苏尼特羊尾油的多级干法分提及理化性质分析

任航歧1,2,刘霖泽1,2,王露1,2,石佳玉1,2,董同力嘎1,2,王韵斐2,3,李少博2,4,云雪艳1,2*

1(内蒙古农业大学 食品科学与工程学院,内蒙古 呼和浩特,010018) 2(畜产副产物综合利用内蒙古自治区工程研究中心,内蒙古 呼和浩特,010018) 3(巴彦淖尔市农牧业科学研究所,内蒙古 巴彦淖尔,015000)4(中国农业科学院农产品加工研究所,北京,100193)

摘要 为拓宽羊尾油的应用范围,采用逐级降温的多级干法分提技术将羊尾油分级为35S、30S、25S、20S和20L这5个不同熔点组分。对各组分的过氧化值、碘值、酸价、脂肪酸组成、热力学性质、结晶性质和流变学性质进行了分析,并应用于起酥油面包制作中。结果表明,各组分的理化性质均符合国标要求,其中35S组分的饱和脂肪酸含量最高(49.69%),20L组分的不饱和脂肪酸含量最高(57.45%),各组分初始熔融温度最高为46.6 ℃,最低为23.2 ℃。高熔点组分呈现出β′晶型,晶体含量较高,且黏度较大。以35S为起酥油面包的比容、质构性质、水分含量均优于市售猪油基起酥油面包。该研究为羊尾油在食品加工中的应用提供了依据。

关键词 羊尾油;干法分提;脂肪酸;结晶性质;热力学特性;面包

随着人们对高蛋白、低脂肪羊肉的需求量不断增加[1],肉羊产业得以高速发展。然而,肉羊的出肉率仅为40%~55%,大量副产物如羊尾脂无法得到高值化化利用的问题已日益突显[2]。羊尾油是一种优质的脂质资源,含有较低的胆固醇、丰富的饱和脂肪酸和不饱和脂肪酸[3]。但目前,动物油脂的精深加工率低,主要被用于加工手工皂、柔顺剂等产品[4]。羊尾油是多种甘油三酯组成的混合物,由于甘油三酯在熔点上的差异,羊尾油的熔程宽广,严重限制了其在食品加工中的利用[5]。分提技术可从动物脂肪分离得到不同熔点的油脂组分,分提工艺主要包括干法分提、表面活性剂分提和溶剂分提等方法[6]。其中干法分提是一种以热力学以及结晶动力学为基础的物理分提方式,操作方式简单,不需要任何化学物质[7]。牧丹等[8]对苏尼特羊尾油进行了干法分提并测定了分提产物的理化性质与脂肪酸组成,发现分提产物各项理化指标良好,且提高了液态油的不饱和脂肪酸含量。邢田等[9]优化了牛油的干法分提的工艺并测定分提后的脂肪酸组成,发现经干法分提后,不饱和脂肪酸的比例提高了7.94%。多级干法分提是由单级干法分提发展而成,通过降低分提温度对单级干法分提得到的液油再次分提,并重复此过程以获得多种不同熔点的组分[10]。孙美青[11]在分提牦牛乳脂肪时采用了多级干法分提技术,得到了不同熔点的固态和液态组分。MULYONO等[12]在温度为5、10、15、20 ℃的条件下对棕榈油进行多级干法分提,获得了高油酸和低棕榈酸成分的棕榈油。ABBAS等[13]对黄油进行了多级干法分提,结果显示不同熔点的固态脂与液态脂的生物活性脂质含量差异显著。

本研究利用逐级降温的多级干法分提技术获得不同熔点的羊尾油组分,并研究各组分脂肪酸组成、理化性质以及热力学和结晶特性的差异,为羊尾油在食品工业上的精深加工应用提供理论参考。

1 材料与方法

1.1 材料与试剂

羊尾油,呼和浩特市东瓦窑批发市场;精炼猪油,金锣;冰乙酸、三氯甲烷、碘化钾、硫代硫酸钠、可溶性淀粉、环己烷、一氯化碘、异辛烷、硫酸、碳酸钠、重铬酸钾、氢氧化钠、甲醇、氢氧化钠、14%三氟化硼-甲醇、正己烷和氯化钠,国药集团化学试剂有限公司;37种脂肪酸混合标准品,Sigma公司。所有用于色谱的有机溶剂均为色谱纯,其余溶剂均为分析纯。

1.2 仪器与设备

LS220A-SCS电子分析天平,上海天美天平仪器有限公司;DZF-6020真空干燥箱,上海博讯实业有限公司;T6榨油机,东莞香聚智能有限公司;ZDJ-4B自动电位滴定仪,上海仪电科仪;HC-2518R高速冷冻离心机,安徽中科中佳科学仪器有限公司;DSC-Q20差示扫描量热仪(differential scanning calorimetry,DSC),美国TA公司;Agilent 7890A气相色谱仪,美国Agilent公司;Rigaku Miniflex 600台式X射线衍射仪(X-ray diffraction,XRD),日本理学株式会社;MP41偏光显微镜,广州市明美科技有限公司;HAAKE RS6000旋转流变仪,德国Thermo Fisher公司;CTX质构仪,美国AMETEK Brookfield。

1.3 实验方法

1.3.1 样品处理

参考刘丹等[14]的方法,除去羊尾油外部的结缔组织,将羊尾油切成大小均一的小块。称取100 g切碎的羊尾油置于干净烧杯中,将其放置于真空干燥箱中7 h,设定压力为0.08 MPa,温度为70 ℃。之后利用榨油机进行物理压榨,获得羊尾油。经纱布过滤后,将其贮存于4 ℃冰箱中备用。

1.3.2 羊尾油的多级干法分提

参照孙佳宁[15]的方法,取50 g羊尾油,置于恒温水浴锅中在70 ℃下加热30 min,完全消除羊尾原油的热历史,之后快速降温至50 ℃,再以3 ℃/h的速率降温至35 ℃,此过程需要5 h。然后,在35 ℃,100 r/min的条件下,恒温养晶12 h。养晶后将羊尾油在35 ℃,10 000 r/min的条件下离心40 min。离心完成后,将上层液油(35L)和下层固脂(35S)分离并冷藏保存。之后,将35L以每3 ℃/h的降温速率降温至30 ℃(需要2 h),结晶12 h,重复上述过程得到30L和30S。最后重复以上操作分别得到25L、25S、20L和20S,并记录每次分提出的固态脂和液态油的质量。

1.3.3 过氧化值的测定

参照GB 5009.227—2023《食品安全国家标准 食品中过氧化值的测定》。

1.3.4 碘值的测定

参照GB/T 5532—2022《动植物油脂 碘值的测定》。

1.3.5 酸价的测定

参照GB 5009.229—2025《食品安全国家标准 食品中酸价的测定》。

1.3.6 脂肪酸的测定

参照张白曦等[16]和GB 5009.168—2016《食品安全国家标准 食品中脂肪酸的测定》的方法并略作修改,具体步骤为:准确称取200~400 mg的油脂于平底烧瓶内,并加入10 mL 20 g/L氢氧化钠-甲醇溶液,连接冷凝管于85 ℃的水浴上回流30 min直至油滴溶解。从冷凝管上方加入7 mL 14%三氟化硼-甲醇溶液继续回流30 min,使甲酯化完全。取下烧瓶待温度降至室温,加入20 mL正己烷,振荡萃取3 min,向烧瓶中加入饱和氯化钠溶液静置使其分层。将上层有机相吸取至无水硫酸钠中充分振摇并静置5 min。用针吸取上层溶液过0.22 μm尼龙膜到进样瓶中待测定。

气相色谱条件:色谱柱HP-88(100 m×0.25 mm,0.20 μm);用N2作为载气,升温程序:初始温度100 ℃,持续15 min,以20 ℃/min的升温速度升至190 ℃,保持6 min。而后以1 ℃/min的升温速度升至220 ℃,保持7 min。进样量:1 μL,分流比:20∶1,进样口温度:260 ℃,检测器温度:250 ℃。

1.3.7 羊尾油的热性质分析

采用DSC测试样品的热力学性。参照GMEZ-ALONSO等[17]的方法,将5~10 mg的样品置于铝制坩埚中,用N2作为保护气体,测试程序:先将温度平衡在25 ℃,保持10 min,以5 ℃/min的升温速率,从25 ℃升温至80 ℃,保持10 min,再以相同的速率使温度降至-60 ℃得到结晶曲线,保持10 min,最后以相同的速率升温至80 ℃,得到融化曲线。

1.3.8 晶型的测定

采用XRD对油脂的同质多晶型测定。参照陈雨杭[18]的方法将样品在80 ℃下保持30 min以消除记忆结晶,随后在4 ℃下保持24 h。测试条件:2θ扫描范围为5°~40°,扫描速度为10°/min,波长λ为1.540 6 Å。X射线管为Cu-Ka,电压为40 kV,电流为40 mA[19]。用Jade6处理数据。

1.3.9 微观形貌的观测

采用偏振光显微镜对油脂的结晶形态进行观测,参照XIE等[20]的方法将样品在80 ℃下熔化30 min,用毛细管沾取少量样品于载玻片上,随后在4 ℃下保持24 h,取出后迅速观察其晶体形貌。

1.3.10 流变的测定

采用流变仪对样品的黏度进行测定,参照舒楠茜[21]的方法将样品在37 ℃下保温1 h,选用直径20 mm 的平板作为夹具,间隙设置为1 mm,恒温37 ℃条件下进行黏度测定,剪切速率范围为0.1~100 s-1

1.3.11 起酥油的制备

参照CHIN等[22]的方法分别取10 g原油、35S、市售精炼猪油向其中加入1%(质量分数)的乳化剂,80 ℃熔化30 min。将熔化后的油脂在室温下预冷20 min 后置于-20 ℃温度下急冷搅拌3 min成白色膏状,取出后在室温下搅拌捏合5 min,放入恒温培养箱中25 ℃ 熟化1 d。

1.3.12 面包的制备

参照王辉[23]的方法并进行修改,取高筋面粉100 g,酵母1.5 g,糖6 g,食盐0.6 g,水50 g,起酥油10 g,鸡蛋1个,将酵母、糖、食盐、鸡蛋加入到高筋粉中搅匀,再加入水搅匀后揉成面团,静置15 min后加入起酥油揉至面团光滑。随后38 ℃醒发2 h,醒发后将面团分割、搓圆置于烤盘上,焙烤上/下温度为190 ℃/230 ℃。待焙烤结束后,取出冷却至室温。

1.3.13 面包比容的测定

参照石长波等[24]的方法待面包室温下冷却后,采用小米置换法测定面包的比容。面包比容按公式(1)计算:

比容

(1)

式中:V,面包体积,mL;m,面包质量,g。

1.3.14 面包质构的测定

参照何颖等[25]的方法采用质构仪测定面包的质构特性(硬度、弹性、咀嚼性和内聚性),将面包切成长20 mm,宽20 mm,高20 mm的正方体,参数设置:探头型号为TA11/1000,测试前速率2.0 mm/s,测试速率3.0 mm/s,测试后速率3.0 mm/s,压缩程度50%,感应力5 g。

1.3.15 面包含水量的测定

参照GB 5009.3—2016《食品安全国家标准 食品中水分的测定》直接干燥法。

1.4 数据处理

每组做3组平行试验,用“平均值±标准差”表示实验结果,图形采用软件Origin 2021进行绘制。

2 结果与分析

2.1 羊尾油分提物得率

如表1所示,羊尾油分提产物的得率35S为50.7%,30S为10.9%,25S为4.9%,20S为8.5%,20L为25.0%。

表1 羊尾油分提物得率

Table 1 Yield of sheep tail oil fractions

注:表中不同小写字母表示显著差异(P<0.05)(下同)。

样品种类得率/%35S50.7±2.1a30S10.9±0.7c25S4.9±0.5e20S8.5±1.6d20L25.0±0.6b

2.2 各组分理化指标

油脂氧化初期会形成性质较稳定的氢过氧化物,通过检测油脂氧化过程中产生的氢过氧化物(过氧化值)可以判断油脂的氧化程度[26]。由表2可知,分提产物各组分的过氧化值较低,30S、25S、20S、20L过氧化值均小于原油,表明分提产物氧化稳定性良好,不易发生氧化。酸价是衡量油脂中游离脂肪酸的重要指标,酸价越高代表油的品质越差[27],表中所有组分的酸价均符合GB 10146—2015《食品安全国家标准 食用动物油脂》要求(≤2.5 mg/g)。碘值是评价油脂不饱和程度的标准,碘值越高油脂的不饱和程度越高[28]。由表可知羊尾油原油的碘值为52.619 g/100 mg,说明脂肪酸的不饱和程度较低,30S、25S、20S、20L组分的碘值均高于原油,表明经过分提提高了油脂中不饱和脂肪酸的含量。综上,不同熔点的羊尾油分提产物的理化性质良好,符合食用动物油的国家安全标准,可进一步投入食品加工行业。

表2 羊尾油分提物的理化指标

Table 2 Physicochemical indexes of sheep tail oil fractions

2.3 脂肪酸的含量

脂肪酸是油脂的重要成分,脂肪酸的类别决定着油脂的性质。饱和脂肪酸熔点较高,故在常温下成固态,不饱和脂肪酸由于分子中存在一个或多个双键结构,分子不稳定熔点低,常温下多以液态形式存在[29]。由表3可知羊尾油各组分中共检测出16种脂肪酸,油酸(C18:1n9c)在各组分中的含量均为最高,在20L中其含量高达50.89%。经分提35S的饱和脂肪酸含量最高为49.69%,20L的不饱和脂肪酸含量最高为57.45%,除35S外其他组分的饱和脂肪酸较羊尾油原油均有所降低,表明分提改变了各组分中脂肪酸的组成,并将对油脂的性能产生影响。

表3 羊尾油分提物的脂肪酸类别及相对含量

Table 3 Fatty acid categories and relative contents of sheep tail oil fractions

2.4 结晶-熔化特性

羊尾油及其分提物的结晶如图1-a和表4所示。脂肪酸和甘油三酯的组成会影响塑性脂肪的结晶曲线。羊尾油及其分提产物的结晶曲线中共含有3个结晶放热峰,且峰型类似,说明原油及其分提产物只在甘油三酯的含量上存在差别。一般来说,体系组分的热性质越相似,熔化或结晶的温度范围越窄,峰型越尖锐;反之,峰型则越宽[30]。油脂的初始结晶峰(Ⅰ)位于7~30 ℃对应着棕榈酸、硬脂酸等高熔点脂肪酸组成的饱和甘油三酯,与原油相比,35S的结晶峰Ⅰ向高温方向偏移,且其峰型和结晶温度范围变窄,其结晶焓也显著高于其他分提组分。这说明经过分提处理,35S中高熔点甘油三酯的相对含量增加。随着结晶温度的降低,各分提物中高熔点甘油三酯的相对含量不断降低,对应的结晶峰(Ⅰ)的结晶温度和焓值也不断下降,20L的结晶曲线中甚至观察不到结晶峰(Ⅰ)。

a-结晶;b-融化曲线

图1 羊尾油分提物的结晶和熔化曲线

Fig.1 Crystallization and melting curves of sheep tail oil fractions

表4 羊尾油分提物的结晶峰温度

Table 4 Crystallization temperature of sheep tail oil fractions

注:TcoⅠTcoⅡTcoⅢTceⅠTceⅡTceⅢ分别为结晶峰Ⅰ、Ⅱ、Ⅲ的初始结晶温度和结晶结束温度;/表示无数据。

而原油及其分提产物中单不饱和和双不饱和甘油三酯的结晶过程与结晶峰(Ⅱ)相对应。该部分甘油三酯的组成相对复杂,熔点相近且难以分离。因此,结晶峰(Ⅱ)的温度范围从-30 ℃延伸至6 ℃。但随着分提温度的降低,该峰也持续向低温方向偏移。

此外,在-40 ℃附近,原油及其分提产物展现了窄而尖的结晶峰(Ⅲ)。CHE等[31]的研究发现以5 ℃/min的速率冷却,三油酸甘油酯(OOO)等三不饱和甘油三酯的结晶温度在-48.62~-60.36 ℃。结晶峰(Ⅲ)对应于羊尾油中的三不饱和甘油三酯。

羊尾油及其分提物的熔化曲线如图1-b和表5所示,所有曲线中共含有3个熔融吸热峰,且峰型类似。脂肪每个熔化过程会出现多种晶型转化,通常尖峰意味着构成结晶的甘三酯组分比较单一,成核时间基本相同;而宽峰意味着晶体中有多种类型的晶核,峰形状的变化则对应着同质多晶的改变[32]。35S的熔化曲线中出现了明显的放热峰,表明该组分在加热过程中出现了晶型的转化,而这一现象未在其他组分中出现,这可能与其中的饱和脂肪酸含量最高有关。从熔化曲线中可以看出熔融峰(Ⅰ)出现在15~44 ℃,与结晶峰(Ⅰ)相对应,但其明显变宽,说明饱和甘油三酯在熔化的过程中出现了晶型的改变,存在多种同质多晶类型。而熔融峰(Ⅱ)和(Ⅲ)出现在4~10 ℃和18~4 ℃对应于结晶峰(Ⅱ)。尖锐的熔融峰(Ⅱ)说明构成结晶的甘油三酯组分较单一。此外,熔化曲线中并未出现与结晶峰(Ⅲ)相对应的熔融峰。

表5 羊尾油分提物的熔融峰温度

Table 5 Melting temperature of sheep tail oil fractions

注:TmoⅠ、TmoⅡTmoⅢTmeⅠTmeⅡTmeⅢ分别为熔融峰Ⅰ、Ⅱ、Ⅲ的初始熔融温度和熔融结束温度。

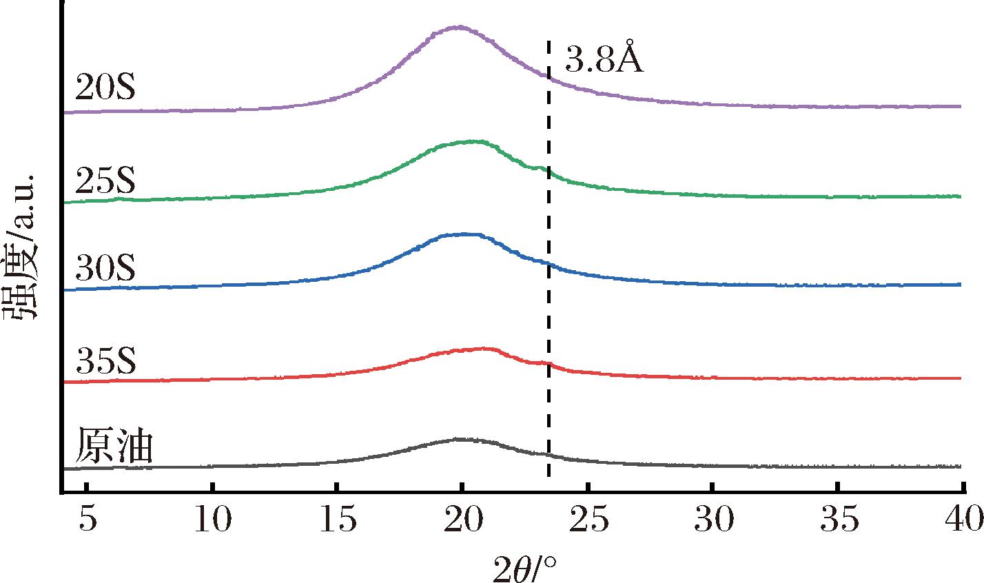
2.5 羊尾油分提组分的晶型

由图2可知,所有组分整体呈现出无定型的馒头峰,未表现明显的区别。所有样品均在3.8 Å处展现了极弱的衍射峰,对应于油脂的β′晶型[33]。β′晶型的结构细密具有良好的涂抹性和光滑性,具有β′晶型的高熔点固脂是制作起酥油和人造奶油的理想用油[34]

图2 羊尾油分提物的XRD曲线

Fig.2 XRD curves of sheep tail oil fractions

2.6 羊尾油分提组分的晶体形貌

如图3所示,晶体的含量分别是35S>原油>30S>25S>20S。这是由于35S的饱和脂肪酸含量最高,饱和脂肪酸熔点较高,在缓慢冷却过程中会先析出成晶体状。由DSC曲线能够看出35S的初始结晶峰温度为27.2 ℃相较于其他组分结晶峰温度最高,这导致35S在偏振光显微镜下显现出最多的晶体含量,原油、30S、25S、20S的结晶峰温度逐渐降低,于此对应晶体含量逐渐减少。该部分现象与DSC数据相吻合。

图3 羊尾油分提组分偏振光显微镜图

Fig.3 Polarized light microscope diagram of the sheep tail oil fractions

2.7 羊尾油分提组分的流变学性质

样品的剪切应力与剪切速率的关系如图4所示,随着剪切速率的增大,样品的应力随之下降。其中35S的黏度最高(871.5 Pa·s),其次是原油(474.1 Pa·s)和30S(48.36 Pa·s)。这是由于油脂的黏度受其脂肪酸的饱和程度和分子结构影响,不饱和脂肪酸呈现为非线性结构,而饱和脂肪酸呈现为线性锯齿结构,这导致饱和脂肪酸分子间的接触面积更大,相较于不饱和脂肪酸具有更高的黏度[35]。而25S、20S、20L的黏度并无显著差异。这是由于在37 ℃下上述3个组分均为液体,具有良好的流动性。

图4 羊尾油分提组分的黏度

Fig.4 Viscosity of the sheep tail oil fractions

2.8 面包的表观分析

图5显示了所有面包焙烤后的平面状态及剖面状态,相较于其他面包35S基起酥油面包的体积最大,横切面高度较高,气孔多且致密蓬松,表面色泽明亮,与比容和质构的分析相一致。

图5 不同起酥油面包的表观形态

Fig.5 Apparent morphology of different shortening breads

2.9 不同油脂对面包比容的影响

比容是焙烤食品重要的指标,能反映面团的膨胀性[36]。由图6可以看出,以35S作为起酥油的面包比容显著高于原油及市售猪油起酥油(P<0.05),可达到3.25 mL/g。这可能是由于35S中晶格稳定细腻的β′晶型使油脂相对均匀的分布于面团中,形成油脂隔离层,有效地保留了发酵过程中的产生的气体[37]

图6 油脂的种类对面包比容的影响

Fig.6 Effect of the type of fat on bread specific volume

注:图中不同小写字母表示显著差异(P<0.05)(下同)。

2.10 不同油脂对面包质构的影响

由表6可以看出,3种起酥油面包的弹性与内聚性无显著差异,但35S起酥油面包的硬度和咀嚼性显著低于原油起酥油面包(P<0.05),这是由于35S油脂中的β′晶型含量较高,有助于面团在搅打的过程中稳定的保留气体,从而使面包保持柔软的质地[38]。且35S起酥油面包整体质构特性与市售猪油起酥油面包相似,具有作为新型焙烤食品起酥油的能力。

表6 面包的质构分析

Table 6 Texture analysis of bread

2.11 不同油脂对面包水分含量的影响

面包的水分含量决定着面包的新鲜程度,也是衡量老化特性的重要标准。如图7所示,以35S为起酥油面包的水分含量最高(40.6%),与市售猪油起酥油面包(38.6%)相似,但显著高于羊原油起酥油面包(36.2%)。这可能依旧与油脂的晶格排列致密程度有关,晶格排列越有序形成的空间结构更致密,能够有效地阻止水分在焙烤过程中的流失。

图7 油脂的种类对面包水分含量的影响

Fig.7 Effect of the type of fat on bread moisture content

3 结论

本研究通过逐级降温的方式分提出不同熔点的羊尾油组分,其过氧化值、碘值、酸价均符国家标准,可应用于食品加工中。各组分在脂肪酸组成和热力学性能上具有明显差异。高熔点组分中饱和脂肪酸含量较高,其熔点范围在(46.6~40.2 ℃),晶体含量和黏度更高,在4 ℃时呈现β′晶型,适合用于起酥油、人造奶油等。低熔点组分中的饱和脂肪酸较原油有所降低,熔点范围在(39.7~23.2 ℃),流动性更好。以35S为起酥油面包的比容、质构性质、水分含量均优于原油基起酥油面包且与市售猪油基起酥油面包相似。羊尾油的分提拓宽了羊尾油的应用范围,为食品加工提供选择了新选择。

参考文献

[1] 冀祥, 高爱琴, 李卿, 等.不同性别苏尼特羊屠宰性能与肉品质研究[J].中国畜牧兽医, 2020, 47(10):3224-3231.JI X, GAO A Q, LI Q, et al.The effect of gender on slaughtering performance and meat quality in sunite sheep[J].China Animal Husbandry &Veterinary Medicine, 2020, 47(10):3224-3231.

[2] 於建国. 新疆地方品种绵羊尾脂利用现状与展望[J].中国畜禽种业,2021,17(10):117-118.YU J G.Present situation and prospect of tail fat utilization of Xinjiang local breeds of sheep[J].The Chinese Livestock and Poultry Breeding,2021,17(10):117-118.

[3] ÜNSAL M, AKTA N.Fractionation and characterization of edible sheep tail fat[J].Meat Science,2003,63(2):235-239.

[4] 王铁男, 刘莉.羊尾脂的研究及利用现状[J].草食家畜, 2021(3):6-10.WANG T N, LIU L.Current situation of research and utilization of sheep tail fat[J].Grass-Feeding Livestock, 2021(3):6-10.

[5] 胡佳慧, 肖丹虹, 林智宏, 等.乌鬃鹅油干法分提工艺的优化[J].粮食与油脂, 2022, 35(11):60-64.HU J H, XIAO D H, LIN Z H, et al.Study on dry fraction technology of black bristle goose oil[J].Cereals &Oils, 2022, 35(11):60-64.

[6] ZALIHA O,CHONG C L,CHEOW C S,et al.Crystallization properties of palm oil by dry fractionation[J].Food Chemistry, 2004,86(2):245-250.

[7] 刘一丽. 羊尾油的水酶提取、改性及其在起酥油中的应用[D].无锡:江南大学,2023.LIU Y L.Aqueous enzyme extraction modification of sheep tail oil and its application in shortening[D].Wuxi:Jiangnan University,2023.

[8] 牧丹, 苏日娜, 白文明, 等.苏尼特羊羊尾油的理化性质测定与分提后脂肪酸组成分析[J].中国油脂, 2023, 48(3):25-27.MU D, SU R N, BAI W M, et al.Physicochemical properties of Sunite sheep tail oil and analysis of fatty acid composition after dry fractionation[J].China Oils and Fats, 2023, 48(3):25-27.

[9] 邢田, 韩玲, 余群力, 等.牛油的干法分提工艺优化及其对脂肪酸组成的影响[J].食品与发酵科技, 2020, 56(6):1-6.XING T, HAN L, YU Q L, et al.Optimization of tallow dry separation process and its effect on fatty acid composition[J].Food and Fermentation Sciences &Technology, 2020, 56(6):1-6.

[10] GRALL D S, HARTEL R W.Kinetics of butterfat crystallization[J].Journal of the American Oil Chemists’ Society, 1992, 69(8):741-747.

[11] 孙美青. 牦牛乳脂肪干法分提及分提物性质研究[D].哈尔滨:哈尔滨工业大学, 2016.SUN M Q.Study on yak milk fat dryfractionation and properties of the fractions[D].Harbin:Harbin Institute of Technology, 2016.

[12] MULYONO M E, LUBIS M E S, YUDANTO B G, et al.Application of dry fractional crystallisation on High-Oleic Low-Palmitic red palm super olein production[J].International Journal of Food Science &Technology,2023,58(6):3402-3409.

[13] ABBAS H, EL-HAMID L A, KASSE J, et al.Vital lipids contents in buffalo butter oil and its fractions prepared by dry fractionation[J].Egyptian Journal of Chemistry, 2020.

[14] 刘丹, 何鑫, 李涛, 等.不同品种脂臀羊尾脂品质的比较分析[J].现代食品科技, 2019, 35(4):244-249;300.LIU D, HE X, LI T, et al.Comparative analysis of the quality of different varieties of fat buttocks[J].Modern Food Science and Technology, 2019, 35(4):244-249;300.

[15] 孙佳宁. 羊臀脂提取、分提及氧化稳定性研究[D].乌鲁木齐:新疆农业大学, 2022.SUN J N.Study on oxidation stability of sheep hips fat extraction, fractionation and oxidation [D].Urumqi:Xinjiang Agricultural University, 2022.

[16] 张白曦, 宋宇航, 杨芹, 等.甲酯化方法对甘油三酯和游离型脂肪酸混合物脂肪酸分析的影响[J].中国粮油学报, 2016, 31(9):95-99.ZHANG B X, SONG Y H, YANG Q, et al.Comparison of methyl esterification methods in fatty acids determination of the mixture composed of triglycerides and free fatty acids[J].Journal of the Chinese Cereals and Oils Association, 2016, 31(9):95-99.

[17] GMEZ-ALONSO S, MANCEBO-CAMPOS V, DESAMFARADOS, SALVADOR M, et al.Oxidation kinetics in olive oil triacylglycerols under accelerated shelf-life testing (25-75 ℃)[J].European Journal of Lipid Science and Technology, 2004, 106(6):369-375.

[18] 陈雨杭. 油脂结晶影响可充气乳状液稳定性的研究[D].无锡:江南大学, 2023.CHEN Y H.Effects of fat crystallization on the stabilities of aerated emulsions [D].Wuxi:Jiangnan University, 2023.

[19] 艾月, 陈雪风, 王国任, 等.海藻酸钠基大米新鲜度指示水凝胶的制备及其应用[J].包装工程, 2021, 42(9):169-176.AI Y, CHEN X F, WANG G R, et al.Preparation and application of sodium alginate-based rice freshness indicator hydrogel[J].Packaging Engineering, 2021,42(9):169-176.

[20] XIE P K, JI G Z, JIN J, et al.Partial coalescence and whipping capabilities of dairy aerated emulsions as affected by inclusion of monoglycerides with different fatty acid species[J].International Journal of Dairy Technology, 2023, 76(1):81-92.

[21] 舒楠茜. 牛油替代脂的制备及其在火锅底料中的应用[D].无锡:江南大学, 2022.SHU N X.Preparation of beef tallowsubstitute and its applications in hotpot seasoning[D].Wuxi:Jiangnan University, 2022.

[22] CHIN N L, RAHMAN R A, HASHIM D M, et al.Palm oil shortening effects on baking performance of white bread[J].Journal of Food Process Engineering, 2010, 33(3):413-433.

[23] 王辉. 棉籽油酯交换法制备零反式脂肪酸起酥油的研究[D].无锡:江南大学,2014.WANG H.The study of zero-trans acid shortening based on cottonseed oil by intererterification[D].Wuxi:Jiangnan University,2014.

[24] 石长波, 梁昌谋, 赵钜阳, 等.儿茶素对面包贮藏期内氧化性质和感官品质的影响[J].包装工程, 2023, 44(13):120-131.SHI C B, LIANG C M, ZHAO J Y, et al.Effects of catechin concentration on oxidative property and sensory quality of bread during storage[J].Packaging Engineering, 2023, 44(13):120-131.

[25] 何颖, 迟玉杰, 迟媛.复配蛋液对小麦面团流变学特性和面包品质的影响[J].食品工业科技, 2025, 46(10):93-101.HE Y, CHI Y J, CHI Y.Effect of reconstituted liquid egg on the rheological properties of wheat dough and bread quality[J].Science and Technology of Food Industry, 2025, 46(10):93-101.

[26] MANRAL M, PANDEY M C, JAYATHILAKAN K, et al.Effect of fish (Catla catla) frying on the quality characteristics of sunflower oil[J].Food Chemistry, 2008, 106(2):634-639.

[27] 李保祥,马鑫,谢思旎,等.壳聚糖-肉桂精油复合涂膜的制备及其对核桃贮藏品质的影响[J].包装工程,2023,44(21):152-160.LI B X, MA X, XIE S N, et al.Preparation of chitosan cinnamon essential oil composite film and its effect on walnut storage quality[J].Packaging Engineering,2023,44(21):152-160.

[28] 张东, 段晓亮, 王少甲, 等.烘烤对亚麻籽油理化品质、化学组成和抗氧化活性的影响[J].中国食品学报, 2023, 23(12):105-113.ZHANG D, DUAN X L, WANG S J, et al.Effect of dry-air roasting on the physicochemical properties, chemical composition, and antioxidant activities of flaxseed oils[J].Journal of Chinese Institute of Food Science and Technology, 2023, 23(12):105-113.

[29] 苏奕, 柴秀航, 韩宛君, 等.油脂组成和结晶特性对奶油品质和搅打性能的影响[J].食品科学, 2024, 45(4):50-59.SU Y, CHAI X H, HAN W J, et al.Effects of fat composition and crystallization characteristics on the quality and whipping performance of cream[J].Food Science, 2024, 45(4):50-59.

[30] 王欣, 殷晓琳, 杨国龙, 等.硬脂组成对其热性质、微观结构及形态的影响[J].中国油脂, 2023, 48 (11):57-64;72.WANG X, YIN X L, YANG G L, et al.Effect of hard fats compositions on their thermal properties, microstructure and morphology[J].China Oils and Fats, 2023, 48 (11):57-64;72.

[31] CHE MAN Y B, HARYATI T, GHAZALI H M, et al.Composition and thermal profile of crude palm oil and its products[J].Journal of the American Oil Chemists’ Society, 1999, 76(2):237-242.

[32] 刘琳, 谢勇, 刘越, 等.低胆固醇牛油的制备及其理化性质分析[J].食品与发酵工业, 2020, 46(22):187-195.LIU L, XIE Y, LIU Y, et al.Preparation and physicochemical properties of low cholesterol tallow[J].Food and Fermentation Industries, 2020, 46(22):187-195.

[33] RIBEIRO A P B, BASSO R C, GRIMALDI R, et al.Influence of chemical interesterification on thermal behavior, microstructure, polymorphism and crystallization properties of canola oil and fully hydrogenated cottonseed oil blends[J].Food Research International, 2009,42(8):1153-1162.

[34] 宦慧琳, 邵昱龙, 崔利敏, 等.无水黄油干法分提及其分提组分特性性质的研究[J].中国油脂, 2025(10):122-128.HUAN H L, SHAO Y L, CUI L M, et al.Research on characteristics and propertiesof dry fractionated anhydrous milk fats[J].China Oils &Fats, 2025(10):122-128.

[35] GOMES A, COSTA A L R, CUNHA R L.Impact of oil type and WPI/Tween 80 ratio at the oil-water interface:Adsorption, interfacial rheology and emulsion features[J].Colloids and Surfaces B:Biointerfaces, 2018, 164:272-280.

[36] ZHENG T S.Studies on application of texture analyzer to the quality evaluation of dough and bread.Food Science.2004;25(10):37-40.

[37] 高厚斌. 工业化酥皮油结晶行为与延展性能关系研究[D].无锡:江南大学,2023.GAO H B.Study on the correlation between crystallization behavior and ductility of industrial sheet margarine[D].Wuxi:Jiangnan University, 2023.

[38] 羊世远. 植物蜡基油凝胶结晶网络的构建及其对面包品质影响研究[D].南昌:江西农业大学,2024.YANG S Y.Construction of gel crystallization network of plant wax-based oleogels and its effect on bread quality[D].Nanchang:Jiangxi Agricultural University,2024.

Multi-step dry fractionation and physicochemical property analysis of tail oil of Sunit sheep

REN Hangqi1,2, LIU Linze1,2, WANG Lu1,2, SHI Jiayu1,2, DONG Tongliga1,2,WANG Yunfei2,3, LI Shaobo2,4, YUN Xueyan1,2*

1(College of Food Science and Engineering, Inner Mongolia Agricultural University, Hohhot 010018, China) 2(Engineering Research center of Comprehensive utilization of livestock by-products of Inner Mongolia Autonomous Region, Hohhot 010018, China)3(Bayannur Institute of Agricultural and Animal Husbandry Science, Bayannur 015000, China) 4(Chinese Academy of Agricultural Sciences, Ministry of Agriculture and Rural Affairs, Beijing 100193, China)

ABSTRACT To broaden the application range of sheep tail oil, multi-stage dry fractionation technology with step-by-step temperature reduction was adopted to classify sheep tail oil into five different melting point fractions, namely, 35S, 30S, 25S, 20S, and 20L.The study analyzed the peroxide value, iodine value, acid value, fatty acid composition, thermodynamic properties, crystalline properties, and rheological properties of each component and applied the results in shortening bread production.Results showed that the physicochemical properties of the components were in accordance with the requirements of the national standard, among which the 35S component had the highest saturated fatty acid content (49.69%), the 20 L component had the highest unsaturated fatty acid content (57.45%), and the initial melting temperatures of the components were the highest at 46.6 ℃ and the lowest at 23.2 ℃.The high melting point fractions showed β′ crystal type with higher crystal content and higher viscosity.The specific volume, textural properties, and moisture content of the bread with 35S as the shortening were better than those of the commercially available lard-based shortening bread.This study provides a basis for the application of tail oil of lamb in food processing.

Key words sheep tail oil; dry fractionation; fatty acids; crystalline properties; thermodynamic properties; bread

第一作者:硕士研究生(云雪艳副教授为通信作者,E-mail:yun_imau@163.com)

基金项目:内蒙古巴彦淖尔市科技计划项目(K202309);自治区一流学科科研专项(YLXKZX-NND-017);内蒙古自治区高等学校国际科技合作项目(GHXM-003);内蒙古自治区留学人员创新创业启动支持计划项目(2024);内蒙古农业大学食品科学与工程学院本科生第十届科技创新基金项目(202401011);畜产副产物综合利用内蒙古自治区工程研究中心能力建设项目(BR251027)

收稿日期:2025-04-22,改回日期:2025-07-17

DOI:10.13995/j.cnki.11-1802/ts.043091

引用格式:任航歧,刘霖泽,王露,等.苏尼特羊尾油的多级干法分提及理化性质分析[J].食品与发酵工业,2026,52(4):303-310.REN Hangqi,LIU Linze,WANG Lu, et al.Multi-step dry fractionation and physicochemical property analysis of tail oil of Sunit sheep[J].Food and Fermentation Industries,2026,52(4):303-310.