牛蒡多糖-蛋白复合可食用膜在河豚肉保鲜中的研究

刘浩明1,冯曦瑶1,刘炫荣2,朱纪坤3,陆乃彦1,唐雪1*

1(江南大学 食品学院,江苏 无锡,214122)2(江苏蕞新鲜健康科技有限公司,江苏 无锡,214183)3(镇江江之源渔业科技有限公司,江苏 镇江,212000)

摘 要 随着科技的发展和保护环境意识的增强,可食用膜因其生物降解性和可再生性,逐渐受到广泛关注。该研究选取大豆分离蛋白和乳清浓缩蛋白作为基材并复配牛蒡多糖,对复合膜的表面形貌、拉伸强度和断裂伸长率、水溶性、水分含量、O2和水蒸气透过率以及透光率进行了表征,并研究其在河豚肉保鲜中的应用。结果表明,该复合可食用膜的断裂伸长率为(54.39±0.02)%、抗拉强度为(21.21±0.03) MPa,水溶性为(85.23±0.70)%,水分含量为(14.19±0.87)%,O2透过率为(0.58±0.049)g/(m2·d),水蒸气透过率为(9.505±0.15)×10-6 g/(m2·d)。在河豚肉保鲜中,牛蒡多糖-蛋白复合可食用膜能够有效减缓鱼肉腐败变质的速度,保持其新鲜度,抑制血红蛋白和脂肪氧化,并显著降低细菌生长速率。

关键词 可食用膜;大豆分离蛋白;乳清浓缩蛋白;牛蒡多糖;保鲜;河豚

食品包装膜在保护食品免受氧化、微生物污染和延长货架期方面发挥着至关重要的作用。近年来,对于安全、环保、可降解包装材料的需求日益增加,食品包装领域逐渐成为研究热点。可食用膜因营养价值丰富、易于消化吸收、具备良好的机械特性并且环保可再生等各项优点受到广泛关注,这种薄膜不仅在外形和机械性能方面能够满足需求,对水蒸气、氧气等物质的阻隔能力也非常出色[1]。在蛋白类可食用膜中,大豆分离蛋白(soy protein isolates,SPI)所制成的膜通常具有光滑的表面和良好的柔韧性,因此常被用作可食用膜的成膜材料,但纯SPI膜的机械性能和阻隔性能较差[2]。乳清蛋白制成的膜通常具有良好的阻隔性,但机械性能较差,容易破碎[3]。因此,以这2种蛋白为基材制备可食用膜时,通常需要添加别的物质来对其进行改性以弥补不足。

牛蒡(Arctium lappa L.)属于菊科,作为一种药食同源植物,其药用和保健功能一直备受关注。鲜牛蒡的水分含量约80%,总碳水化合物含量高达17.5%,富含多种生物活性物质,包括多糖、膳食纤维、黄酮类化合物等[4]。相关研究表明,牛蒡多糖具有较强的抗菌、抗氧化能力[5]。此外,牛蒡多糖可能通过形成氢键和静电相互作用来增强蛋白凝胶性质,进而提高可食用膜的机械性能。

河豚鱼肉质细嫩、鲜美,营养丰富,具有高蛋白、低脂肪、低热量的特点,同时富含人体必需的各种氨基酸、矿物质和核苷酸类等物质[6]。河豚的营养价值很高,可以健脾、利尿、祛风湿,促进血液和水分的新陈代谢,能够改善食欲,调理脾胃功能,缓解疲劳,清除体内毒素和垃圾,美容养颜。新鲜的河豚鱼由于水分和蛋白质等营养物质含量高,在外源微生物和内源酶的作用下极易腐败变质,导致其商业价值迅速下降[7],河豚在4 ℃条件下贮存也仅有3~4 d的保鲜期,现有的研究主要集中于河豚毒素,对河豚保鲜的研究相对较少。

因此,本研究以SPI和乳清浓缩蛋白(whey protein concentrate,WPC)为基底并复配牛蒡多糖,制备复合可食用膜,对其表面形貌、拉伸强度和断裂伸长率、水溶性和水分含量、O2和水蒸气透过率以及透光率进行表征,并探究牛蒡多糖-蛋白复合可食用膜对新鲜河豚鱼肉的保鲜作用,为复合型可食用膜性能研究和应用提供理论依据和案例。

1 材料与方法

1.1 材料与试剂

WPC-80[蛋白质含量为80%(质量分数)]、SPI,上海源叶生物科技有限公司;牛蒡粉,江苏省无锡市雪浪农贸市场;河豚,镇江江之源渔业科技有限公司。

三氯甲烷、甘油、冰醋酸、Na2S2O3标准溶液、2-硫代巴比妥酸、0.9%(质量分数)生理盐水及其他药品均为分析纯,国药集团化学试剂有限公司。

1.2 仪器与设备

TA-XT plus物性分析仪,英国Stable Micro System公司;EL204电子天平,上海梅特勒-托利多仪器有限公司;HBS-1101酶标仪,南京德铁生物科技有限公司;5430R高速冷冻离心机,德国艾本德股份公司;WSC-3B色差仪,上海仪电物理光学仪器有限公司;iS10傅里叶红外光谱仪,美国Nicolet公司;SU8100扫描电子显微镜,日立株式会社;5967X双立柱台式试验系统,美国INSTRON有限公司;WH-210D磁力搅拌器,伊孚森生物技术(中国)有限公司;Kjeltec9凯氏定氮仪,丹麦福斯分析仪器有限公司;GI54DW立式高压灭菌锅,厦门致微仪器有限公司。

1.3 实验方法

1.3.1 牛蒡多糖的提取纯化

根据课题组前期的方法提取牛蒡多糖[8]。具体操作如下:称取适量牛蒡根粉,按1∶10(g∶mL)料液比于70 ℃浸提90 min,4 000 r/min离心15 min取滤渣,重复1次,合并提取液。加入等体积100 g/L三氯乙酸溶液搅拌30 min,离心去沉淀,重复3~5次至无变性蛋白层。随后,向除去杂质的多糖溶液中加入4倍体积的95%(体积分数)乙醇溶液,混匀后置于4 ℃中过夜,次日于4 000 r/min离心10 min,弃去上清液,将滤渣用乙醚、石油醚和丙酮清洗3次,冷冻干燥得到分子质量为1 833 Da牛蒡多糖。

1.3.2 膜的铸造

a)SPI膜液:取5 g SPI加入100 mL蒸馏水,磁力搅拌10 min。调节pH值为10,加入2 mL甘油,80 ℃搅拌30 min,冷却至室温后将膜液倒入亚克力平板,在烘箱内70 ℃干燥40~60 min。

b)WPC膜液:取5 g WPC加入100 mL蒸馏水,磁力搅拌10 min。调节pH值为8,加入2.7 mL甘油,80 ℃搅拌30 min,冷却至室温后将膜液倒入亚克力平板,在烘箱内70 ℃干燥40~60 min。

c)牛蒡多糖-蛋白膜复合可食用膜:经过前期实验调节SPI、WPC和牛蒡多糖的比例,发现当SPI∶WPC∶牛蒡多糖(干重)=0.8∶0.2∶0.2(质量比)时,可获得综合性能较为优质的复合可食用膜。

1.3.3 膜厚的测定

参考GB/T 6672—2001《塑料薄膜和薄片 厚度测定 机械测量法》,使用螺旋测微仪,在平衡后的膜上选取4个点进行膜厚测定,4个点应对称,每个样品重复3次。

1.3.4 膜机械性能的测定

参考杨帅帅等[9]的方法并稍做修改,测定样品的抗拉伸强度和断裂伸长率,采用5967X双立柱台式试验系统(气动探头)测定。抗拉强度的测定按照实验的方法要求,用裁切刀裁下试样,将2种样品裁剪成长度35 mm,宽度10 mm的样品,初始间距50 mm,测试速度50 mm/min。重复5次实验操作,对测定结果取平均值,抗拉强度单位为MPa,断裂伸长率按公式(1)计算。

断裂伸长率

(1)

式中:L0,样品测试前的长度,mm;ΔL,样品断裂前后长度差,mm。

1.3.5 膜水蒸气透过量的测定

参考GB/T 1037—2021《塑料薄膜与薄片水蒸气透过性能测定 杯式增重与减重法》,每个样品重复3次测定,水蒸气透过量按公式(2)计算。

水蒸气透过量

(2)

式中:Δm,瓶增加的质量,g;A,水蒸气透过膜的面积,m2

1.3.6 膜水溶性的测定

剪裁膜尺寸为30 mm×30 mm,将剪裁后的膜与烧杯一并置于烘箱内,干燥直至其质量不再变化后进行称量。随后向烧杯注入适量蒸馏水,置于25 ℃环境中静置24 h。保留膜片,去除水分,并继续烘干直到质量稳定,记录下最终的质量。此操作对每个样本重复进行3遍。水溶性系数按公式(3)计算。

水溶性系数

(3)

式中:m,初始膜的质量,g;m1,初始膜与烧杯的质量,g;m2,干燥后膜与烧杯的质量,g。

1.3.7 膜透光率的测定

将膜裁成与比色皿一侧大小一致的长条,贴在一侧,使用紫外分光光度计在500 nm下以未贴膜的空白比色皿作为对照,测定膜的透光率,每个样品重复测定3次。

1.3.8 膜氧气透过性的测定

在250 mL锥形瓶中加入25 mL大豆油,用薄膜封闭瓶顶,将未封口锥形瓶内的豆油留作对照组。制得的样本放入恒定60 ℃的烘箱,连续存放7 d。

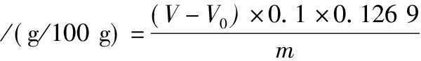
7 d之后,每个锥形瓶中称量2 g大豆油并转移至容量为250 mL的碘量瓶里,加入30 mL三氯甲烷-冰醋酸混合液,确保样品完全溶解。之后向碘量瓶中加入1 mL饱和KI溶液,紧密封闭瓶口,并轻轻摇晃30 s后,将碘量瓶放置于昏暗环境中静置3 min,然后加入100 mL蒸馏水并混合均匀。随即用Na2S2O3标准溶液滴定,滴定至淡黄色时加入1 mL淀粉指示剂,继续滴定至蓝色消失为终点。加入每个样品重复测定3次,用过氧化值来判断膜的氧气透过性。过氧化值按公式(4)计算。

过氧化值

(4)

式中:V,样品消耗Na2S2O3标准溶液体积,mL;V0,空白试剂消耗Na2S2O3标准溶液体积,mL;m,样品质量,g。

1.3.9 微观结构

将干爽的薄膜样品放置到金属板上的导电黏合剂中,再使用吸耳球把漂浮的样品从表面吹开。通过扫描电镜观察制备的样品。

1.3.10 河豚预处理

将河豚鱼头、尾部去除后,取两侧背部鱼肉。采用牛蒡多糖-蛋白复合膜从上至下紧密贴合并包裹鱼肉,同时设置未包裹薄膜的鱼肉作为空白对照组,用于后续各项指标的测定。

1.3.11 外观及pH值测定

取10 g鱼肉,将之研磨成细末后放入烧杯里,加入足量蒸馏水至体积达100 mL,经过振摇使其混匀,待沉淀后,取上层清澈液体用以检测酸碱度。实验需进行3遍以保证结果的可重复性。

评价标准:新鲜肉pH为5.8~6.2,次鲜肉pH为6.3~6.6,变质肉pH>6.7。每次测定前拍照对比,记录鱼肉外观随时间的变化。

1.3.12 鱼肉感官评定标准

由20位经过培训的评定人员(男女比例1∶1)对鱼肉的气味、表现和色泽方面进行感官评定,感官评分标准如表1所示,总分15分。

表1 鱼肉感官评定标准

Table 1 Sensory evaluation criteria for fish

项目5分4分3分2分1分气味浓烈的鱼肉鲜味 无异味鱼肉鲜味较淡 无异味无鱼肉鲜味 鱼腥味浓 无异味有酸臭味浓烈的酸臭味表现表面致密光滑表面致密光滑 有少量液体流出表面粗糙 有明显液体流出表面松软发黏 汁液呈现黄色表面松软发黏 有较多黄色汁液流失色泽乳白有光泽乳白 稍暗灰白 局部有黄点小部分泛黄鱼肉暗黄无光泽

1.3.13 鱼肉样品色差变化的测定

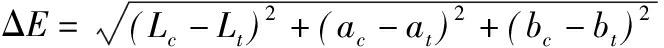
每批中抽取3份河豚肉为样本,利用色度计检测颜色变化情况,包括亮度指数L*、红绿色度a*及黄蓝色度b*,以此评估河豚肉整体色泽的变化情况,ΔE值按公式(5)计算。

(5)

式中:Lcacbc,未经任何处理的河豚肉颜色值(选取新鲜的河豚肉作为标准);Ltatbt,贮藏后的颜色值。根据ΔE可评估不同贮藏条件对河豚肉品质的影响。

1.3.14 鱼肉样品挥发性盐基氮(total volatile basic nitrogen,TVB-N)含量的测定

对于肉类新鲜度的评价,欧美国家一般采用半自动凯氏定氮仪来测定TVB-N含量。依据GB 5009.228—2016《食品安全国家标准 食品中挥发性盐基氮的测定》,对河豚鱼肉中TVB-N含量进行测定,每组实验均重复3次。据此标准评定,新鲜肉的TVB-N含量≤20 mg/100 g,变质肉的TVB-N含量>20 mg/100 g。

1.3.15 鱼肉样品2-硫代巴比妥酸(2-thiobarbituric acid,TBA)含量的测定

取0.5 g碎河豚鱼肉,加入2.5 mL事先调配好的水溶液,该溶剂内含0.375%(质量分数)TBA和15%(质量分数)三氯乙酸,并用0.25 mol/L的盐酸溶解后充分搅拌至均匀。之后将混合物置入沸水中水浴15 min,直至溶液显现粉红色,取出后迅速置于自来水中冷却。5 500 r/min离心25 min,在532 nm下测定上清液的吸光度值,以0.5 mL水作为空白对照。按公式(6)计算TBA含量。

(6)

式中:ΔA,532 nm下测定的上清液与空白对照吸光度差值。

1.3.16 器材灭菌与培养基制备

移液器吸头和离心管等实验室耗材被放置在塑料包装盒中,用牛皮纸包裹后用橡皮筋固定,并在高压条件下进行121 ℃的灭菌处理20 min后,放置在层流罩中贮存。在进行实验前,打开紫外线灯进行消毒处理。将23.5 g平板计数琼脂培养基加入1 000 mL蒸馏水中,进行煮沸后溶解,然后装入锥形瓶中,121 ℃灭菌处理20 min,冷却至50 ℃后,倒入培养皿中,固化后存放于4 ℃冰箱中。

1.3.17 鱼肉样品菌落总数的测定

用酒精擦拭鱼肉,从鱼的两侧背部取出5 g去皮去骨的鱼肉,将精确称重后的鱼肉样品切成小块,装入圆锥形瓶中,摇匀后静置。接着取出上层的澄清液。将上清液稀释,得到不同稀释梯度(10-1、10-2、10-3、10-4、10-5)的菌悬液。将不同稀释梯度的细菌悬液分别接种于培养皿中,并将其置于恒温培养箱内,37 ℃培养48 h,观察不同菌落的生长情况,并按照GB 4789.2—2022《食品安全国家标准 食品微生物学检验 菌落总数测定》,对样品的菌落总数进行测定。各项微生物的数量均以CFU/g来记录,重复实验3次。评价标准参考肉制品质量卫生指标中菌落总数的一般标准:新鲜肉<104 CFU/g,次新鲜肉104~106 CFU/g,变质肉>106 CFU/g[10]

1.4 数据统计与分析

使用Origin 9.0与Excel 2010软件对数据进行加工与图表绘制,借助SPSS 22.0统计工具对数据差异性及相关性进行分析,P<0.05时认为差异显著。

2 结果与分析

2.1 牛蒡多糖-蛋白复合膜的形貌及性能表征

从牛蒡多糖-蛋白复合膜的扫描电镜图(图1)可以看出,膜的表面虽然有些褶皱但无破裂和孔隙。如表2所示,拉伸强度和断裂伸长率分别为(54.39±0.02)%和(21.21±0.03) MPa,表明该膜具有一定的柔韧性和抗拉伸能力[11]。牛蒡多糖中存在半缩醛羟基或还原性末端,这些结构使多糖能中和自由基,从而对氧气分子渗入起到减缓或阻隔作用。此外,牛蒡多糖本身含有一定色素,降低了透光率,减少了光照产生的氧化。

图1 牛蒡多糖-蛋白复合膜的扫描电镜图

Fig.1 SEM images of A. lappa L.polysaccharide-protein composite edible film

表2 牛蒡多糖-蛋白复合膜性能表征

Table 2 Characterization of edible films composed of A.lappa polysaccharide-protein complex

指标厚度/mm拉伸强度/MPa断裂伸长率/%水溶性/%水分含量/%O2透过率/ g/ m2 d 水蒸气透过率/ 10-6g/ m2 d 透光率/%测定值0.42±0.1621.21±0.0354.39±0.0285.23±0.7014.19±0.870.58±0.0499.505±0.1523.09±0.09

2.2 牛蒡多糖-蛋白复合膜对河豚鱼肉保鲜的影响

2.2.1 4 ℃ 4 d内河豚鱼肉的外观变化

将河豚鱼肉置于4 ℃冰箱中贮藏4 d(图2)。随着时间的增加,鱼肉表面的色泽开始变暗,有牛蒡多糖-蛋白复合膜包裹的鱼肉色泽变化更加强烈,呈现浅黄色。膜在包裹时紧贴在河豚鱼肉表面,因此颜色变化显著是色素分子的影响。除颜色变化外,2组的表面水分都有所减少,并且由于失水,鱼肉开始紧缩,外观形状产生轻微变化。复合膜组与无膜组的表面看起来都较为干燥,是因为复合膜具有一定的水溶性,可以吸收鱼肉表面渗透出的少量水分,无膜组则是因为暴露在空气中表面水分会被自然风干。

图2 鱼肉贮藏期间的外观变化

Fig.2 Changes in the appearance of fish during storage

2.2.2 4 ℃ 4 d内河豚鱼肉的pH变化

水产品的劣变和腐败程度与其pH的波动有着密切的联系,河豚鱼肉pH的变化曲线如图3所示。2组鱼肉的pH变化趋势相同。无膜组的pH从6.13±0.08降至6.04±0.04,随后一直升高至6.73±0.03,表明鱼肉已经变质;而有复合膜包裹组的鱼肉pH则从6.13±0.08降至6.08±0.08后升高至6.49±0.04,仍处于次鲜肉的范围内。贮藏初期pH之所以下降,可能是因为鱼肉正经历刚死亡僵硬阶段,在厌氧条件下,糖类发生酵解作用产生了丙酮酸,继而积聚了大量的乳酸;而后期pH又升高可能是因为细菌和内源酶的影响,导致生物胺、氨等强碱性物质的积累[10]。与无膜组相比,河豚鱼肉在经过牛蒡多糖-蛋白复合膜包裹后,pH的波动区间相对较窄,pH降低除了乳酸影响外,也有可能是由于牛蒡多糖本身呈酸性,从而对鱼肉的pH造成了一定影响。2组pH变化范围的不同证明了牛蒡多糖-蛋白复合膜可以抑制由微生物引起的碱性化合物增长,维持鱼肉pH的稳定。

图3 鱼肉贮藏期间的pH变化

Fig.3 pH changes of fish during storage

2.2.3 4 ℃ 4 d内河豚鱼肉感官评价的变化

随着贮藏时间的延长,鱼肉感官评定的各项指标数值都在不断下降(图4)。无膜组的各项数值下降比较稳定,相比其他2项而言,表现项的分数下降较慢,只有在第2~3天时下降较明显。鱼肉在无膜包裹条件下,色泽在逐渐变黄,由于失水作用,其表面从紧致光滑逐渐变得粗糙,并且鱼肉周围开始有黄色汁液渗出。而有牛蒡多糖-蛋白复合膜包裹的鱼肉,其气味和表现2项指标感官分数下降的都比对照组要缓慢,但在色泽变化上大幅下降,原因可能是色素分子的吸附作用。从pH变化来看,有膜包裹组的鱼肉并未产生严重的劣变情况,比对照组有所缓解,因此鱼肉表面颜色变化的主要原因并不是鱼肉腐败变质造成的[12]。两组感官评价的分数变化与外观照片相符合。综上,牛蒡多糖-蛋白复合膜对河豚肉存在一定的保鲜作用。

a-无膜对照组;b-牛蒡多糖-蛋白复合膜组

图4 鱼肉贮藏期间的感官变化

Fig.4 Sensory changes of fish during storage

2.2.4 4 ℃ 4 d内河豚鱼肉的失重率变化

在贮藏过程中,由于细菌对肌肉细胞的分解作用会导致鱼肉产生失水的情况。鱼肉的失重率随着贮藏时间的延长而增加,特别是在贮藏的初期,液体成分流失的速度较快,随后渐趋平缓(图5)。这种液体成分流失的加剧,主要是腐败微生物分解鱼肉中的蛋白,减弱了肌原纤维的吸水性能所引起的,从而影响整块鱼肉的吸水保湿能力[13]。有多糖膜包被的鱼肉汁液流失率要比无膜组的低,在4 d时2组的失重率分别增至(20.164±1.78)%和(38.809±2.03)%。说明牛蒡多糖-蛋白复合膜可能抵抗了一部分腐败菌对鱼肉的作用,从而减小了失重率。

图5 鱼肉贮藏期间的失重率变化

Fig.5 Weight-loss ratio changes of fish during storage

2.2.5 4 ℃ 4 d内河豚鱼肉的颜色变化

鱼肉的表面颜色是判断肉质的重要感官指标。总体来看,有膜包裹组的颜色变化要优于无膜组,但在1 d后有膜组的色差逐渐超过无膜组并快速上升(图6)。

图6 鱼肉贮藏期间的颜色变化

Fig.6 Colour changes of fish during storage

如表3所示。L*值的变化很大程度上影响了ΔE的值。两组间各项数值都具有显著性差异(P<0.05)。从2 d开始无膜组鱼肉的L*值下降速率显著低于有膜组,但从理论上来说,牛蒡多糖复合膜应该对鱼肉腐败变质有缓解作用而非促进作用,所以有膜组L*值的快速减小应与鱼肉的腐败变质无关。可能是由于牛蒡多糖未经过脱色处理导致薄膜紧贴在鱼肉表面时存在色素吸附,从而导致有膜组的L*下降速率高于无膜组。

表3 鱼肉颜色指数变化

Table 3 Colour indexes changes of fish

指标组别贮藏时间/d01234L∗无膜组49.11±0.66a47.43±1.75a46.43±0.35a46.18±1.27a44.20±1.02a有膜组48.71±0.66a48.12±0.52a39.29±1.46b34.84±0.85b34.41±3.07ba∗无膜组0.48±0.34a-0.525±0.21a-1.06±0.52b-1.29±0.08b-1.58±0.45b有膜组0.57±0.34a-0.325±0.66b-0.86±0.44b-0.96±0.20b-1.27±0.62bb∗无膜组-4.06±0.33c-2.21±0.76b-1.74±0.16b-1.64±0.08b0.67±0.69a有膜组-3.45±0.33b-2.92±0.15ab-2.71±0.18ab-1.81±0.35ab-1.01±0.58a

注:数值为“平均值±标准差”,不同字母表示同一行数据之间存在显著性差异(P<0.05)。

a*值是评估牛肉和猪肉等红肉新鲜度的常用指标,较高的a*值(高红度)通常表示肉更新鲜,a*值在各项研究中差异很大,与鱼的种类有直接关系[14-15]。此外,腐败细菌产生的H2S和H2O2也会导致肌红蛋白衍生物的形成,从而使鱼肉变成绿色[16]。随着贮藏时间的延长,各组鱼肉的a*值逐渐降低,有膜包裹组的a*值从0.57±0.34降低至-1.27±0.62而无膜组从0.48±0.34降低至-1.58±0.45,这主要是由于血红蛋白和肌红蛋白的氧化所致。牛蒡多糖-蛋白复合膜显著抑制了鱼肉a*值的降低,一方面是复合膜在鱼肉表面隔绝了一部分氧气从而抑制鱼肉的氧化;另一方面与牛蒡多糖能抑制腐败菌的生长有关。

a*值相反,各组鱼肉的b*值在整个贮藏过程中呈上升趋势,相较于有膜组,无膜组从-4.06±0.33上升至0.67±0.69,这可能是由于高水平的脂质氧化以及高铁血红蛋白的积累[17]

综上所述,牛蒡多糖-蛋白复合膜可使河豚鱼肉保持较好的感官品质,抑制细菌等微生物的繁衍,减缓脂类氧化与蛋白分解的速度,从而延长河豚鱼的保鲜期限。

2.2.6 4 ℃ 4 d内河豚鱼肉TBA含量的变化

鱼类产品在贮藏期间,脂肪极易氧化形成H2O2,并分解为次级氧化物,进而成为影响鱼类品质及保存时间的关键因素。通过测定TBA含量,计算脂肪酸氧化后产物的含量,从而判定鱼肉油脂的氧化程度。当水产品肌肉的TBA含量达到1.0~2.0 mg/kg时,脂质氧化后形成的酮类衍生物会产生恶臭的气味,使水产品失去其食用价值[18]。由图7可知,随着贮藏时间的延长,TBA含量在持续增长。在整个贮藏期间中,有复合膜包裹鱼肉的TBA含量在4 d达到最高,为(0.952±0.04) mg/kg,并未达到1.0~2.0 mg/kg的范围;而无膜组在3 d的含量就已经达到(1.189±0.04) mg/kg,在4 d时,TBA含量进一步上升至(1.351±0.05) mg/kg,鱼肉开始散发出酸臭味,与感官评定结果一致。证明牛蒡多糖-蛋白复合膜可以有效抑制脂质的氧化,缓解鱼肉变质,延长其保质期。

图7 鱼肉贮藏期间的TBA含量变化

Fig.7 TBA content of fish during storage

2.2.7 4 ℃ 4 d内河豚鱼肉TVB-N含量的变化

在鱼肉的贮藏过程中,微生物会导致肌肉蛋白和非蛋白含氮化合物分解产生小分子氨和胺类化合物。国标规定,淡水鱼的TVB-N含量应小于20 mg/100 g,由图8可知,2组的TVB-N含量都随着贮藏时间的延长而增加,在4 d时与贮藏初期相比已经达到两倍多。虽然在4 d内2组鱼肉的TVB-N值都处于规定范围内,但还是可以明显看出蛋白-牛蒡多糖-蛋白复合膜可以有效减少鱼肉TVB-N含量的增加,抑制微生物的生长,从而延长河豚鱼肉的保鲜期。

图8 鱼肉贮藏期间的TVB-N含量变化

Fig.8 TVB-N content of fish during storage

2.2.8 4 ℃ 4 d内河豚鱼肉菌落数的变化

如图9所示,鱼肉菌落数随着时间的延长而增加,整体上呈现出增长的态势,有膜包裹的鱼肉菌落总数低于无膜组。0~2 d时,有膜组菌落数有极小幅度的下降,并在2 d时达到最小值,为(1.17×103±945.2) CFU/g;2组的菌落数在2 d后均大幅上升,在4 d时分别达到了(1.12×104±673.1)、(1.82×104±945.5) CFU/g。这主要由于牛蒡多糖具有抗菌性[19],该复合膜能够为鱼肉形成一道防线,有效遏制细菌的生长。

图9 鱼肉贮藏期间菌落数的变化

Fig.9 Total viable counts during fish storage

3 结论与讨论

本研究以SPI和WPC为基底并复配牛蒡多糖制备复合可食用膜,经前期实验探究,发现当SPI∶WPC∶牛蒡多糖(干重)=0.8∶0.2∶0.2时,可获得综合性能较为优质的复合可食用膜,并对其进行表面形貌和性能表征。在此基础上还探究了牛蒡多糖-蛋白复合可食用膜对新鲜河豚鱼肉的保鲜作用,结果表明牛蒡多糖-蛋白复合膜能缓解鱼肉腐败进程,维持其感官品质与质构特性,抑制脂质氧化和高铁血红蛋白积累。此外,由于牛蒡多糖自身具有一定的抗菌性,复合膜可以有效抑制鱼肉中细菌的生长速率,从而延长河豚肉的保鲜期。本研究为可食用膜和牛蒡多糖的应用提供了新的发展前景,拓展了其在食品保鲜中的应用。

参考文献

[1] 李建昌,李静茹.大豆分离蛋白膜工艺参数的设计[J].粮油食品科技,2006,14(3):27-28.LI J C,LI J R.Design of technological parameters of soybean protein isolate membrane[J].Science and Technology of Cereals,Oils and Foods,2006,14(3):27-28.

[2] 胡海玥.冷冻对亚麻籽胶-大豆分离蛋白可食用膜影响及机理研究[D].天津:天津科技大学,2022.HU H Y.Effects of freezing on flaxseed gum-soybeanprotein edible film and its mechanism[D].Tianjin:Tianjin University of Science &Technology,2022

[3] GHANBARZADEH B,OROMIEHI A R.Biodegradable biocomposite films based on whey protein and zein:Barrier,mechanical properties and AFM analysis[J].International Journal of Biological Macromolecules,2008,43(2):209-215.

[4] MORO T M A,CLERICI M T P S.Burdock (Arctium lappa L) roots as a source of inulin-type fructans and other bioactive compounds:Current knowledge and future perspectives for food and non-food applications[J].Food Research International,2021,141:109889.

[5] LIU W,WANG J J,ZHANG Z Z,et al.In vitro and in vivo antioxidant activity of a fructan from the roots of Arctium lappa L[J].International Journal of Biological Macromolecules,2014,65:446-453.

[6] 王丽雅,陶宁萍,龚玺.河豚的食用安全性及营养价值研究进展[J].上海农业学报,2012,28(2):123-128.WANG L Y,TAO N P,GONG X.Research progress of edible safety and nutritional value of puffer fish[J].Acta Agriculturae Shanghai,2012,28(2):123-128.

[7] 刘大勇,谢晶,徐逍,等.一种保鲜河豚鱼的方法:中国,CN114403198A[P].2022-04-29.LIU D Y,XIE J,XU X et al.A method for preserving pufferfish:China,CN114403198A[P].2022-04-29.

[8] JIA X Y,LIU H M,YIN G L,et al.Arctium lappa L.polysaccharides alleviate oxidative stress and inflammation in the liver and kidney of aging mice by regulating intestinal homeostasis[J].International Journal of Biological Macromolecules,2024,280(Pt 2):135802.

[9] 杨帅帅,李海朝,黄丽娟.增塑剂改性明胶膜的制备与表征[J].食品工业科技,2017,38(21):84-87;301.YANG S S,LI H C,HUANG L J.Preparation and characterization of modified gelatin films by plasticizer[J].Science and Technology of Food Industry,2017,38(21):84-87;301.

[10] 温冬玲.基于宏基因组学与代谢组学的冷鲜鸡肉贮藏品质研究[D].广州:仲恺农业工程学院,2017.WIN D L.Study of the quality of chilled chicken during storage based on metagenomics and metabolomics approach[D].Guangzhou:Zhongkai University of Agriculture and Engineering,2017.

[11] 余雪健.N端修饰对Nisin抗菌的影响及在抗菌膜中的应用[D].无锡:江南大学,2020.YU X J.Effect of N-terminal modification on activity of Nisin and its application in antimicrobial film[D].Wuxi:Jiangnan University,2020.

[12] 郑稳,庄文静,宫萱,等.普鲁兰多糖/壳聚糖/黄原胶/胶原蛋白复合膜的制备及保鲜效果研究[J].食品与发酵工业,2023,49(22):156-164.ZHENG W,ZHUANG W J,GONG X,et al.Preparation and preservation effect of pullulan polysaccharide/chitosan/xanthan gum/collagen composite coating[J].Food and Fermentation Industries,2023,49(22):156-164.

[13] 向雅芳,熊光权,乔宇,等.不同热处理方式对鲈鱼品质的影响[J].食品科学,2019,40(21):127-135.XIANG Y F,XIONG G Q,QIAO Y,et al.Effects of different heat treatments on the quality of largemouth bass[J].Food Science,2019,40(21):127-135.

[14] QIU X J,CHEN S J,LIU G M,et al.Quality enhancement in the Japanese sea bass (Lateolabrax japonicas) fillets stored at 4 ℃ by chitosan coating incorporated with citric acid or licorice extract[J].Food Chemistry,2014,162:156-160.

[15] 刘佳秀,查振兴,于文溪,等.海洋源乳酸菌在黄花鱼肉保鲜中的应用研究[J].食品科学技术学报,2018,36(6):58-65.LIU J X,ZHA Z X,YU W X,et al.Application of lactic acid bacteria from marine fish as biopreservative in yellow croaker preservation[J].Journal of Food Science and Technology,2018,36(6):58-65.

[16] 郭丽,丛莘芫,王鹏,等.透明质酸涂膜结合微冻贮藏对鲜切鲤鱼肉保鲜效果的研究[J].食品工业科技,2019,40(5):253-258.GUO L,CONG X Y,WANG P,et al.Fresh-keeping effect of hyaluronic acid coating combined with superchilling storage on fresh-cut common carp (Cyprinus carpio)[J].Science and Technology of Food Industry,2019,40(5):253-258.

[17] 郑倩清,欧阳珮珮,黄诚.自动凯氏定氮仪测定食品中蛋白质消化条件的改进[J].食品安全质量检测学报,2019,10(10):3209-3214.ZHENG Q Q,OUYANG P P,HUANG C.Improvement of digestion condition in determination of protein in food by automatic Kjeldahl apparatus[J].Journal of Food Safety &Quality,2019,10(10):3209-3214.

[18] FENG L F,JIANG T J,WANG Y B,et al.Effects of tea polyphenol coating combined with ozone water washing on the storage quality of black sea bream (Sparus macrocephalus)[J].Food Chemistry,2012,135(4):2915-2921.

[19] XIANG W,WEI J Y,HUANG J C,et al.Injectable Arctium lappa polysaccharide-based composite hydrogel enhances diabetic wound healing[J].International Journal of Biological Macromolecules,2025,305(Pt2):141285.

Study of Arctium lappa L.polysaccharide-protein composite edible film in pufferfish preservation

LIU Haoming1,FENG Xiyao1,LIU Xuanrong2,ZHU Jikun3,LU Naiyan1,TANG Xue1*

1(School of Food Science and Technology,Jiangnan University,Wuxi 214122,China)2(Jiangsu Fresh Health Technology Co.Ltd.,Wuxi 214183,China)3(Zhenjiang Jiangzhiyuan Fishery Thchnology Co.Ltd.,Zhenjiang 212000,China)

ABSTRACT With the advancement of technology and growing environmental awareness,edible films have gained increasing attention due to their biodegradability and renewability.This study developed composite films using soy protein isolate and whey protein concentrate as matrix materials incorporated with Arctium lappa L.polysaccharide.The composite films were systematically characterized for their surface morphology,tensile strength,elongation at break,water solubility,moisture content,oxygen permeability,water vapor permeability,and light transmittance.Their preservation efficacy was further evaluated on puffer fish fillets.Results demonstrated that the A. lappa polysaccharide-protein composite films exhibited an elongation at break of (54.39±0.02)%,tensile strength of (21.21±0.03) MPa,water solubility of (85.23±0.70)%,moisture content of (14.19±0.87)%,oxygen permeability of (0.58±0.049) g/(m2·d),and water vapor permeability of (9.505±0.15)×10-6 g/(m2·d).Application tests revealed that the composite edible films effectively delayed fish spoilage,maintained freshness parameters,inhibited hemoglobin and lipid oxidation,and significantly suppressed bacterial growth in pufferfish preservation.

Key words edible film;soy protein isolate;whey protein concentrate;Arctium lappa L.polysaccharide;preservation;pufferfish

DOI:10.13995/j.cnki.11-1802/ts.042639

引用格式:刘浩明,冯曦瑶,刘炫荣,等.牛蒡多糖-蛋白复合可食用膜在河豚肉保鲜中的研究[J].食品与发酵工业,2025,51(23):286-293.LIU Haoming,FENG Xiyao,LIU Xuanrong,et al.Study of Arctium lappa L.polysaccharide-protein composite edible film in pufferfish preservation[J].Food and Fermentation Industries,2025,51(23):286-293.

第一作者:本科生(唐雪副教授为通信作者,E-mail:tangxue@jiangnan.edu.cn)

基金项目:国家自然科学基金项目(31871865);2021年江苏省高等教育教改研究立项项目(2021JS1G058);教育部第二批新工科研究与实践项目(E-SPNL20202312);教育部“新农科”研究与改革实践项目(2020402)

收稿日期:2025-03-06,改回日期:2025-04-29