壳寡糖喷施对品丽珠葡萄酒风味品质的影响

李恺安1,蒋玉梅1,2,强文乐1,王红娟1,张波1,2,杨利兵3,MORATA ANTONIO4,马腾臻1,2*

1(甘肃农业大学 食品科学与工程学院,甘肃 兰州,730070)2(甘肃省葡萄酒产业技术研发中心,甘肃 兰州,730070) 3(凉州农业生态科技有限公司,甘肃 武威,733006)4(马德里理工大学 高等农业工程技术学院,马德里,28040)

摘要 为探讨壳寡糖处理葡萄果实对葡萄酒影响的规律特征,该研究以品丽珠葡萄果实为试材,分别在膨大期和转色期进行壳寡糖喷施处理,采收成熟后的葡萄果实酿制成酒,分析其理化指标、香气物质及感官品质。结果表明,壳寡糖处理提高了葡萄果实的糖、酸、总酚等指标含量,所得葡萄酒的酒精度、总酸、总酚及单宁的含量均有提高,其中以转色期处理组酒样的提高最为明显。与对照组相比,处理组酒样中香气物质种类多、含量高,其中膨大期处理组酒样中C6/C9、支链、芳香族、降异戊二烯香气物质的含量最高,而转色期处理组酒样中萜烯类香气物质的含量最高。香气物质的综合分析表明,处理组酒样与苯乙醇、月桂酸、β-紫罗兰酮、庚酸乙酯、反-2-己烯醛和十二醛等香气物质相关性较强,对照组则与正戊醇、2-乙基己醇和壬酸乙酯等香气物质相关性较强。香叶基丙酮、月桂酸乙酯和橙花醇等15种香气物质则对不同处理组的酒样具有重要影响。感官评价结果表明,壳寡糖处理组酒样的感官品质均高于对照组,其中膨大期处理酒样的感官品质最佳。该研究可为采前壳寡糖喷施处理葡萄果实进而改善葡萄酒品质相关研究提供理论依据。

关键词 壳寡糖;品丽珠;葡萄酒;香气;感官品质

酿酒葡萄(Vitis vinifera L.)属葡萄科葡萄属(Vitis L.)植物,是我国重要的经济类作物之一[1]。品丽珠葡萄(Cabernet Franc)为欧亚种,原产法国,是波尔多最重要的三大红葡萄品种之一,并与赤霞珠(Cabernet Sauvignon)和蛇龙珠(Cabernet Gernischt)并称三珠[2]。品丽珠葡萄除具有较强的适应性外,其香气浓郁且复杂、单宁结构更加柔和且酸度适中,适合酿造优雅易饮的葡萄酒[3]

葡萄酒是葡萄果实经过破碎、发酵及陈酿等一系列流程所制,因此高品质的葡萄酒离不开优质的葡萄原料[4]。葡萄果实的品质受到品种、自然环境和栽培措施等因素的影响[5],由于自然环境难以改变,因此,那些能提高果实品质、间接改善微气候环境且生产成本较低的栽培措施逐渐成为研究热点[6]。研究表明,避雨栽培、疏花疏果、叶幕管理、叶面施肥及植物生长调节剂的使用可以改变葡萄果实成分,进而影响所得葡萄酒的品质[7-8]。其中,植物生长调节剂因具有效益高、能提高作物品质及增强抗逆性的特点近年来被视作提升植物品质的重要手段之一[5]。研究表明,使用苯并噻二唑及茉莉酸甲酯等植物生长调节剂可以提高葡萄果实的还原糖、可溶性固形物、百粒重等理化指标,并增加葡萄果实香气物质的种类及含量[9-11]。采前施用苯并噻二唑、赤霉素及脱落酸等植物生长调节剂所得葡萄酒的酒精度、总酸、总酚及挥发性香气物质的含量也显著高于对照组酒样[9-10]

壳寡糖是海洋甲壳动物的外壳——甲壳素经脱乙酰化得到壳聚糖后降解而来的,不仅可以诱导植物抗病性、促进植物生长,同时具有生物相容性好、不污染环境等优点[12]。研究显示,根部浇灌和叶面喷施壳寡糖均可促进果实膨大并提高其理化指标,叶面喷施不同浓度壳寡糖还可提高樱桃番茄、草莓和苹果的株高,成熟果实的硬度,总酚、叶绿素、可溶性固形物和花色苷含量[13-15]。此外,有学者发现壳寡糖处理葡萄果实后酿制而成的葡萄酒具有更高含量的挥发性香气物质,特别是醇及缩醛类香气物质[16-17]。虽然关于壳寡糖对葡萄果实及所得葡萄酒化学成分的影响已有研究,但采前不同时期喷施壳寡糖对葡萄果实及葡萄酒风味品质的影响相关研究依然鲜见报道。

本研究以品丽珠葡萄为原料,分别在膨大期及转色期对葡萄果实进行壳寡糖喷施处理,果实成熟后采收酿酒,分析所得葡萄酒的理化指标、酚类物质以及挥发性香气化合物差异,探讨壳寡糖处理对品丽珠葡萄酒理化指标和风味品质的影响,以期为高品质品丽珠葡萄酒的酿造提供技术支持和科学参考。

1 材料与方法

1.1 材料与试剂

壳寡糖,山东海龙元生物科技有限公司;吐温80(分析纯),烟台市双双化工有限公司;无水葡萄糖、碳酸钠、盐酸、五水合硫酸铜、酒石酸钾钠、氢氧化钠等均为分析纯,天津市光复精细化工研究所;果胶酶、Lalvin ICV D254,法国Lallemand公司;2-辛醇(色谱纯),美国Sigma公司;氯化钠,(分析纯),天津市科密欧化学试剂有限公司;斐林试剂、次甲基蓝指示剂及酚酞指示剂等均按GB/T 603—2023《化学试剂 试验方法中所用制剂及制品的制备》进行配制。

1.2 仪器与设备

PHS-3C pH计,上海雷磁有限责任公司;Thermo Scientific 265079 气相色谱-质谱联用仪(GC-MS)、ISQ型单四级杆质谱仪,美国Thermo Scientific公司;DB-WAX色谱柱(60 m×2.5 mm×0.25 μm),美国Agilent Technologies公司;H2050R台式高速冷冻离心机,长沙湘仪离心机仪器有限公司;50/30 UM DVB/CAR/PDMS萃取头,上海安谱科学仪器有限公司;CP 214电子分析天平,上海奥豪斯仪器有限公司;18100摩尔超纯水机,重庆摩尔水处理设备有限公司;Genesis 10S型紫外-可见分光光度计,美国Thermo Scientific公司;3WBL-20L电动喷雾器,安徽阜阳明辉塑胶科技有限公司;DF-II集热式恒温磁力搅拌器,金坛市恒丰仪器制造有限公司;AL-X手持数显糖度计,日本ATAGO公司;福斯多功能葡萄酒分析仪WineScan,丹麦Foss公司。

1.3 实验方法

1.3.1 葡萄果实田间处理及样品采收

在武威市凉州区凉州农业生态科技有限公司葡萄种植基地选取长势基本一致的品丽珠酿酒葡萄,设计随机区组试验。确定田间壳寡糖处理溶液添加量:壳寡糖1 g/L、乳化剂(吐温80)0.1%(体积分数)。在葡萄果实膨大期(2023年7月1日)及转色期(2023年8月7日)选择树势、负载量基本一致的葡萄植株,使用电动喷雾器对整株葡萄喷施壳寡糖溶液(COS组);对照组(CK)喷施体积分数0.1%吐温80水溶液,喷至叶面和果穗表面覆盖均匀且滴水为止,并设置3个生物重复。葡萄于2023年9月21日采收,液氮速冻后,当天运抵实验室,并用-80 ℃超低温冰箱保存。

1.3.2 品丽珠葡萄酒酿造工艺流程及操作要点

工艺流程为:

葡萄原料→除梗破碎→低温浸渍→酒精发酵→添加SO2结束发酵→澄清→装瓶→成品

操作要点:将品丽珠葡萄果实进行筛选并进行手工破碎后加入50 mg/L SO2及20 mg/L果胶酶,在8 ℃下浸渍24 h。浸渍后加入100 mg/L酿酒酵母D254在18~22 ℃进行酒精发酵,当残糖量低于4 g/L时终止发酵,加入40 mg/L SO2转罐进行转罐贮藏、自然沉淀、过滤后装瓶(6个月),并密封贮存。

1.3.3 理化指标测定

葡萄果实的理化指标(总可溶性固形物、还原糖、可滴定酸度和pH值)使用成分分析仪进行测定。

葡萄酒的总糖、总酸、挥发酸、酒精度含量的测定使用葡萄酒成分分析仪进行测定。

葡萄果实(鲜重)及葡萄酒总酚、葡萄酒中总花色苷含量的测定:参照孙永蓉等[18]的方法,并略作修改。

葡萄果实中总酚含量的测定:称取1.5 g葡萄皮粉末,用15 mL酸化甲醇溶液[1 mol/L,V(HCl)∶V(甲醇)∶V(水)=1∶80∶19],在25 ℃条件下超声提取30 min,然后7 500×g低温离心15 min,收集上清液,合并提取液。总酚的测定:采用福林-肖卡法进行测定,结果以没食子酸等价表示(mg/g)。

葡萄酒中总酚含量的测定采用福林-肖卡法测定总酚含量:以没食子酸质量浓度计。将样品(1 mL)与福林酚试剂(1 mL)混合反应3 min,加入1.5 mL质量分数7.5%碳酸钠溶液。避光2 h,测定OD765值。测定标准曲线结果为y=0.101 3x+0.005 6,y为吸光度,x为没食子酸含量,R2=0.999 7。

葡萄酒中总花色苷含量的测定:取待测样品0.2 mL 分别用pH 4.5(0.2 mol/L NaCO3缓冲液)和pH 1.0(0.2 mol/L KCl缓冲液)稀释,静置100 min,在510和700 nm处测定2种样品的吸光度。根据公式(1)计算样品总花色苷含量:

总花色苷含量/(mg/L)

(1)

式中:ΔApH1.0,样品处于pH 1.0缓冲溶液时分别在510和700 nm处的吸光值之差;ΔApH4.5,样品处于pH 4.5缓冲溶液时分别在510和700 nm处的吸光值之差;449.2,矢车菊素-3-O-葡萄糖苷的摩尔质量,g/mol;10,稀释倍数;26 900,矢车菊素-3-O-葡萄糖苷的摩尔消光系数,L/(mol·cm);1 000为单位转化常数。

葡萄酒中单宁含量的测定:参照房楠楠等[19]的方法进行测定:先用去离子水将酒样稀释50倍,取2支具塞试管分别标记为试管A和试管B,2支试管中各加入1 mL稀释后的酒样、0.5 mL去离子水、1.5 mL浓盐酸,试管A在遮光条件下沸水浴30 min后迅速冷却,试管B在遮光条件下室温放置30 min,然后2支试管中各加入0.25 mL无水乙醇,分别在550 nm处测定吸光值(Abs),单宁含量(C)的计算如公式(2)所示:

C单宁/(g/L)=(AAbs550nm-BAbs550nm)×19.33

(2)

葡萄酒颜色参数的测定:参照刘彩云等[20]的方法进行测定,样品经0.22 μm水系滤膜过滤后加入光径为2 mm的石英比色皿中,利用分光测色计(仪器设定条件:透射率模式,D65观测光源,观察者角度为10°)分析样品颜色参数,其中值代表葡萄酒的明暗程度(色度),该值越大,饱和度越高;hab值则代表葡萄酒色调,根据其值的大小可以进行色相的划分。每个样品做2个独立重复。

1.3.4 挥发性香气成分的测定

参考马腾臻等[21]方法,取5 mL酒样置于15 mL顶空瓶中,加入1 g氯化钠和10 μL 1 000 μg/L内标2-辛醇,加转子密封,置于磁力搅拌器上,40 ℃下水浴平衡30 min后顶空萃取30 min。萃取结束后,将萃取头插入GC-MS联用仪进行香气检测。

色谱条件:色谱柱:DB-WAX(60 m×2.5 mm×0.25 μm);升温程序:40 ℃保持5 min,以3.5 ℃/min升至200 ℃,保持10 min;载气(He)流速1 mL/min;进样口温度230 ℃;不分流进样。

质谱条件:电子轰击离子源(EI);电子能量70 eV;连接杆温度200 ℃;离子源温度250 ℃;质谱扫描范围m/z 50~350。

定性分析:采用保留指数和谱库检索比对进行定性,谱库比对时要求与系统自带的标准质谱库(NIST-11、Wiley及香精香料库)匹配度大于800。

定量分析:采用内标法进行半定量分析,内标为2-辛醇。计算如公式(3)所示:

(3)

式中:ρ,香气物质的质量浓度,μg/L;f,内标物的校正因子,f=1;S,测得香气物质的峰面积;c,内标物的质量浓度,μg/L;S0,测得内标物的峰面积。

1.3.5 感官品质评价

感官品质评价主要从葡萄酒的颜色外观、口感以及香气方面进行评定。感官评价由甘肃农业大学经过感官培训的品尝小组成员(5男5女)在工科楼二楼品酒室完成。感官评价标准参照中国葡萄酒感官评价体系标准进行,品尝小组成员对3种酒样分别从外观(澄清度及颜色)、香气(浓郁度、优雅细腻度、复杂性与变化)、口感(结构协调性、酒体醇厚感、单宁质感及强度、层次变化、余味)及整体(风格和典型性)这4个方面进行打分评定,统计品尝小组给出的各指标分数,计算每个指标的平均值后统计总分(满分100分)。

1.4 数据处理

利用Microsoft Office Excel 2016对样本(n=3)所得数据进行整理计算,采用IBM SPSS Statistics 19.0分析软件进行数据的差异显著性分析(多因素方差分析,Duncan法,P<0.05),使用SIMCA 14.1建立正交偏最小二乘判别分析(orthogonal partial least squares discriminant analysis,OPLS-DA)模型,对挥发性物质进行可视化趋势分析,并筛选特征香气物质。

2 结果与分析

2.1 壳寡糖处理对品丽珠葡萄酒理化指标的影响

由表1可知,壳寡糖处理可显著提高葡萄果实的基础理化品质。其中可溶性固形物、总酸及还原糖为G-CV(壳寡糖在转色期处理的葡萄果实,grape-chito-oligosaccharide veraison)提升最为显著,总酚则是G-CS(壳寡糖在膨大期处理的葡萄果实,grape-chito-oligosaccharide swelling)提升显著。由表2可知,3组酒样的各项指标均符合GB/T 15037—2006《葡萄酒》要求。壳寡糖处理组酒样的酒精度显著高于对照组(P<0.05)。葡萄果实中的糖含量对葡萄酒的酒精度具有至关重要的作用,在葡萄酒发酵过程中葡萄中的糖在酵母的作用下可以转化为酒精及CO2;壳寡糖处理提高了葡萄果实的还原糖含量(表1),并进一步提高葡萄酒的酒精度。此外,酸是葡萄酒中的重要组成部分之一,酸的含量可以影响葡萄酒的风味口感、色泽以及微生物的稳定性[22]。壳寡糖处理组酒样的总酸含量升高,其中壳寡糖转色期处理酒样(chitosan oligosaccharide veraison wine, CVW)的提升最为显著(P<0.05)。壳寡糖可能通过调节抗氧化系统、提高光合速率等方式改善葡萄果实的生长[23]。光合作用的增强,为果实内有机酸的合成提供了更多的碳源,促进了有机酸的合成和积累,进而导致酸含量上升。3种酒样中的pH值有差距,CVW的pH最低,而CK的pH最高,这与酸的含量相对应。

表1 壳寡糖处理品丽珠葡萄果实基础理化指标

Table 1 Basic physicochemical indicators of Cabernet Franc grape with chitosan oligosaccharides

注:不同小写字母表示显著性差异(P<0.05)(下同)。

样品可溶性固形物含量/°Brix还原糖含量/(g/L)总酸含量/(g/L)pH值总酚含量/(mg/g)G-CK23.4±0.08226.73±1.574.62±0.043.71±0.0132.14±0.78G-CS24.6±0.4239.90±3.454.95±0.043.79±0.0234.77±0.59G-CV24.9±0.08241.40±0.575.12±0.043.82±0.0233.59±0.13

表2 壳寡糖处理品丽珠葡萄酒基础理化指标

Table 2 Basic physicochemical indicators of Cabernet Franc wine treated with chitosan oligosaccharides

注:为色饱和度,hab为色调角。

由表2可知,壳寡糖的施用使葡萄酒中总酚、单宁含量呈增加的趋势。与CK相比,壳寡糖膨大期处理酒样(chitosan oligosaccharide swelling wine, CSW)中总酚含量显著增加19.17%,CVW处理使总酚含量显著增加20.54%。CSW和CVW处理酒样的单宁含量比CK高24.67%和7.33%。QIANG等[24]研究发现,壳寡糖在不同时期处理可以提高葡萄果实中总酚的含量;这与本试验的研究结果一致,推测出现这种现象的原因是壳寡糖激活了苯丙氨酸解氨酶(phenylalanine ammonia lyase, PAL),PAL是负责酚类生物合成的苯丙酸代谢途径中的关键酶。此外,壳寡糖处理组酒样提高了总花色苷的含量,与CK相比CSW及CVW分别提高6.15%和7.58%。这是由于壳寡糖处理可以诱导与花色苷合成相关的关键酶基因的表达,如查尔酮合酶和黄烷酮3-羟化酶等,这些基因的上调可以促进花色苷的合成及积累[25]。由表2 可知,CSW的hab值显著高于其他酒样。由此可知,壳寡糖处理酒样可以使葡萄酒的颜色更深的同时也使酒体颜色偏紫色或红色。

2.2 壳寡糖对品丽珠葡萄酒香气物质的影响

由表3可知,3种酒样中共检测出61种香气物质,其中CK检测出44种香气物质、CSW检测出59种香气物质,而CVW则检出53种香气物质。由此可知,壳寡糖处理组酒样的香气物质种类数量显著增加。此外,在香气物质含量方面CK检测出12 724.52 μg/L,而CSW及CVW则检测出13 362.15、13 116.86 μg/L,处理组酒样显著提高了香气物质的含量。

表3 壳寡糖处理品丽珠葡萄酒香气含量的影响

Table 3 Effect of chitosan oligosaccharides treatment on aroma content of Cabernet Franc wine

续表3

注:“—”表示该物质未检出;“/”表示该物质的阈值未查到相关资料。

2.2.1 脂肪酸代谢香气物质

脂肪酸代谢主要包括β-氧化途径和脂氧合酶途径,以不饱和脂肪酸为前体,通过氧化降解等方式转变为直链醇、醛、酮及酯类香气物质,这些香气物质通常被描述为青草香及果香,也是葡萄果实含量最高的香气物质[9]

试验酒样共定性定量检测出7种C6/C9香气物质(表3),其中CK检测出6种香气物质,CSW及CVW检测出7种香气物质。此外,CSW及CVW的C6/C9香气物质含量均显著高于CK;与CK相比,CSW和CVW香气物质含量提高31.6%和21.93%(图1)。3种酒样中CSW的正壬醛及己酸乙酯的含量最高而CK最低(高39.34%、18.22%),并且这2种香气物质的含量占总C6/C9香气物质含量的90%以上,这也是导致不同处理组间C6/C9香气物质含量的差异的原因,这2种物质可以为葡萄酒体提供花香及果香。此外,由图1可知,正己醛、反-2-己烯酸、正己酸及己酸乙酯为处理组酒样表现突出的香气物质。

a-C6/C9香气物质总含量;b-直链脂肪族香气物质总含量;c-C6/C9香气热图;d-直链脂肪族香气热图

图1 脂肪酸香气物质含量及热图

Fig.1 Fatty acid aroma substance content and heatmap

试验酒样共定性定量检测出27种直链脂肪族香气物质(表3),其中CK、CSW及CVW分别检测出23、27及22种香气物质。在香气物质含量方面,对照组酒样的香气物质含量高于处理组酒样,并以CSW直链脂肪族香气物质含量的降低最为明显(928.12 μg/L)。其中CK的差异香气物质为正戊醇、2-癸烯-1-醇及癸酸乙酯,而处理组酒样的差异香气物质为正丁酸、丙酸乙酯、正辛醛等7种物质。对照组酒样中正戊醇、辛酸乙酯及癸酸乙酯等香气物质含量均显著高于处理组酒样,其中正戊醇的含量最高(占直链脂肪族香气物质含量的50%),正戊醇可为酒体提供杂醇油气味。而乙酸乙酯及癸醛的香气物质含量则是处理组酒样高于对照,可为酒体提供果香及甜香。

脂氧合酶途径以亚油酸和亚麻酸为前体,在脂氧合酶等4种酶的催化下合成C6和C9醇、醛及其相应的酯[26]。本研究中,壳寡糖处理酒样的C6/C9香气物质含量高于对照组,但关于出现该现象的原理还有待进一步研究证明。研究发现,苯并噻二唑可以抑制葡萄果实中脂氧合酶、脂氢过氧化物裂解酶、醇脱氢酶和酰基转移酶的活性[27]。推测壳寡糖与苯并噻二唑部分机制类似,通过抑制葡萄果实中脂氧合酶途径的关键酶活(4种酶)降低直链脂肪族香气物质含量;进而使葡萄酒中相应香气物质含量产生变化。

2.2.2 氨基酸代谢香气物质

氨基酸代谢途径指以脂肪族氨基酸及芳香族氨基酸为前体并通过酶促反应生成香气物质。脂肪族氨基酸如缬氨酸、亮氨酸、异亮氨酸等可转化为支链芳香族醇、醛、酮和酯类香气物质,而芳香族香气物质则由芳香族氨基酸通过莽草酸途径转化而来[28]

试验酒样共检测出11种支链脂肪族香气物质,CK的香气物质数量为7种,而CSW及CVW的香气物质数量为10种(表3)。同时,壳寡糖处理组酒样的支链脂肪族香气物质含量也均高于对照组酒样(CSW与CVW分别比CK高47.03%和16.20%)(图2)。3种酒样中,CK的差异物质为2-乙基己醇,而壳寡糖处理组酒样则为异丁醇、异丁酸及乙酸异戊酯。由此可见,壳寡糖处理组酒样可显著提高支链脂肪族香气物质的种类及含量。4-甲基-1-戊醇及异戊酸为壳寡糖处理组酒样特有的香气组分,由于其具有酸或腐臭的味道,可能会给酒体带来不悦的香气。此外,壳寡糖处理组酒样中辛酸的含量显著高于对照组酒样(CSW与CVW分别比CK高68.97%和50.14%)。而3种酒样的乙酸异戊酯含量则是CSW最高(222.03 μg/L),CVW最低(134.96 μg/L)。

a-支链香气物质总含量;b-芳香族香气物质总含量;c-支链香气热图;d-芳香族香气热图

图2 氨基酸香气物质含量及热图

Fig.2 Amino acid aroma substance content and heatmap

试验酒样共定性定量检测出4种芳香族香气物质,CK的香气物质数量为2种,而CSW及CVW的香气物质数量为4种(表3)。芳香族香气物质含量中,壳寡糖处理组酒样显著高于对照组酒样,CSW及CVW的芳香族香气物质含量分别比CK高47.35%和7.63%,壳寡糖处理组酒样可以显著提高芳香族香气物质的种类数量及物质含量。此外,壳寡糖处理组酒样中的差异香气物质为苯甲醇及苯乙醇(图2-d)。在芳香族香气物质中,苯乙醇香气物质含量占芳香族香气物质含量的99.00%,各组酒样香气物质含量间的差异也是由此引起的,并且苯乙醇可以为酒体提供玫瑰香及蜂蜜香。

对于支链脂肪族与芳香族香气物质,壳寡糖处理组酒样中来自于氨基酸代谢的这两类物质含量显著高于对照组。这一现象可能涉及的机制是:壳寡糖可以通过增加氨基酸含量促进前体物质合成;如LIU等[29]研究发现硒与壳聚糖混合处理可以使‘红地球’葡萄果实的亮氨酸、异亮氨酸及缬氨酸等氨基酸物质含量上升。这些氨基酸物质作为葡萄果实中支链脂肪族及芳香族香气物质前体,其含量的升高会导致相应香气物质含量的变化,并影响葡萄酒中的香气物质含量。

2.2.3 异戊二烯代谢途径

异戊二烯代谢途径以可溶性糖为前体产生萜烯类及降异戊二烯类香气化合物,主要呈现花香、果香。异戊二烯在植物体内由2条路径生成,分别是通过细胞质内的甲羟戊酸途径和在质体内的2-C-甲基-D-赤藓醇-4-磷酸途径[30]

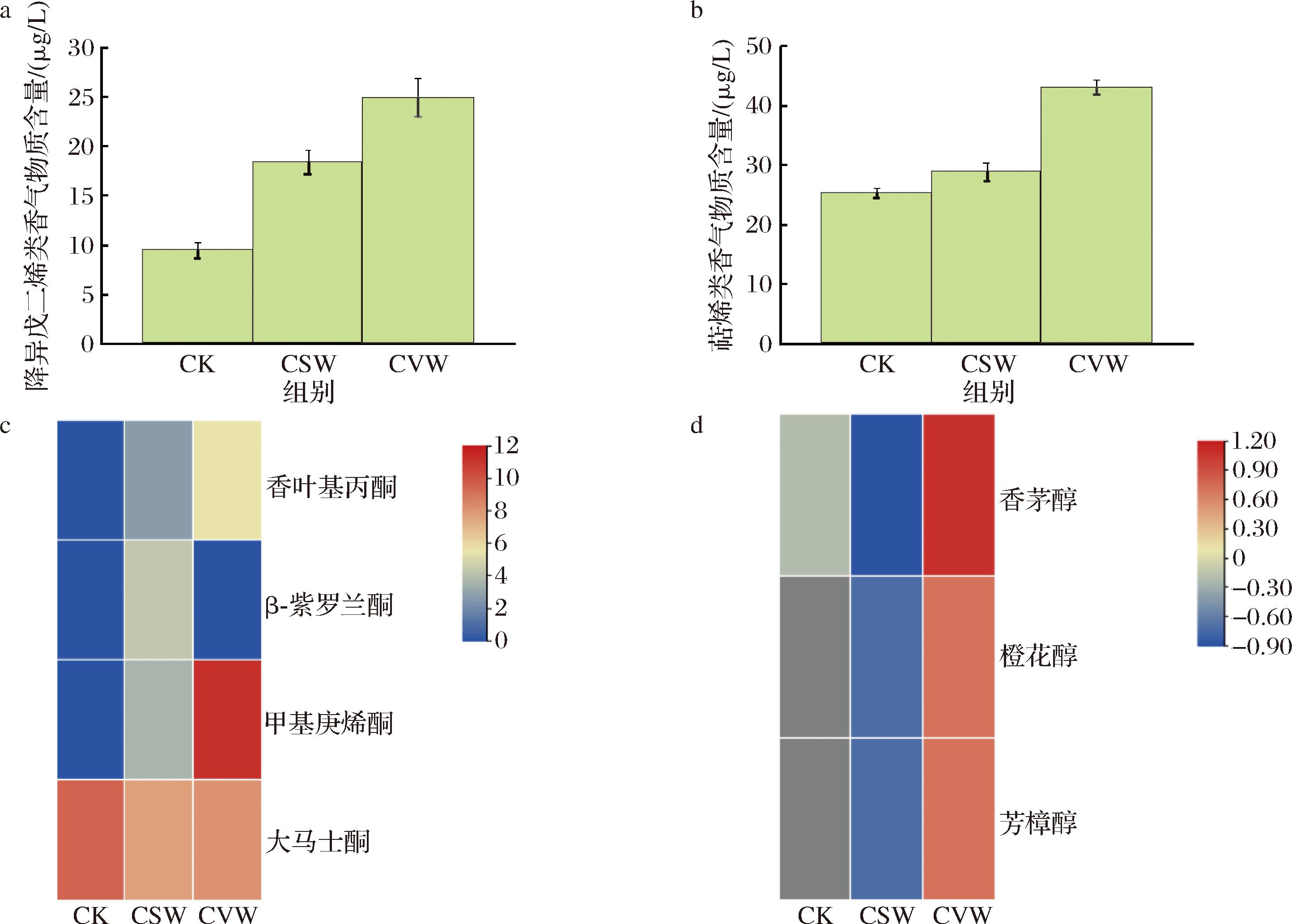
试验共定性定量检测出4种降异戊二烯类香气物质,CK、CSW及CVW的降异戊二烯类香气物质种类数量分别为1、4、3种(表3)。其中,处理组酒样的降异戊二烯类香气物质含量均显著高于对照组酒样(CSW及CVW分别比CK高92.75%和161.97%)(图3)。由图3可知,对照组酒样及壳寡糖处理组酒样的差异香气物质分别为大马士酮和甲基庚烯酮。由此可见,壳寡糖处理组酒样显著提高降异戊二烯类香气物质的种类数量及含量。CK仅检测到大马士酮一种香气物质,且该物质的含量高于CSW及CVW。大马士酮具有较低的阈值,因此可作为为酒体提供玫瑰香气的主体物质之一。

a-降异戊二烯类香气物质总含量;b-萜烯类香气物质总含量;c-降异戊二烯类香气热图;d-萜烯类香气热图

图3 异戊二烯香气物质含量及热图

Fig.3 Content and heat map of isoprene aroma compounds

本研究共定性定量检测出3种萜烯类香气物质,CK为1种,而CSW及CVW均为3种(表3)。在香气物质含量方面,与CK相比,CSW及CVW分别提高14.46%和70.95%。此外,由图3可知,香茅醇、橙花醇及芳樟醇均为各处理组中的差异显著香气物质。对照组仅检测到一种萜烯类香气物质——香茅醇,并且CK的香茅醇含量高于CSW但低于CVW。

类胡萝卜素在类胡萝卜素裂解双加氧酶(carotenoid cleavage dioxygenases,CCD)的作用下,会生成C13-降异戊二烯衍生物[31]。研究发现,在葡萄果实转色期前喷施萘乙酸可以促进果实中VviCCD4aVviCCD4b的表达,进而提高降异戊二烯类香气物质的含量[32];由此推测壳寡糖通过影响葡萄果实中CCD酶的活性或调控CCD基因家族的基因表达量来影响降异戊二烯类香气物质的含量。YUE等[33]研究发现,在转色期对马斯科特汉堡麝香葡萄喷施水杨酸可以增加单萜生物合成的相关基因(如VviPNLinNer1VviPNLinNer2VviPNLNGl2等)的转录,促进单萜香气物质的含量。因此,壳寡糖可能会通过对单萜生物合成的关键酶活或关键基因产生影响,进而调控萜烯类香气物质含量。

2.3 壳寡糖处理对品丽珠葡萄香气影响的综合分析

OPLS-DA通常用于多组建模差异分析,通过酒样中的挥发性香气物质建立壳寡糖处理对品丽珠葡萄酒影响的OPLS-DA模型(图4-a)。不同处理对香气影响的得分图(图4-b)可以显示不同处理之间的差别。此外,经过200次模型交叉验证,Q2回归线与纵坐标的交点小于0(图4-c),表明模型不存在拟合,模型验证有效,因此认为该结果的可信度高。变量重要性投影(variable importance in the projection,VIP)可用于分析OPLS-DA中各个变量对不同分类的贡献度,筛选出重要的特征物质(图4-d)。

a-OPLS-DA分析图;b-香气得分图;c-模型验证图;d-VIP图

图4 壳寡糖处理对品丽珠葡萄酒香气物质的影响

Fig.4 The effect of chitosan oligosaccharides treatment on aroma compounds in Cabernet Franc wine

葡萄酒挥发性香气物质的OPLS-DA结果如图4-a所示,CK酒样分布在第四象限,与呈现杂醇油、甜果和玫瑰香气的正戊醇、2-乙基己醇和壬酸乙酯等物质的相关性较强;CSW分布在第三象限,与呈现玫瑰香、果香和木兰香的苯乙醇、月桂酸和β-紫罗兰酮等香气物质相关性较强;而CVW则分布在第二象限,与呈现果香、青草味和肥皂味的庚酸乙酯、反-2-己烯醛和十二醛等香气物质的相关性较强。综上所述,对照组酒样与壳寡糖处理组酒样的香气品质差异显著,壳寡糖处理组酒样可以更加显著的影响苯乙醇、β-紫罗兰酮以及庚酸乙酯等香气物质的含量,进而改善酒样中的香气特性。

由图4-b可知,壳寡糖处理组酒样与对照组酒样得到了较好的区分,表明壳寡糖处理组酒样显著改变了葡萄酒的香气特性。VIP值越大,其变量的差异性越大,为了筛选不同香气化合物对葡萄酒的影响,以VIP值>1为指标。确定出对不同葡萄酒有重要影响的挥发性化合物15种,包括香叶基丙酮、月桂酸乙酯、橙花醇、癸酸乙酯、辛酸乙酯、乙酸乙酯和苯乙酸乙酯等香气物质,其可为酒体提供花香、木兰香、紫罗兰香等香气。

2.4 感官分析

如图5所示,各组酒样均符合葡萄酒的要求,酒体色调纯正,香味浓郁、口感协调。在外观方面,CK的澄清度比CSW及CVW好,色调更加纯正。在香气方面,与CK相比,CSW及CVW的浓郁度更强,口感更加优雅细腻且复杂性与变化更富有层次,其中CSW酒样的浓郁度、优雅细腻度及复杂性与变化的得分最高,这与前文处理组酒样香气物质中的己酸乙酯、乙酸乙酯、苯乙醇、乙酸苯乙酯、甲基庚烯酮等物质含量较高相互对应。对口感而言,CVW的结构协调性、酒体醇厚度、单宁质感强度的得分最高,而CSW则是层次变化和余味的得分最高。酒体整体的风格和典型性则是CSW的得分最高。综合评价分析可知,CSW酒样的感官评价最佳。

图5 壳寡糖处理对品丽珠葡萄酒感官轮廓的影响

Fig.5 The effect of chitosan oligosaccharides treatment on the sensory profile of Cabernet Franc wine

3 结论

壳寡糖处理葡萄果实所得酒样的酒精度、总酚、单宁、总花色苷及总酸的含量显著增加,且处理组酒样的酒体颜色更深。香气分析结果表明,与对照组酒样相比,处理组酒样的香气物质含量显著升高,其中膨大期处理酒样含量最高。对葡萄酒香气物质OPLS-DA及得分图综合分析可知,壳寡糖处理组酒样与苯乙醇、β-紫罗兰酮及庚酸乙酯等香气物质相关性较强,可赋予酒体更强的花果香气。此外,由VIP图分析可知香叶基丙酮、月桂酸乙酯及橙花醇等15种香气物质对各组酒样具有重要影响,并且可赋予酒体花香及果香等香气。感官评价结果表明,处理组酒样的综合感官品质高于对照组酒样,其中膨大期处理组酒样的感官品质最佳。

研究结果可为采前壳寡糖喷施进而提升所得葡萄酒品质相关研究提供理论依据和技术支持,但本研究中关于壳寡糖处理对葡萄果实香气影响的部分机理尚未明确,未来可在分析葡萄果实脂肪酸代谢、氨基酸代谢及异戊二烯代谢的基础上,进一步解析采前壳寡糖处理对品丽珠葡萄果实及葡萄酒品质影响的作用机制。

参考文献

[1] 田亚楠,苏丽,梁飞,等.行间生草对霞多丽葡萄及葡萄酒品质的影响研究[J].核农学报,2024,38(10):1995-2002.TIAN Y N, SU L, LIANG F, et al.Effect of inter-row planting grass on the quality of chardonnay grapes and wines[J].Journal of Nuclear Agricultural Sciences, 2024, 38 (10):1995-2002.

[2] 史红梅,张正文,王哲,等.‘品丽珠’葡萄不同营养系酚类物质差异分析[J].园艺学报,2020,47(8):1541-1551.SHI H M, ZHANG Z W, WANG Z, et al.Comparative analysis on phenolic compounds among different clones of Vitis vinifera ‘cabernet franc’[J].Acta Horticulturae Sinica, 2020, 47(8):1541-1551.

[3] WATERHOUSE A L, FROST S, UGLIANO M, et al.Sulfur dioxide-oxygen consumption ratio reveals differences in bottled wine oxidation[J].American Journal of Enology and Viticulture,2016,67(4):449-459.

[4] PONI S, GATTI M, PALLIOTTI A, et al.Grapevine quality:A multiple choice issue[J].Scientia Horticulturae, 2018, 234:445-462.

[5] 黄品水. 影响葡萄果实品质的因素分析及栽培管理[J].吉林农业, 2016(16):100.HUANG P S.Analysis of factors affecting grape fruit quality and its cultivation management[J].Agriculture of Jilin, 2016(16):100.

[6] 王江林,徐国前,杨帆,等.有机覆盖措施对葡萄生长特性和果实品质影响研究进展[J].核农学报, 2025, 39(1):201-211.WANG J L, XU G Q, YANG F, et al.Effects of organic mulching on grape growth characteristics and fruit quality:A review[J].Journal of Nuclear Agricultural Sciences, 2025, 39(1):201-211.

[7] XU X Q, CHENG G, DUAN L L, et al.Effect of training systems on fatty acids and their derived volatiles in Cabernet Sauvignon grapes and wines of the north foot of Mt.Tianshan[J].Food Chemistry,2015, 181:198-206.

[8] 陈春霞,张祯,孔祥锦,等.转色期BTH诱抗改变霞多丽葡萄果实理化品质和香气构成[J].农业工程学报, 2023,39(3):237-247. CHEN C X, ZHANG Z, KONG X J, et al.Physicochemical quality and aroma composition of Chardonnay berries changed by spraying BTH during veraison[J].Transactions of the Chinese Society of Agricultural Engineering, 2023,39(3):237-247.

[9] 韩雨岐,王建峰,关茹文,等.BTH施用对霞多丽葡萄和葡萄酒香气物质的影响[J].食品与发酵工业, 2024,50(24):58-67.HAN Y Q, WANG J F, GUAN R W, et al.Influence of benzothiadiazole on aroma substance of Chardonnay grapes (Vitis vinifera L.) and wines[J].Food and Fermentation Industries, 2024,50(24):58-67.

[10] 梁静怡,蔡晓月,张剑侠.植物生长调节剂处理对阳光玫瑰葡萄果实香气含量的影响[J].中国果树, 2024(9):30-36.LIANG J Y, CAI X Y, ZHANG J X.Effect of plant growth regulator treatment on aroma content of ‘Shine Muscat’ grape fruit[J].China Fruits, 2024(9):30-36.

[11] 冶楠,张珍,吕转转,等.茉莉酸甲酯类生长调节剂对‘蛇龙珠’葡萄果实品质及脂氧合酶代谢途径的影响[J].食品科学, 2024,45(8):248-256.YE N, ZHANG Z, LYU Z Z, et al.Effects of the plant growth regulator methyl jasmonate on fruit quality and lipoxygenase metabolic pathway of cabernet gernischt[J].Food Science, 2024, 45(8):248-256.

[12] 徐小菊,林玉平,金伟,等.壳寡糖对夏黑葡萄果实膨大和品质的影响[J].中外葡萄与葡萄酒,2017(2):26-29.XU X J, LIN Y P, JIN W, et al.Effects of oligochitosan on fruit enlagement and quality of Summer Black grape[J].Sino-Overseas Grapevine &Wine, 2017(2):26-29.

[13] 雷菲,张冬明,谭皓,等.叶面喷施壳寡糖对樱桃番茄产质量及晚疫病防控效果的影响[J].贵州农业科学,2019,47(9):74-77.LEI F, ZHANG D M, TAN H, et al.Effects of oligochitosan on yield, quality and Phytophthora infestans control of cherry tomato[J].Guizhou Agricultural Sciences, 2019, 47(9):74-77.

[14] 李映龙,单守明,刘成敏,等.叶面喷施壳寡糖对华脆苹果光合作用和果实品质的影响[J].农业科学研究,2019,40(3):19-22.LI Y L, SHAN S M, LIU C M, et al.Effects of foliar sprayed chitosan oligosaccharides on photosynthesis and fruit quality of Huacui apple[J].Journal of Agricultural Sciences, 2019, 40(3):19-22.

[15] HE Y Q, BOSE S K, WANG W X,et al.Pre-harvest treatment of chitosan oligosaccharides improved strawberry fruit quality[J].International Journal of Molecular Sciences, 2018, 19(8):2194.

[16] VITALINI S, RUGGIERO A, RAPPARINI F, et al.The application of chitosan and benzothiadiazole in vineyard (Vitis vinifera L.cv Groppello Gentile) changes the aromatic profile and sensory attributes of wine[J].Food Chemistry, 2014, 162:192-205.

[17] COLA G, MARIANI L, MAGHRADZE D, et al.Changes in thermal resources and limitations for Georgian viticulture[J].Australian Journal of Grape and Wine Research, 2020, 26(1):29-40.

[18] 孙永蓉,宫鹏飞,李蔚,等.茉莉酸甲酯处理对‘黑比诺’葡萄果皮酚类物质及其抗氧化活性的影响[J].食品与发酵工业,2021,47(12):196-202.SUN Y R, GONG P F, LI W, et al.Effects of methyl jasmonate treatment on phenolic compounds and antioxidant activity of ‘Pinot Noir’grape peel[J].Food and Fermentation Industries, 2021, 47(12):196-202.

[19] 房楠楠,王二伟,周瑶,等.单宁添加配套工艺对赤霞珠干红葡萄酒品质的影响[J].食品与发酵工业,2022,48(23):86-94.FANG N N, WANG E W, ZHOU Y, et al.Effect of tannins addition for the quality of Cabernet Sauvignon dry red wine[J].Food and Fermentation Industries, 2022, 48 (23):86-94.

[20] 刘彩云, 李慧颖, 张倩玮, 等.基于紫外可见光谱的红葡萄酒关键质量指标快速监测[J].农业机械学报, 2023, 54(6):401-409. LIU C Y, LI H Y, ZHANG Q W, et al.Rapid monitoring of key quality indicators of red wines based on UV-vis spectroscopy[J].Transactions of the Chinese Society for Agricultural Machinery, 2023, 54 (6):401-409.

[21] 马腾臻,宫鹏飞,史肖,等.红枣发酵酒香气成分分析及感官品质评价[J].食品科学, 2021, 42(4):247-253.MA T Z, GONG P F, SHI X, et al.Aroma components and sensory properties of fermented jujube wine[J].Food Science, 2021, 42(4):247-253.

[22] 强文乐,余飞,赵晓兰,等.陈酿期不同调配比例对赤霞珠-美乐葡萄酒化学成分和感官品质的影响[J].核农学报, 2024,38(4):703-714.QIANG W L, YU F, ZHAO X L, et al.Effect of different blending ratio on chemical parameters and sensory properties of cabernet sauvignon-merlot wines during barrel aging period[J].Journal of Nuclear Agricultural Sciences, 2024, 38(4):703-714

[23] DUAN S P, LI Z M, KHAN Z, et al. Spraying phenolic acid-modifiedchitooligosaccharide derivatives improves anthocyanin accumulation in grape[J]. Food Chemistry: X, 2023, 19:100770.

[24] QIANG W L, WANG H J, MA T W, et al. Enhancing phenolic profiles in ‘cabernet franc’ grapes through chitooligosaccharide treatments: Impacts on phenolic compounds accumulation across developmental stages[J]. Agriculture, 2024, 14(11):2039.

[25] SOARES B, BARBOSA C, OLIVEIRA M J. Chitosan application towards the improvement of grapevine performance and wine quality[J]. Ciência e Técnica Vitivinícola, 2023, 38(1):43-59.

[26] GONG D, BI Y, ZHANG X M, et al. Benzothiadiazole treatment inhibits membrane lipid metabolism and straight-chain volatile compound release in Penicillium expansum-inoculated apple fruit[J]. Postharvest Biology and Technology, 2021, 181:111671.

[27] CASTRO MARN A, RIPONI C, CHINNICI F. Chitosan in sparkling wines produced by the traditional method: Influence of its presence during the secondary fermentation[J]. Foods, 2020, 9(9):1174.

[28] 朱子健, 陈思雨, 粟俊, 等. 刺葡萄酒酒精发酵过程中氨基酸组成与果香酯类物质生成的关联分析[J]. 中国农业科学, 2020, 53(11):2272-2284.ZHU Z J, CHEN S Y, SU J, et al. Correlation analysis between amino acids and fruity esters during spine grape fermentation[J]. Scientia Agricultura Sinica, 2020, 53(11):2272-2284.

[29] LIU Y P, REN G, ZHAO X T, et al. Selenium-chitosan treatment affects amino acid content and volatile components of red globe grape during storage[J]. Journal of Food Processing and Preservation, 2023, 2023:3848092.

[30] DEGENHARDT J, KÖLLNER T G, GERSHENZON J. Monoterpene and sesquiterpene synthases and the origin of terpene skeletal diversity in plants[J]. Phytochemistry, 2009, 70(15-16):1621-1637.

[31] 王雅琛, 韦漪, 潘秋红. C13-降异戊二烯衍生物在葡萄和葡萄酒中积累与调控的研究进展[J]. 果树学报, 2021, 38(2):264-277.WANG Y C, WEI Y, PAN Q H. Advance in research on the accumulation and regulation of C13-norisoprenoid derivatives in grape berry and wine[J]. Journal of Fruit Science, 2021, 38(2):264-277.

[32] HE L, REN Z Y, WANG Y, et al. Variation of growth-to-ripening time interval induced by abscisic acid and synthetic auxin affecting transcriptome and flavor compounds in cabernet sauvignon grape berry[J]. Plants, 2020, 9(5):630.

[33] YUE X F, JU Y L, ZHANG T Y, et al. Application of salicylic acid to cv. Muscat Hamburg grapes for quality improvement: Effects on typical volatile aroma compounds and anthocyanin composition of grapes and wines[J]. LWT, 2023, 182:114828.

Effects of chitosan oligosaccharide foliar application on flavor quality of Cabernet Franc wine

LI Kaian1, JIANG Yumei1,2, QIANG Wenle1, WANG Hongjuan1, ZHANG Bo1,2, YANG Libing3, MORATA ANTONIO4, MA Tengzhen1,2*

1(College of Food Science and Engineering, Gansu Agricultural University, Lanzhou 730070, China) 2(Gansu Wine Industry Technology Research and Development Center, Lanzhou 730070, China) 3(Liangzhou Agricultural Ecological Technology Co.Ltd., Wuwei 733006, China) 4(College of Agricultural Engineering and Technology, Technical University of Madrid, Avenida Complutense S/N, Madrid 28040, Spain)

ABSTRACT To investigate the effects of pre-harvest chitosan oligosaccharide (COS) treatment on the quality of wine, Cabernet Franc grapes were used as the test material, and chitosan oligosaccharides were sprayed during the swelling and veraison stages.The ripening grape fruits were harvested and brewed, and physical and chemical indicators, aroma substances, and sensory quality of the wine were analyzed.Results showed that the alcohol content, total acidity, total phenols, and tannin content of the treatment group increased significantly, with the most significant improvement observed in the veraison period treatment group.Chitosan oligosaccharide application to grape increased the content and variety of aroma substances of the final wine beverages.Among them, the swelling stage treatment showed the highest content of C6/C9, branched chain, aromatic, and isoprene substances, while the veraison stage treatment showed the highest content of terpene substances.The comprehensive analysis of aroma substances indicated a strong correlation of the treated group with phenethyl alcohol, lauric acid, β-ionone, ethyl heptanoate,trans-2-hexenal, and dodecyl aldehyde, while the control group exhibited correlation with 1-pentanol, 2-ethyl-1-hexanol, and ethyl nonanoate.Fifteen aroma compounds, including (E)-6,10-dimethyl-5,9-undecadien-2-one, ethyl laurate, and cis-3,7-dimethyl-2,6-octadienol, etc., were recognized to distinguish different treatments of wine samples.Sensory evaluation showed that the organoleptic quality of wine samples treated with chitosan oligosaccharides was higher than that of the control group, with the highest score in the swelling treatment group.This experiment could provide a theoretical basis for improving wine quality by pre-harvest chitosan oligosaccharide spraying on grapes.

Key words chitosan oligosaccharide;Cabernet Franc; wine; aroma; sensory quality

第一作者:硕士研究生(马腾臻副教授为通信作者,E-mail:matengzhen@hotmail.com)

基金项目:甘肃省科技计划项目-重点研发计划(20YF3NA017);甘肃省高校教师创新基金项目(2024-A-055);国家自然科学基金项目(32060514);甘肃省葡萄酒产业发展专项资金项目(GSPTJZX-2020-4)

收稿日期:2025-03-09,改回日期:2025-06-22

DOI:10.13995/j.cnki.11-1802/ts.042664

引用格式:李恺安,蒋玉梅,强文乐,等.壳寡糖喷施对品丽珠葡萄酒风味品质的影响[J].食品与发酵工业,2026,52(4):57-67.LI Kaian,JIANG Yumei,QIANG Wenle, et al.Effects of chitosan oligosaccharide foliar application on flavor quality of Cabernet Franc wine[J].Food and Fermentation Industries,2026,52(4):57-67.