果糖基转移酶原位合成低聚果糖及其对酸奶品质的影响

李树森1,2,苗妙1,刘巨龙2,杨绍青1,孙二娜2,江正强1*

1(中国农业大学 食品科学与营养工程学院,北京,100083)2(蒙牛高科乳制品(北京)有限责任公司,北京,101100)

摘 要 酶法原位合成技术可将食品原料在加工过程中转化为高附加值的功能性成分。该文旨在探究黑曲霉来源果糖基转移酶(fructosyltransferase from Aspergillus niger,AnFTase70)在酸奶加工中原位合成低聚果糖(fructo-oligosaccharides,FOS)及其对酸奶品质的影响,为酸奶的减糖和益生元酸奶的生产提供思路。采用单因素试验优化了AnFTase70在酸奶加工中的应用条件;探究了不同蔗糖添加量对原位酸奶的碳水化合物组分、感官品质、质构特性和微观结构的影响;采用体外纯培养探究了原位酸奶的益生活性;并对酸奶保质期内品质进行监测。结果表明,AnFTase70能够在酸奶加工中以蔗糖为底物原位合成蔗果三糖和蔗果四糖。牛奶中蔗糖添加量为125 g/L时,配料阶段(45 ℃、1 h)加10 U/mL AnFTase70,原位合成的FOS含量为49.7 g/L。该条件下的原位酸奶感官评分最高,且胶着性和咀嚼性显著高于对照组。扫描电镜结果表明,随着蔗糖添加量的增加,FOS不断积累导致酸奶网络结构变得更为紧密和牢固。与对照酸奶相比,原位酸奶能显著促进嗜酸乳杆菌B-4495、两歧双歧杆菌B-41410和动物双歧杆菌BB-12在体外纯培养中的增殖。贮藏期内,原位酸奶的pH和酸度保持稳定;活菌数和保水性比对照组分别提高35%和24%。该研究结果为果糖基转移酶在乳制品加工中的应用提供了理论依据和数据支持。

关键词 果糖基转移酶;酸奶;原位合成;低聚果糖;品质

果糖基转移酶(fructosyltransferase,FTase,EC 2.4.1.9)是一种具有水解和转糖苷双重性质的转移酶,可用于生产低聚果糖(fructo-oligosaccharides,FOS)[1]。FTase广泛存在于微生物和高等植物中,植物来源的FTase催化活性和FOS产率较低,而微生物来源的FTase催化活性高且酶学性质优良,更具有工业生产意义[2]。真菌和细菌是FTase的微生物主要来源。细菌来源如节杆菌(Arthrobacter sp.)、罗伊氏乳杆菌(Lactobacillus reuteri)等[1]。真菌来源包括黑曲霉(Aspergillus niger)、米曲霉(Aspergillus oryzae)和出芽短梗霉(Aureobasidium pullulans)等[3]。FTase可以将蔗糖底物水解为果糖基和葡萄糖,形成果糖基—酶中间体,通过转果糖基合成FOS[4]。底物浓度是影响FOS合成的重要因素之一,在低底物质量浓度下(<20 g/L),大部分FTase主要表现出水解活性,将蔗糖酶解成葡萄糖和果糖[2,4]。因此,工业上多采用高质量浓度蔗糖(>300 g/L)作为底物催化生产FOS。食品中的蔗糖含量相对较低,因此限制了FTase在食品中的应用。黑曲霉来源的FTase(fructosyltransferase from Aspergillus niger,AnFTase70)具有良好的稳定性,在55 ℃以下相对酶活高于80%,在pH 4.0~10.0内相对酶活高于60%[5]

FOS是一种重要的功能性低聚糖,也属于益生元和膳食纤维,其分子通式为GFn(n=2,3,4,G为葡萄糖,F为果糖)[6]。FOS能够调节肠道菌群、促进人体矿物质吸收、预防龋齿和降血脂等[1,6]。FOS不仅赋予乳制品更强的功能性,还能够改善乳品品质[7]。研究表明FOS使酸奶形成更为稳定的凝胶体系,提高酸奶的结构特性[8];FOS显著增加益生菌冰淇淋的活菌数、提高膨胀率和感官评分[9];FOS显著提高奶酪中益生菌的活菌数及益生菌的抗消化性[3]。FOS通常作为一种功能性配料应用于乳制品加工。尚未见FTase在乳品中原位合成 FOS 的研究[7]

近年来,酶法原位合成技术越来越多地应用于食品中,可将低价值的原料在食品加工过程中转化为高附加值的功能性成分,具有低成本、绿色环保和条件可控的优势[10]。FTase应用于果汁和果酱等食品的生产,不仅降低了蔗糖含量,还能够原位合成FOS[11]A.niger来源FTase在胡萝卜汁中FOS的产率为31.6%,生产得到的益生元果汁中FOS终浓度为32.4 mg/mL[9]。程永霞等[12]使用FTase和葡萄糖氧化酶将龙眼汁中FOS含量从31 g/L提高至58 g/L。蔗糖和乳糖是酸奶中含量最高的碳水化合物,酸奶的减糖受到广泛关注[13]。一些研究使用乳糖酶将乳糖原位转化为低聚半乳糖,但尚未有FTase在酸奶中应用的研究[14]。酸奶是益生元良好的食品载体,因此FTase在酸奶中具有较大应用潜力[8]。本研究优化了黑曲霉来源FTase在酸奶加工中以蔗糖为底物合成FOS的酶解条件。探究了不同蔗糖添加量对原位FOS酸奶的碳水化合物组分、感官品质、质构特性和微观结构的影响。测定了贮藏期内原位FOS酸奶的pH、酸度、保水性和活菌数。

1 材料与方法

1.1 材料与试剂

黑曲霉来源果糖基转移酶AnFTase70,由本实验室提供[15];纯牛奶,蒙牛高科乳制品(北京)有限责任公司;酸奶发酵剂Premium1.0,丹麦科汉森(北京)贸易有限公司;NaOH、酚酞、蔗糖、乳糖、葡萄糖、果糖和半乳糖等试剂(分析纯)、乙酸、正丁醇、乙腈(色谱纯),德国Meker公司;GF254薄层色谱硅胶,青岛海洋化工厂。嗜酸乳杆菌 NRRL B-4495、棒状乳杆菌 NRRL B-4391、保加利亚乳杆菌 NRRL B-548、干酪乳杆菌 NRRL B-1922、德氏乳杆菌保加利亚亚种NRRL B-1924、德氏乳杆菌乳保加利亚亚种AS 1.2132、干酪乳酪杆菌AS 1.62、罗伊氏乳杆菌 ATCC 23272、鼠李糖乳杆菌 AS 1.2466、长双歧杆菌婴儿亚种 NRRL B-41661、动物双歧杆菌乳亚种 BB-12、长双歧杆菌长亚种 NRRIB-41409、短双歧杆菌 NRRL B-41408、两歧双歧杆菌NRRL B-41410和青春双歧杆菌 ATCC 15703,由本实验室提供。

1.2 仪器与设备

TG16W型高速离心机,德国Sigma公司;PB-10型pH计,德国Sartorius公司;1260 Infinity Ⅲ高效液相色谱配有示差检测器及Xcalibur1.2数据处理系统,美国Waters公司;酸奶机,河南西凡电器有限公司;SU8020扫描电子显微镜,日本日立公司;CT3物性分析仪,美国 Brookfield公司。

1.3 实验方法

1.3.1 酸奶的加工方法

普通酸奶:牛奶中加入75 g/L蔗糖置于45 ℃搅拌20 min至物料充分溶解。随后将物料升温至55~65 ℃,进行均质(总均质压力为160~200 bar),而后将物料置于95 ℃水浴锅中杀菌、灭酶。待物料冷却至42 ℃,接入酸奶发酵剂(100 μL/kg)。物料于42 ℃恒温箱发酵至pH 4.6后终止发酵。搅拌器(300 r/min)充分破乳2 min,随后快速冷却至20 ℃。最后,将酸奶置于4 ℃冰箱后熟16 h[16]。原位酸奶:配料阶段在蔗糖溶解同时加入AnFTase70,其他生产工艺与普通酸奶相同。

1.3.2 AnFTase70原位转化蔗糖条件优化

AnFTase70的转糖苷反应在牛奶的物料溶解单元进行,探讨该过程的蔗糖浓度、加酶量和酶解时间对AnFTase70原位合成FOS的影响。其中蔗糖质量浓度为50、75、100、125、150 g/L;加酶量为5、10、20、30 U/mL;酶解时间为0、15、30、45、60、90 min。反应结束后取样煮沸5 min灭酶,适当稀释样品后进行定性定量分析[17]。每个单因素试验重复3次,取平均值。

薄层层析(thin layer chromatography,TLC)法定性分析转糖苷产物,样品于TLC板上展层2次,用显色剂完全浸湿吹干后在170 ℃显色。展层剂为V(正丁醇)∶V(乙醇)∶V(水)=5∶3∶2,显色剂为V(硫酸)∶V(甲醇)=5∶95的溶液。

HPLC定量分析水解产物:色谱柱为氨基柱(Benson Polymeric,Reno,NE,USA),流动相为72%乙腈,进样量10 μL,流速0.6 mL/min,柱温45 ℃,检测器为示差折光检测器,标准品为葡萄糖、果糖、蔗糖、蔗果三糖、蔗果四糖和蔗果五糖的混合溶液(各组分终质量浓度为1 mg/mL)。

1.3.3 酸奶的感官评价

选取9位经过训练的食品专业学生,从色泽、质地、香气、酸度、甜度和口感6个方面对酸奶进行感官评价。感官评价采用9分制,以1分为最差、9分为最优[18]。酸奶样品感官评分标准见表1。

表1 酸奶样品感官评分标准

Table 1 Sensory scoring criteria for yogurt samples

评价指标评分标准分值色泽呈乳白色或稍带黄色 色泽均匀一致7~9呈微黄色 色泽不均匀4~6颜色异常 出现深黄或灰暗的颜色1~3质地均匀、细腻、稠密7~9质地不均、有颗粒感 较为稠密4~6质地稀薄 颗粒感明显1~3香气奶香浓郁 有乳酸菌发酵后香气7~9奶香气较弱 稍有奶腥味或酶液味4~6有微生物发酵不良气味1~3

续表1

评价指标评分标准分值酸甜度酸味、甜味适中 酸甜度平衡7~9过酸、过甜 酸感弱、甜感弱4~6酸甜失衡 有涩味、苦味等其他不良滋味1~3口感口感细腻、爽滑7~9口感略粗糙 不顺滑4~6口感粗糙 有颗粒感1~3

1.3.4 酸奶的质构特性和微观结构

参考孙鹏伟等[19]的方法并稍作修改,使用质构仪进行TPA质构分析。探头为TA4/1000、夹具为TA AVJ、触发点负载为0.050 N、测试速度1.00 mm/s、返回速度1.0 mm/s、循环次数2次。

使用高真空扫描电子显微镜观察其显微结构。参考刘立鹏等[20]的方法将酸奶样品冷冻干燥,用真空蒸发器喷金。

1.3.5 益生活性的测定

在37 ℃厌氧条件下,将9株乳酸杆菌和6株双歧杆菌在MRS液体培养基中活化并传代3次,离心第三代菌液(10 000 r/min,10 min),收集菌体,并用PBS洗涤菌体。将菌体重新溶解在无糖MRS培养基中,阴性对照为不含葡萄糖的MRS基础液体培养基,普通酸奶和原位酸奶离心取上清液,稀释至碳水化合物质量浓度为20 g/L。益生菌的培养在96孔板中进行,每孔加入100 μL稀释后菌液和100 μL稀释后样品。采用比浊法在595 nm下测定菌体生长量,培养液接种后的初始浊度(OD595)为0.05,37 ℃厌氧静置培养24 h后测定菌体生长量。

1.3.6 酸奶贮藏期内品质变化

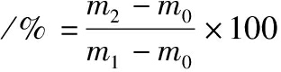
参考张丽静等[21]的方法并稍作修改,取4 ℃冷藏1、7、14、28 d的酸奶进行持水力测定。称量空离心管的质量m0,再取适量待测样于离心管中,称量总质量m1,3 000 r/min离心10 min,弃上清液,倒置10 min后称量总质量m2,按公式(1)计算持水力。

持水力

(1)

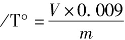
酸奶的pH用pH计测定。酸度按照GB 5009.239—2016《食品安全国家标准 食品酸度的测定》进行测定,准确称取10.00 g(m)酸奶于150 mL锥形瓶中,加入20 mL蒸馏水充分混匀,滴加1 mL酚酞指示剂。用0.1 mol/mL的NaOH滴定溶液至呈淡粉色且30 s内不褪色。记录NaOH溶液消耗量V,按照公式(2)计算各组酸奶样品滴定酸度。

滴定酸度

(2)

酸奶中乳酸菌总数采用稀释平板计数法测定。取1 mL酸奶样品于9 mL无菌生理盐水中,进行十倍系列稀释,并选取稀释倍数为10-5、10-6和10-7浓度的稀释液,涂布于MRS琼脂培养基上,37 ℃培养48 h后计数。

1.4 数据处理

所有样品测定均重复3次,结果以“平均值±标准差”表示,采用SPSS 25.0软件进行数据统计分析,样本比较采用单因素方差分析(One-way ANOVA),然后进一步用Duncan多重比较法进行显著性分析,P<0.05则具有显著性差异,使用GraphPad Prism 5.0软件[5]

2 结果与讨论

2.1 AnFTase70转化蔗糖条件优化

在物料溶解单元添加AnFTase70原位生产FOS酸奶,对该环节的蔗糖底物质量浓度、反应时间和加酶量进行优化。如图1-a所示,M为标准品;CK为不加AnFTase70的普通酸奶;其余为蔗糖添加量50、75、100、125、150 g/L的原位酸奶,AnFTase70以加入的蔗糖为底物,原位合成蔗果三糖和少量蔗果四糖。如图1-b所示,FOS含量和剩余蔗糖量增加随着蔗糖浓度的提高而提高。在125 g/L的蔗糖浓度下,牛奶中FOS含量达41.2 g/L。如图1-c所示,AnFTase70能够快速合成FOS,酶解0.5 h后FOS含量达33.2 g/L,在1.0 h达到最高含量45.0 g/L,在反应时间0.75~2 h内FOS合成量保持稳定。由图1-d可知,FOS的合成量随着加酶量的增加呈现先提高后降低的趋势。加酶量为10 U/mL时,FOS合成量最高为51.1 g/L。综上,在125 g/L蔗糖和10 U/mL AnFTase70加酶量下,物料溶解温度45 ℃、反应时间1 h时,原位酸奶中FOS含量最高达47.9 g/L。

a-TLC分析;b-底物质量浓度;c-酶解时间;d-加酶量

图1 转糖苷产物TLC分析及酶解条件对FOS合成量和蔗糖剩余量的影响

Fig.1 TLC analysis of transglycosylation products and effects of enzymatic conditions on the FOS synthesis and residual sucrose by AnFTase70

底物质量浓度是影响FOS合成的关键因素,高蔗糖浓度有利于FOS的合成,而当蔗糖浓度较低时,AnFTase70则主要表现出水解活性[22]。食品加工中的蔗糖浓度相对较低,不利于FOS的合成[2]。潘莹等[23]以制糖业的加工副产品糖蜜为原料(蔗糖含量330 g/L),优化条件下FOS的转化率为45%。GUERRA等[24]使用浓缩胡萝卜汁(蔗糖含量400 g/L)原位生产FOS果汁,FOS转化率为39.8%。本研究中的AnFTase70在低底物质量浓度下(50~150 g/L),FOS转化率为25%~50%,在面包中FOS合成量可达3.3 g/100 g,该酶在食品加工中具有应用价值[25]

2.2 原位酸奶的碳水化合物组成和感官评价

由表2可知,原位酸奶中蔗糖含量为1.1~12.3 g/L,显著低于对照组的75 g/L。与对照组相比,原位酸奶的FOS、葡萄糖和果糖含量显著提高。蔗糖添加量为125 g/L时,酸奶中FOS含量为49.7 g/L、蔗糖含量为4.8 g/L。不同蔗糖添加量对酸奶感官品质的影响见图3,AnFTase70对原位酸奶的酸度、甜度影响最显著,蔗糖的酶解显著降低了酸奶的甜度。随着蔗糖添加量的提高,酸度评分先呈现逐渐降低的趋势;甜度逐渐增强。蔗糖添加量过高导致酸味弱,发酵风味不明显(图2)。在125 g/L的蔗糖添加量下,原位酸奶的酸度、甜度评分与对照组无显著差异。当蔗糖添加量达150 g/L时,酸奶甜度过强、酸味弱,感官评分降低。在口感和质地方面,100~125 g/L蔗糖添加量获得了更高的评分。AnFTase70对原位酸奶的色泽和香气无明显影响。

图2 不同蔗糖添加量对原位酸奶感官评分的影响

Fig.2 Effect of sucrose amounts on sensory scores of in-situ yogurts

a-对照组;b-75 g/L蔗糖;c-100 g/L蔗糖;d-125 g/L蔗糖;e-150 g/L蔗糖

图3 不同蔗糖添加量下原位酸奶的扫描电镜图

Fig.3 Electron scanning micrograph of in-situ yogurt samples with different amounts of sucrose

表2 不同蔗糖添加量下原位酸奶的碳水化合物组成 单位:g/L

Table 2 Effect of sucrose amounts on carbohydrate composition of in-situ yogurts

组别蔗糖乳糖葡萄糖半乳糖果糖FOS对照组75.7±2.0e38.9±0.7a5.4±0.3a4.1±0.3b1.4±0.3aNDa75-AnFTase701.1±0.2a39.1±0.3a37.5±1.4bNDa21.8±0.4b29.1±1.7b100-AnFTase702.5±0.8b39.8±1.2a4.07±1.1cNDa26.0±0.3c40.5±3.3c125-AnFTase704.8±0.4c45.6±0.5b62.0±0.9dNDa29.8±0.1cd49.7±1.9d150-AnFTase7012.3±1.0d47.0±1.4c81.6±2.0eNDa34.4±0.3d56.7±2.2e

注:对照组蔗糖添加量为75 g/L且不添加AnFTase70,其余分别代表蔗糖添加量为75、100、125、150 g/L的原位酸奶。每列不同字母表示差异显著(P<0.05),ND表示含量低于1 g/L。

随着蔗糖添加量的提高,原位酸奶中的乳糖含量显著增加。这可能是由于乳酸菌在发酵过程中优选利用了部分葡萄糖,降低了对乳糖的消耗[26]。蔗糖添加量为100~125 g/L时,原位酸奶口感更醇厚,可能是由于AnFTase70原位合成的FOS与酪蛋白形成了更稳定的网络结构,提高了原位酸奶的凝胶强度[27]

2.3 原位酸奶的质构特性和微观结构

如表3所示,原位酸奶的胶着性和咀嚼性随蔗糖添加量的增大呈现先提高后降低的趋势。当蔗糖添加量为125 g/L时,原位酸奶的胶着性和咀嚼性最高,分别为35.0 g和6.4 mJ。当蔗糖添加量为75 g/L时,原位酸奶的硬度为50.3 g显著高于对照组的44.1 g;黏性从1.2 mJ提高至2.4 mJ。随着蔗糖添加量的提高,原位酸奶硬度和黏性逐渐降低。蔗糖添加量对原位酸奶的内聚性和弹性无显著影响。不同蔗糖添加量的原位酸奶的扫描电镜图如图3所示。从图3-a可以观察到对照组酸奶中存在面积较大的空隙和空洞。图3-b~图3-e分别为蔗糖添加量为75、100、125、150 g/L的原位酸奶,AnFTase70合成的FOS填充了酪蛋白网络结构内部的空隙,或是附着在网络结构外部。当蔗糖添加量为75 g/L时(图3-b),原位酸奶的结构中可以观察到与对照组类似较多空洞的酪蛋白结构。当蔗糖添加量为100 g/L时(图3-c),凝胶表面的孔隙数量随着FOS的增加而明显减少,形成了更加规整平滑的表面形态。当蔗糖添加量>125 g/L时,凝胶表面平整光滑,网络结构紧密,基本无空隙。

表3 不同蔗糖添加量对原位酸奶质构特性的影响

Table 3 Effect of sucrose amounts on textural properties of in-situ yogurts

组别硬度/g黏性/mJ内聚性/g弹性/mm胶着性/g咀嚼性/mJ对照组44.1±2.9b1.2±0.1a0.72±0.01b17.7±0.2ab31.7±1.9b5.5±0.3b75-AnFTase7050.3±1.8c2.4±0.1b0.57±0.05a16.8±0.2a28.7±0.4a4.7±0.0a100-AnFTase7042.0±1.1b0.9±0.2a0.82±0.02b18.4±1.2b33.6±0.7bc6.2±1.8c125-AnFTase7041.6±0.2b0.9±0.3a0.82±0.01b18.4±1.0b35.0±1.6c6.4±1.8c150-AnFTase7038.9±0.7a0.8±0.2a0.82±0.01b18.6±0.9b32.1±2.5bc5.9±1.5b

在蔗糖添加量为125 g/L时,酸奶胶着性显著提高,可能是由于益生元的高保水能力降低了蛋白质基质的流动性,增加了产品的稠度[7]。随着蔗糖添加量的提高,原位酸奶的硬度呈现下降的趋势。可能是由于FOS提高了酸奶的流动指数,从而赋予酸奶更润滑的特性,导致硬度下降[20,27]。原位酸奶中的网络结构变得更为紧密和牢固,逐渐形成致密连续的空间结构[27]。研究表明FOS与酪蛋白胶粒表现出一定程度的附着关系,导致原位酸奶的微观网状结构形态较为紧密,其中酪蛋白胶粒之间的间隙较小[27]

2.4 原位酸奶对益生菌的增殖作用

乳杆菌和双歧杆菌纯培养24 h后的生物量(OD595)如表4和表5所示。相比于普通酸奶,原位酸奶显著促进了嗜酸乳杆菌B-4495、两歧双歧杆菌B-41410和动物双歧杆菌BB-12的增殖。其中,原位酸奶组的两歧双歧杆菌B-41410的生长量OD595值为0.28,显著高于普通酸奶的0.19;原位酸奶组的动物双歧杆菌BB-12生长量OD595值为0.39,显著高于普通酸奶的0.27。

表4 原位酸奶对9株乳杆菌纯培养生长量(OD595)的影响

Table 4 Bacterial growth (OD595) of Lactobacillus strains in MRS supplemented with yogurts supernatant

样品罗伊氏乳杆菌德氏乳杆菌保加利亚亚种棒状乳杆菌德氏乳杆菌保加利亚亚种短乳杆菌嗜酸乳杆菌鼠李糖乳杆菌干酪乳酪杆菌干酪乳酪杆菌CICC61321.2625B-4391B-548B-4527B-44951.24461.261922空白0.17±0.05a0.21±0.01a0.19±0.02a0.13±0.01a0.13±0.04a0.20±0.04a0.21±0.02a0.22±0.01a0.18±0.01a普通酸奶0.39±0.01b0.42±0.09b0.30±0.08b0.36±0.02b0.41±0.01b0.43±0.01c0.51±0.06b0.52±0.07b0.49±0.02b原位酸奶0.41±0.03b0.39±0.08b0.31±0.05b0.32±0.02b0.57±0.04b0.39±0.01b0.40±0.07b0.51±0.04b0.46±0.03b

表5 原位酸奶对6株双歧杆菌纯培养生长量(OD595)的影响

Table 5 Bacterial growth (OD595) of Bifidobacterium strains in MRS supplemented with yogurts supernatant

样品短双歧杆菌B-41408长双歧杆菌婴儿亚种B-41661两歧双歧杆菌B-41410长双歧杆菌长亚种B-41409动物双歧杆菌乳亚种BB-12青春双歧杆菌ATCC15703空白0.21±0.01a0.19±0.02a0.12±0.05a0.18±0.01a0.14±0.04a0.26±0.01a普通酸奶0.49±0.05b0.26±0.02b0.19±0.02b0.40±0.02b0.27±0.01b0.37±0.02b原位酸奶0.46±0.04b0.28±0.06b0.28±0.03c0.42±0.05b0.39±0.02c0.34±0.01b

2.5 贮藏期内原位酸奶品质变化

选择蔗糖添加量为125 g/L的原位酸奶,对其pH、酸度、保水性和活菌数进行保质期品质的监测。如图4-a和图4-b所示,原位酸奶组的pH在贮藏28 d时为pH 4.08,酸度为93.5 °T。2组酸奶的滴定酸度保持在100 °T以下,保质期内的酸化速度属正常范围。在保水性方面(图4-c),贮藏1 d时,原位酸奶的保水性为51.3%,显著高于对照组的42.9%;贮藏28 d时,原位酸奶的保水性为44.4%,显著高于对照组的35.8%。在活菌数方面,贮藏1 d时,原位酸奶的活菌数为8.6 lg CFU/g,显著高于对照组的8.14 lg CFU/g;贮藏28 d时,原位酸奶的活菌数为8.08 lg CFU/g,显著高于对照组的7.95 lg CFU/g。

a-pH;b-酸度;c-保水性;d-活菌数

图4 贮藏期内原位酸奶的品质变化

Fig.4 Quality change of in-situ yogurts during storage

贮藏期内原位酸奶活菌数和酸度均高于对照组,可能是由于AnFTase70转糖苷产物FOS和葡萄糖等促进乳酸菌的生长和产酸[26]。原位酸奶活菌数随贮藏天数的增加呈现逐渐下降的趋势,而对照组呈现先增加后降低的趋势。这可能是由于原位酸奶更酸的环境,加速了贮藏期内酸奶活菌数的降低,但原位酸奶的总活菌数仍显著高于对照组[26]。原位酸奶的保水性在贮藏期内显著高于对照组,这可能是高含量的FOS所致。低聚糖与提高酸奶的持水性密切相关,低聚糖能够提高酸奶中酪蛋白凝胶空间结构束缚的水分,从而提高酸奶持水性[27]

3 结论

AnFTase70在酸奶加工过程中将蔗糖(125 g/L)原位转化为FOS,含量达49.7 g/L。原位酸奶的感官评分和质构特性显著提升。原位合成的FOS使得原位酸奶的网络结构变得更为紧密和牢固,增强了酸奶益生活性。原位酸奶保质期内品质稳定,活菌数和保水性显著高于对照酸奶。本研究结果为FTase在乳制品中的应用提供了理论依据,为酸奶的减糖和益生元酸奶的生产提供了思路。

参考文献

[1] BALI V,PANESAR P S,BERA M B,et al.Fructo-oligosaccharides:Production,purification and potential applications[J].Critical Reviews in Food Science and Nutrition,2015,55(11):1475-1490.

[2] RADOSAVLJEVI M,BELOVI M,CVETANOVI KLJAKI A,et al.Production,modification and degradation of fructans and fructooligosacharides by enzymes originated from plants[J].International Journal of Biological Macromolecules,2024,269:131668.

[3] HANLON M,CHOI J,GODDIK L,et al.Microbial and chemical composition of Cheddar cheese supplemented with prebiotics from pasteurized milk to aging[J].Journal of Dairy Science,2022,105(3):2058-2068.

[4] 周明炀,曾美端,成立文,等.1株真菌果糖基转移酶高产菌的筛选、鉴定及其酶学特性的研究[J].食品与发酵科技,2023,59(3):30-35.ZHOU M Y,ZENG M D,CHENG L W,et al.Studies on screening,identification and enzymatic properties of a fungal strain producing fructosyltransferase[J].Food and Fermentation Science &Technology,2023,59(3):30-35.

[5] 王一恬,张玲,沈微,等.果糖基转移酶在酿酒酵母中异源表达及酶学性质分析[J].食品与发酵工业,2015,41(6):24-28.WANG Y T,ZHANG L,SHEN W,et al.Heterologous expression and biochemical characterization of fructosyltransferase from Aspergillus niger in Saccharomyces cerevisiae[J].Food and Fermentation Industries,2015,41(6):24-28.

[6] 杨成,史润东东,姜欣,等.常见功能性低聚糖的应用研究进展及安全性分析[J].食品与生物技术学报,2020,39(11):1-11.YANG C,SHI R D D,JIANG X,et al.Progress in application and safety analysis of common functional oligosaccharides[J].Journal of Food Science and Biotechnology,2020,39(11):1-11.

[7] COSTA M F,PIMENTEL T C,GUIMARAES J T,et al.Impact of prebiotics on the rheological characteristics and volatile compounds of Greek yogurt[J].LWT,2019,105:371-376.

[8] PACHEKREPAPOL U,SOMBOONCHAI N,KRIMJAI W.Physicochemical,rheological,and microbiological properties of lactose-free functional yogurt supplemented with fructooligosaccharides[J].Journal of Food Processing and Preservation,2021,45(1):e15017.

[9] AHMADI A,MILANI E,MADADLOU A,et al.Synbiotic yogurt-ice cream produced via incorporation of microencapsulated Lactobacillus acidophilus (la-5) and fructooligosaccharide[J].Journal of Food Science and Technology,2014,51(8):1568-1574.

[10] CHENG Y X,LAN H B,ZHAO L,et al.Characterization and prebiotic potential of Longan juice obtained by enzymatic conversion of constituent sucrose into fructo-oligosaccharides[J].Molecules,2018,23(10):2596.

[11] VELJKOVI M,BANJANAC K,MILIVOJEVI A,et al.Production of prebiotic enriched maple syrup through enzymatic conversion of sucrose into fructo-oligosaccharides[J].Food Chemistry,2024,449:139180.

[12] 程永霞,张羽萱,马燕,等.双酶协同转化龙眼汁中蔗糖生成低聚果糖研究[J].食品安全质量检测学报,2024,15(7):269-275.CHENG Y X,ZHANG Y X,MA Y,et al.Study on co-conversion of sucrose in Longan juice to fructooligosaccharides by two enzymes[J].Journal of Food Safety &Quality,2024,15(7):269-275.

[13] WAN Z F,KHUBBER S,DWIVEDI M,et al.Strategies for lowering the added sugar in yogurts[J].Food Chemistry,2021,344:128573.

[14] VÉNICA C I,BERGAMINI C V,REBECHI S R,et al.Galacto-oligosaccharides formation during manufacture of different varieties of yogurt.Stability through storage[J].LWT,2015,63(1):198-205.

[15] 江正强,韩苏苏,郑建立,等.一种黑曲霉来源果糖基转移酶的高效制备与应用:中国,CN118667844A[P].2024-09-20.JIANG Z Q,HAN S S,ZHENG J L,et al.Efficient preparation and application of fructosyltransferase derived from Aspergillus niger:China,CN118667844A[P].2024-09-20.

[16] 李树森,牛天娇,康小红,等.乳双歧杆菌MN-Gup在发酵乳中的应用及其对血糖的改善作用[J].中国乳品工业,2024,52(1):22-27;52.LI S S,NIU T J,KANG X H,et al.Application of Bifidobacterium lactis MN-Gup in yogurt and its repairing effect on blood glucose[J].China Dairy Industry,2024,52(1):22-27;52.

[17] 向芷璇,关乐颖,李敬,等.多粘类芽孢杆菌适冷性新型β-半乳糖苷酶的重组表达和酶学性质[J].食品工业科技,2023,44(22):125-133.XIANG Z X,GUAN L Y,LI J,et al.Recombinant expression and characterization of a novel cold adapted β-galactosidase from Paenibacillus polymyxa[J].Science and Technology of Food Industry,2023,44(22):125-133.

[18] 石玉琴,杨绍青,李延啸,等.瓜尔豆胶对乳酸菌增殖及酸奶品质的影响[J].食品与生物技术学报,2019,38(1):29-35.SHI Y Q,YANG S Q,LI Y X,et al.Effect of guar gum on the growth of lactic acid bacteria and the quality of yogurt[J].Journal of Food Science and Biotechnology,2019,38(1):29-35.

[19] 孙鹏伟,刘娅妮,李然,等.不同添加量的双孢蘑菇粉对酸奶流变学和质构特性的影响[J].食品工业科技,2024,45(9):54-61.SUN P W,LIU Y N,LI R,et al.Effects of different addition of Agaricus bisporus powders on rheological and textural properties of yogurt[J].Science and Technology of Food Industry,2024,45(9):54-61.

[20] 刘立鹏,李雪晴,李红娟,等.脱脂乳的不同热处理工艺对酸奶质构和微观结构的影响[J].食品与发酵工业,2017,43(3):26-30.LIU L P,LI X Q,LI H J,et al.Effect of different heat treatment processes of skim milk on texture and microstructure of yogurt[J].Food and Fermentation Industries,2017,43(3):26-30.

[21] 张丽静,华欲飞,张彩猛,等.蛋白质含量对搅拌型大豆酸奶质构、流变特性和微观结构的影响[J].食品工业科技,2024,45(24):118-124.ZHANG L J,HUA Y F,ZHANG C M,et al.Effects of protein content on the texture,rheological properties and microstructure of stirred soy yogurt[J].Science and Technology of Food Industry,2024,45(24):118-124.

[22] BELMONTE-IZQUIERDO Y,SALOMÉ-ABARCA L F,GONZLEZ-HERNNDEZ J C,et al.Fructooligosaccharides (FOS) production by microorganisms with fructosyltransferase activity[J].Fermentation,2023,9(11):968.

[23] 潘莹,甄远航,徐光辉,等.以糖蜜为原料利用双酶法制备低聚果糖[J].食品与生物技术学报,2021,40(9):50-55.PAN Y,ZHEN Y H,XU G H,et al.Studies of dual-enzymatic preparation for fructo-oligosaccharides with molasses[J].Journal of Food Science and Biotechnology,2021,40(9):50-55.

[24] GUERRA L,URETA M,ROMANINI D,et al.Enzymatic synthesis of fructooligosaccharides:From carrot discards to prebiotic juice[J].Food Research International,2023,170:112991.

[25] HAN S S,LIU H,LI S S,et al.High level production of a β-fructofuranosidase in Aspergillus niger for the preperation of prebiotic bread using in situ enzymatic conversion[J].Food Research International,2025,208:116225.

[26] YAMAMOTO E,WATANABE R,ICHIMURA T,et al.Effect of lactose hydrolysis on the milk-fermenting properties of Lactobacillus delbrueckii ssp.bulgaricus 2038 and Streptococcus thermophilus 1131[J].Journal of Dairy Science,2021,104(2):1454-1464.

[27] 赵晓,杜琨,张媛.菊粉对合生元酸奶质构、流变学特性和微观结构的影响[J].食品工业科技,2023,44(1):72-77.ZHAO X,DU K,ZHANG Y.Effect of inulin on the texture,rheological properties,and microstructure of synbiotic yogurt[J].Science and Technology of Food Industry,2023,44(1):72-77.

In-situ synthesis of fructo-oligosaccharides by fucosyltransferase and its effect on yogurt quality

LI Shusen1,2,MIAO Miao1,LIU Julong2,YANG Shaoqing1,SUN Erna2,JIANG Zhengqiang1*

1(College of Food Science and Nutritional Engineering,China Agricultural University,Beijing 100083,China)2(Mengniu Hi-tech Dairy Product Beijing Co.Ltd.,Beijing 101100,China)

ABSTRACT In-situ synthesis technique by enzyme can convert food materials into high-value functional products during food processing.This study investigated in-situ synthesis of fructo-oligosaccharides (fructo-oligosaccharides,FOS) in yogurt using an Aspergillus niger-derived fructosyltransferase (fructosyltransferase from Aspergillus niger,AnFTase70) and evaluated its impact on yogurt quality.Application conditions for AnFTase70 were optimized via single-factor experiments.Effects of sucrose amount (0-125 g/L) on carbohydrate composition,sensory properties,texture,and microstructure were analyzed.Probiotic activity of the yogurt was assessed using in pure cultures.Yogurt quality was monitored during storage.Results demonstrated that AnFTase70 synthesized 1-kestose and nystose from sucrose during yogurt processing.At 125 g/L sucrose amount,49.7 g/L FOS content was produced by 10 U/mL AnFTase70 (45 ℃,1 h) achieved.This formulation yielded the highest sensory score,with cohesiveness and chewiness significantly higher than those of control.Scanning electron microscopy revealed denser yogurt networks as FOS accumulated with higher sucrose levels.Compared with control yogurt,in-situ yogurt can significantly promote the proliferation of Lactobacillus acidophilus B-4495,Bifidobacterium bifidum B-41410 and Bifidobacterium animalis BB-12 in vitro pure culture.During yogurt storage,pH and acidity remained stable,and viable bacterial counts and water-holding capacity increased by 35% and 24%,respectively.These findings provide theoretical and practical insights for applying fructosyltransferases in sugar-reduced,prebiotic-enriched dairy products.

Key words fucosyltransferase;yogurt;in-situ synthesis;fructo-oligosaccharide;quality

DOI:10.13995/j.cnki.11-1802/ts.041934

引用格式:李树森,苗妙,刘巨龙,等.果糖基转移酶原位合成低聚果糖及其对酸奶品质的影响[J].食品与发酵工业,2025,51(23):164-171.LI Shusen,MIAO Miao,LIU Julong,et al.In-situ synthesis of fructo-oligosaccharides by fucosyltransferase and its effect on yogurt quality[J].Food and Fermentation Industries,2025,51(23):164-171.

第一作者:博士研究生(江正强教授为通信作者,E-mail:zhqjiang@cau.edu.cn)

基金项目:国家重点研发计划项目(2022YFC2104900)

收稿日期:2024-12-24,改回日期:2025-04-10