, 2018, 118:1550-1557.

[26] 陈义勇, 张阳.杏鲍菇多糖羧甲基化修饰工艺及其抗氧化活性[J].食品与发酵工业, 2016, 42(7):119-127.CHEN Y Y, ZHANG Y.Carboxymethylation modification process and antioxidant activity of polysaccharides from Pleurotus eryngii[J].Food and Fermentation Industries, 2016, 42(7):119-127.

[27] 张银英, 朱静祎, 潘裕添, 等.灵芝多糖羧甲基化修饰及抗氧化性研究[J].闽南师范大学学报(自然科学版), 2022, 35(1):100-108.ZHANG Y Y, ZHU J Y, PAN Y T, et al.Carboxymethylation and antioxidation of polysaccharide from Ganoderma lucidum[J].Journal of Minnan Normal University (Natural Science), 2022, 35(1):100-108.

[28] 李霞, 胡楠, 赵启迪, 等.肠浒苔多糖的羧甲基化修饰及其抗氧化活性研究[J].广西植物, 2019, 39(11):1519-1526.LI X, HU N, ZHAO Q D, et al.Carboxymethylation modification and antioxidant activity of Enteromorpha intestinalis polysaccharides[J].Guihaia, 2019, 39(11):1519-1526.

[29] 王俊龙, 时文盼, 蔺永刚, 等.桦树茸多糖羧甲基化修饰工艺优化、理化性质及降糖活性研究[J].食品与发酵工业, 2025, 51(4):244-254.WANG J L, SHI W P, LIN Y G, et al.Carboxymethyl modification, physicochemical properties, and hypoglycemic activity of Inonotuso Bliquus polysaccharides[J].Food and Fermentation Industries, 2025, 51(4):244-254.

[30] 杨嘉欣, 李瑶, 黄显健, 等.海带多糖羧甲基化修饰工艺优化及其生物活性研究[J].食品与发酵工业, 2024, 50(18):115-122.YANG J X, LI Y, HUANG X J, et al.Optimization of carboxymethylation modification process and study on biological activity of Laminaria japonica polysaccharide[J].Food and Fermentation Industries, 2024, 50(18):115-122.

[31] 罗婷. 苹果渣多糖的羧甲基化修饰及其抗氧化活性研究[D].西安:陕西科技大学, 2019.LUO T.Carboxymethylated modification and antioxidant activity of apple pomace polysaccharides[D].Xi’an:Shaanxi University of Science and Technology, 2019.

[32] LIU W, HU C, LIU Y M, et al.Preparation, characterization, and α-glycosidase inhibition activity of a carboxymethylated polysaccharide from the residue of Sarcandra glabra (Thunb.) Nakai[J].International Journal of Biological Macromolecules, 2017, 99:454-464.

[33] 慈璐雨, 倪天颖, 蓝蔚冰.羧甲基化和磷酸化凝胶多糖的制备及结构与抗氧化活性对比分析研究[J].食品与发酵工业, 2024, 50(16):249-255.CI L Y, NI T Y, LAN W B.Comparative analysis of preparation, structure, and antioxidant activity of carboxymethylated and phosphorylated curdlan[J].Food and Fermentation Industries, 2024, 50(16):249-255.

[34] 房斐, 陈雪峰, 刘宁, 等.羧甲基化苹果渣多糖的制备及其表征[J].食品科技, 2019, 44(9):289-294;302.FANG F, CHEN X F, LIU N, et al.Preparation and characterization of carboxymethylated apple pomace polysaccharide[J].Food Science and Technology, 2019, 44(9):289-294;302.

[35] 申林卉, 刘丽侠, 陈冠, 等.多糖化学结构修饰方法的研究进展[J].药物评价研究, 2013, 36(6):465-468.SHEN L H, LIU L X, CHEN G, et al.Research progress in structural modification of polysaccharide[J].Drug Evaluation Research, 2013, 36(6):465-468.

[36] 陈栅, 冯润芳, 袁野,等.酸枣多糖羧甲基化修饰及活性研究[J].中国食品学报, 2022, 22(4):55-66.CHEN S, FENG R F, YUAN Y, et al.Studies on carboxy methylation modification and activity of wild Jujube polysaccharide[J].Journal of Chinese Institute of Food Science and Technology, 2022, 22(4):55-66.

[37] 杨建安, 张超, 文焱炳, 等.油茶籽粕多糖羧甲基化、乙酰化修饰及其对透明质酸酶的抑制作用[J].食品与机械, 2021, 37(10):44-49.YANG J A, ZHANG C, WEN Y B, et al.Study on carboxymethylated and acetylated modification process of Camellia Oleifera seed meal polysaccharides and its hypoglycemic activity[J].Food &Machinery, 2021, 37(10):44-49.

[38] WU Y N, YE M, DU Z Z, et al, Carboxymethylation of an exopolysaccharide from Lachnum and effect of its derivatives on experimental chronic renal failure[J].Carbohydrate Polymers, 2014, 114:190-195.

[39] 范玉敏. 葛根多糖及衍生物的制备、表征与抗氧化活性研究[D].重庆:重庆师范大学, 2023.FAN Y M.Preparation, characterization and antioxidant activity of Pueraria lobata polysaccharide and its derivatives[D].Chongqing:Chongqing Normal University, 2023.

[40] 别蒙, 谢笔钧, 孙智达.不同取代度水溶性羧甲基茯苓多糖的制备、结构表征及体外抑菌活性[J].食品科学, 2020, 41(12):67-76.BIE M, XIE B J, SUN Z D.Preparation, structural characterization and in vitro antibacterial activity of water-soluble carboxymethyl pachymaran with different degrees of substitution[J].Food Science, 2020, 41(12):67-76.

[41] 王鸿鑫. 羧甲基化黄芪多糖的制备及其抗氧化活性和吸收转运研究[D].佛山:佛山科学技术学院, 2024.WANG H X.Preparation, antioxidant activity absorption and transport of carboxymethylated Astragalus polysaccharides[D].Foshan:Foshan Institute of Science and Technology, 2024.

[42] 刘晓菲. 羧甲基茯苓多糖的纯化及生物活性研究[D].广州:华南理工大学, 2018.LIU X F.Purification and biological activity of carboxymethyl pachyman[D].Guangzhou:South China University of Technology, 2018.

[43] 魏红. 黑木耳多糖的羧甲基化修饰及抗氧化活性研究[D].镇江:江苏大学, 2010.WEI H.Carboxymethylated derivative and their antioxidant activities of polysaccharides from Auricularia[D].Zhenjiang:Jiangsu University, 2010.

[44] LIU Y T, DUAN X Y, ZHANG M Y, et al.Extraction, structure characterization, carboxymethylation and antioxidant activity of acidic polysaccharides from Craterellus cornucopioides[J].Industrial Crops and Products, 2021, 159:113079.

[45] LI L Y, ZHANG F J, ZHU L, et al.Carboxymethylation modification, characterization of dandelion root polysaccharide and its effects on gel properties and microstructure of whey protein isolate[J].International Journal of Biological Macromolecules, 2023, 242:124781.

[46] 张漪静. 羧甲基化五味子多糖的制备、结构表征及其对PCB126致免疫毒性的干预研究[D].镇江:江苏大学, 2016.ZHANG L J.Studies on the preparation, characterization and intervention of immunotoxicity by PCB126 of a carboxymethylated polysaccharide from Schizandrae[D].Zhenjiang:Jiangsu University, 2016.

[47] WANG W L, LIU X Y, WANG L X, et al.Ficus carica polysaccharide extraction via ultrasound-assisted technique:Structure characterization, antioxidant, hypoglycemic and immunomodulatory activities[J].Ultrasonics Sonochemistry, 2023, 101:106680.

[48] 陈栅. 枣和酸枣多糖羧甲基化修饰工艺及活性研究[D].保定:河北农业大学, 2021.CHEN S.Carboxymethylation modification processes and activity of Jujube and wild Jujube polysaccharide[D].Baoding:Hebei Agricultural University, 2021.

[49] ZHANG Y, NIE R N, LIU W X, et al.Sulfation on polysaccharides from Zizania latifolia extracted using ultrasound:Characterization, antioxidant and anti-non-small cell lung cancer activities[J].Ultrasonics Sonochemistry, 2024, 103:106803.

[50] 江升旗, 柴雨阳, 王俊龙, 等. 磷酸化、羧甲基化修饰准噶尔山楂多糖理化性质及降糖活性[J]. 精细化工, 2025, 42(7):1564-1572; 1624.JIANG S Q, CHAI Y Y, WANG J L, et al. Physicochemical properties and hypoglycemic activity of phosphorylated and carboxymethylated Crataegus songarica K. Koch polysaccharides[J]. Fine Chemicals, 2025, 42(7):1564-1572; 1624.

[51] 田数, 邢雨晴, 李力群, 等.裙带菜多糖的提取、羧甲基化修饰及抗氧化活性研究[J].食品安全质量检测学报, 2023, 14(6):279-284.TIAN S, XING Y Q, LI L Q, et al.Extraction, carboxymethylation and antioxidant activity of Undaria pinnatifida polysaccharide[J].Journal of Food Safety &Quality, 2023, 14(6):279-284.

[52] 鞠昀珊. 皂荚多糖分级纯化表征及羧甲基化改性的研究[D].北京:北京林业大学, 2018.JU Y S.Fractional precipitation behavior, modification of carboxymethylated Gleditsia sinensis gums[D].Beijing:Beijing Forestry University, 2018.

[53] 符玉霞. 红枣多糖硫酸酯化、羧甲基化修饰及其抗氧化活性研究[D].石河子:石河子大学, 2022.FU Y X.Study on sulfaed carboxymethylation modification and antioxidant activity of Jujube polysaccharides[D].Shihezi:Shihezi University, 2022.

[54] 高丽伟. 羧甲基化纤细裸藻多糖的制备及体外消化酵解特征研究[D].济南:齐鲁工业大学, 2023.GAO L W.Preparation of carboxymethylated Euglena gracilis polysaccharide and its digestion and fermentation characteristics in vitro[D].Jinan:Qilu University of Technology, 2023.

[55] NUERXIATI R, MUTAILIPU P, ABUDUWAILI A, et al.Effects of different chemical modifications on the structure and biological activities of polysaccharides from Orchis chusua D.Don[J].Journal of Food Science, 2021, 86(6):2434-2444.

[56] FAN Y, YU L Q, ZHANG L P, et al.Preparation, characteristics, and antioxidant activities of carboxymethylated polysaccharides from Paeonia x suffruticosa petals[J].Process Biochemistry, 2023, 133:158-168.

[57] 杨燕敏, 郑振佳, 李桂芹, 等.改性红枣多糖的制备和结构表征[J].食品研究与开发, 2022, 43(9):8-14.YANG Y M, ZHENG Z J, LI G Q, et al.Preparation and structure characterization of modified Jujube polysaccharides[J].Food Research and Development, 2022, 43(9):8-14.

[58] HUANG S Y, HUANG G L.Extraction, structural analysis, and activities of rice bran polysaccharide[J].Chemical Biology &Drug Design, 2021, 98(4):631-638.

[59] LI C, LIU Y, ZHANG X, et al.A novel polysaccharide of Undaria pinnatifida:Structural characterization, carboxymethylation and hypoglycemic activity in vivo[J].Food Bioscience, 2024, 60:104479.

[60] GUO H, FENG K L, ZHOU J, et al.Carboxymethylation of Qingke β-glucans and their physicochemical properties and biological activities[J].International Journal of Biological Macromolecules, 2020, 147:200-208.

[61] WANG X M, ZHANG Z S, ZHAO M X.Carboxymethylation of polysaccharides from Tremella fuciformis for antioxidant and moisture-preserving activities[J].International Journal of Biological Macromolecules, 2015, 72:526-530.

[62] LI S J, XIONG Q P, LAI X P, et al.Molecular modification of polysaccharides and resulting bioactivities[J].Comprehensive Reviews in Food Science and Food Safety, 2016, 15(2):237-250.

[63] 刘贵珍, 杨志伟.不同取代度羧甲基化罗汉果多糖的制备及生理活性研究[J].食品工业科技, 2023, 44(13):224-232.LIU G Z, YANG Z W.Preparation and physiological activity of carboxymethylated Siraitia grosvenorii polysaccharide with different degrees of substitution[J].Science and Technology of Food Industry, 2023, 44(13):224-232.

[64] SHI M J, WEI X Y, XU J, et al.Carboxymethylated degraded polysaccharides from Enteromorpha prolifera:Preparation and in vitro antioxidant activity[J].Food Chemistry, 2017, 215:76-83.

[65] 符玉霞, 郭欣, 魏亚博, 等.红枣多糖羧甲基化修饰及其抗氧化活性研究[J].食品工业科技, 2022, 43(17):104-113.FU Y X, GUO X, WEI Y B, et al.Study on carboxymethylation modification and antioxidant activity of polysaccharides from Zizyphus jujuba[J].Science and Technology of Food Industry, 2022, 43(17):104-113.

[66] 李容, 钟兆银, 姜艳, 等.川木瓜多糖的化学修饰及其活性研究[J].右江民族医学院学报, 2018, 40(5):418-422.LI R, ZHONG Z Y, JIANG Y, et al.Study on the chemical modification and the activity of Chaenomeles speciosa polysaccharide[J].Journal of Youjiang Medical University for Nationalities, 2018, 40(5):418-422.

[67] 李灿, 张慧慧, 刘会平, 等.裙带菜多糖羧甲基化修饰及降血糖活性[J].食品研究与开发, 2024, 45(6):60-68.LI C, ZHANG H H, LIU H P, et al.Study on carboxymethylation modification and hypoglycemic activity of Undaria pinnatifida polysaccharide[J].Food Research and Development, 2024, 45(6):60-68.

[68] WANG Y F, SU N N, HOU G H, et al.Hypoglycemic and hypolipidemic effects of a polysaccharide from Lachnum YM240 and its derivatives in mice, induced by a high fat diet and low dose STZ[J].MedchemComm, 2017, 8(5):964-974.

[69] 李肖肖. 基于肠道菌群探讨羧甲基改性小麦膳食纤维对Ⅱ型糖尿病小鼠的改善作用[D].合肥:合肥工业大学, 2023.I X X.The effect of carboxymethylated wheat bran dietary fiber on type Ⅱ diabetic mice through gut microbiota[D].Hefei Polytechnic University, 2023.

[70] HUANG G L, HUANG H L.The derivatization and antitumor mechanisms of polysaccharides[J].Future Medicinal Chemistry, 2017, 9(16):1931-1938.

[71] 窦雨薇. 天麻多糖及其衍生物的结构表征及抗乳腺癌活性研究[D].保定:河北工业大学, 2022.DOU Y W.Study on structural characterization and anti-breast cancer activity of Gastrodia elata polysaccharide and its derivatives[D].Baoding:Hebei University of Technology, 2022.

[72] LI J, SHANG W T, SI X, et al.Carboxymethylation of corn bran polysaccharide and its bioactive property[J].International Journal of Food Science &Technology, 2017, 52(5):1176-1184.

[73] 藏颖, 梁钟文, 刘松, 等.化学修饰对雨生红球藻多糖体外抗肿瘤活性的影响[J].食品科技, 2024, 49(2):203-210.ZANG Y, LIANG Z W, LIU S, et al.Effect of chemical modification on anti-tumor activity of Haematococcus pluvialis polysaccharide in vitro[J].Food Science and Technology, 2024, 49(2):203-210.

[74] 牛庆川. 马齿苋多糖的羧甲基修饰及抗肿瘤活性的研究[D].南昌:江西科技师范大学, 2020.NIU Q C.Study on the carboxymethyl modification and antitumor activity of polysaccharide from natural Portulaca oleracea L.[D].Nanchang:Jiangxi Normal University of Science and Technology, 2020.

[75] 丁慧敏. 红须腹菌多糖提取、修饰、结构表征及免疫活性研究[D].南京:南京师范大学, 2021.DING H M.Extraction, modification, structural characterization, and immune activity study of polysaccharides from Streptomyces rubra[D].Nanjing:Nanjing Normal University, 2021.

[76] 刘星汶, 杨继国, 徐晓飞.羧甲基茯苓多糖的水媒法制备及其免疫活性研究[J].菌物学报, 2021, 40(6):1575-1582.LIU X W, YANG J G, XU X F.Carboxymethyl-pachymaran from the fruiting body of Poria cocos:Preparation in aqueous system and its immunomodulation activity[J].Mycosystema, 2021, 40(6):1575-1582.

[77] 赵志刚, 金丹, 黄慧丹, 等.牛蒡低聚果糖的羧甲基化修饰及对RAW264.7细胞免疫活性提升[J].精细化工,2024, 41(7):1542-1549;1624.ZHAO Z G, JIN D, HUANG H D, et al.Carboxymethylation modification of fructooligosaccharide from Burdock and its enhancement on immune activity of RAW264.7 cells[J].Fine Chemical,2024, 41(7):1542-1549;1624.

[78] 张欣. 玉米麸皮阿拉伯木聚糖超声辅助羧甲基化和乙酰化改性研究[D].长春:吉林农业大学, 2022.ZHANG X.Study on ultrasound-assisted carboxymethylation and acetylation of corn bran arabinoxylan[D].Changchun:Jilin Agricultural University, 2022.

[79] 李霞, 陈海鸥, 韩淑芳, 等.羧甲基化木聚糖的益生元作用研究[J].食品与发酵工业, 2021,47(2):45-50.LI X, CHEN H O, HAN S F, et al.The prebiotic effect of carboxymethyl xylan[J].Food and Fermentation Industries, 2021, 47(2):45-50.

[80] LI Y, YUAN Y, LEI L, et al.Carboxymethylation of polysaccharide from Morchella angusticepes Peck enhances its cholesterol-lowering activity in rats[J].Carbohydrate Polymers, 2017, 172:85-92.

[81] SONG J Y, CHEN H, WEI Y F, et al.Synthesis of carboxymethylated β-glucan from naked barley bran and its antibacterial activity and mechanism against Staphylococcus aureus[J].Carbohydrate Polymers, 2020, 242:116418.

[82] 丁雅婷, 肖琼, 翁惠芬, 等.决明胶功能性质及其在食品中的应用[J].食品与发酵工业, 2024, 50(8):374-384.DING Y T,XIAO Q, WENG H F, et al.Functional properties of cassia gum and its application in food[J].Food and Fermentation Industries,2024, 50(8):374-384.

[83] 周悦, 刘立增, 刘爱国, 等.稳定剂对冰淇淋抗融性影响的研究进展[J].食品工业科技, 2023, 44(13):440-449.ZHOU Y, LIU L Z, LIU A G, et al.Research progress of effect of stabilizer on melting resistance of ice cream[J].Science and Technology of Food Industry, 2023, 44(13):440-449.

[84] 任卫文. 基于流变学和摩擦学研究羧甲基纤维素对大豆酸奶口感的影响[D].武汉:华中农业大学, 2024.REN W W.The influence of carboxymethyl cellulose on the texture of Soy yogurt:A study based on rheology and friction analysis[D].Wuhan:Huazhong Agricultural University, 2024.

[85] 周禹池, 吴起, 熊玲, 等.魔芋葡甘聚糖羧甲基化食品增稠剂的制备及分析[J].食品科学, 2014, 35(22):1-5.ZHOU Y C, WU Q, XIONG L, et al.Preparation of carboxymethyl Konjac glucomannan for use as a food thickener[J].Food Science, 2014, 35(22):1-5.

[86] DUAN S Y, ZHAO M M, WU B Y, et al.Preparation, characteristics, and antioxidant activities of carboxymethylated polysaccharides from blackcurrant fruits[J].International Journal of Biological Macromolecules, 2020, 155:1114-1122.

[87] 李楠楠. 新型羧甲基纤维素/木薯淀粉智能活性食品包装膜的制备与性能[D].南宁:广西民族大学, 2023.LI N N.Preparation and performance of novel carboxymethyl cellulose/cassava starch intelligent active food packaging film[D].Nanning:Guangxi University for Nationalities, 2023.

[88] QIAO J F, WANG Q, LIU K Y, et al.Characterization and antioxidant and antibacterial activities of carboxymethylated tamarind seed polysaccharide composite films incorporated with ε-polylysine and their application in fresh-cut green bell pepper preservation[J].Journal of Agricultural and Food Chemistry, 2024, 72(15):8805-8816.

[89] 张蕾. 基于改性普鲁兰多糖的抑菌材料制备及应用研究[D].无锡:江南大学, 2023.ZHAMG L.Preparation and application of modified Pullulan as an antibacterial material[D].Wuxi:Jiangnan University, 2023.

[90] 梁美香, 杨可, 李康杰, 等.羧甲基化柑橘果胶的体外模拟消化及益生元作用[J].食品与发酵工业, 2024, 50(7):173-179.LIANG M X, YANG K, LI K J, et al.In vitro simulated digestion and intestinal prebiotic effect of carboxymethyl citrus pectin[J].Food and Fermentation Industries, 2024, 50(7):173-179.

[91] WANG G Z, CHEN X L, SUN C Y, et al.Gut microbiota and metabolite insights into anti-obesity effect of carboxymethyl pachymaran in high-fat diet mice[J].Journal of Functional Foods, 2023, 111:105898.

[92] RAHMAN M S, HASAN M S, NITAI A S, et al.Recent developments of carboxymethyl cellulose[J].Polymers, 2021, 13(8):1345.

[93] 苗兰宁. 沙棘多糖改性研究及其在固体饮料中的应用[D].邯郸:河北工程大学, 2023.MIAO L Y.Study on modification of Seabuckthorn polysaccharide and its application in solid beverage[D].Handan:Hebei University of Engineering, 2023.

[94] ZHANG F M, ZHENG H, ZHENG T, et al.Adsorption, in vitro digestion and human gut microbiota regulation characteristics of three Poria cocos polysaccharides[J].Food Science and Human Wellness, 2024, 13(3):1685-1697.

[95] 纪雨青. 米糠多糖羧甲基化改性及其递送花青素的应用[D].武汉:武汉轻工大学, 2024.JI Y Q.Carboxymethylation modification of rice bran polysaccharides and their application in delivering anthocyanin[D].Wuhan:Wuhan University of Light Industry, 2024.

Research progress of carboxymethylated polysaccharide and its application

ZHANG Shuting1, HUANG Kai1, XUAN Hualong1, MU Lamei1, WANG Xinling1, TANG Huali1,2*, QIU Shunli1

1(School of Biological and Food Engineering, Chongqing Three Gorges University,Chongqing 404100, China)2(Special Biological Resources Development and Utilization of Engineering Center of Northeast Chongqing, Chongqing 404100, China)

ABSTRACT Polysaccharides, serving as a pivotal constituent in life forms, exhibit diverse biological activities that are intricately tied to their structural configurations.However, their unique structural attributes pose constraints on their utilization in terms of processing and activity.Recently, the modification of natural polysaccharide structures has garnered significant research attention.Among these strategies, carboxymethylation stands out as an efficacious chemical modification approach, capable of markedly enhancing the biological activities and practical applications of polysaccharides.This review delineates the synthetic pathways and characterization methods of carboxymethylated polysaccharides, while also examining the effects of carboxymethylation on the structure and biological activities of polysaccharides, alongside its applications within the food industry and biomedical sector.The objective is to offer a theoretical framework for the research and application of carboxymethylated polysaccharides, thereby fostering advancements in the realm of polysaccharide modification.

Key words carboxymethylated modified polysaccharides; synthetic; structure; biological activity; application

第一作者:硕士研究生(唐华丽教授为通信作者,E-mail:hualidfood@163.com)

基金项目:重庆市自然科学基金面上项目(CSTB2022NSCQ-MSX1661);重庆市教委科研项目(KJQN202201216)

收稿日期:2025-01-06,改回日期:2025-03-25

DOI:10.13995/j.cnki.11-1802/ts.042057

引用格式:张舒婷,黄凯,轩华龙,等.羧甲基化修饰多糖及其应用研究进展[J].食品与发酵工业,2025,51(20):414-426.ZHANG Shuting,HUANG Kai,XUAN Hualong, et al.Research progress of carboxymethylated polysaccharide and its application[J].Food and Fermentation Industries,2025,51(20):414-426.