循环风量对准双级变频热泵干燥系统处理辣椒性能影响的实验研究

凌子康,朱世遥,武卫东*

(上海理工大学 能源与动力工程学院,上海,200093)

摘 要 为有效提高辣椒干燥品质,降低干燥能耗,该文基于新设计的准双级变频热泵干燥系统,实验研究了循环风量作为关键因素对辣椒干燥品质指标和系统性能指标的影响规律。结果表明,在干燥温度为60 ℃、装载量为8.0 kg的条件下,随着循环风量从360 m3/h增大至720 m3/h,辣椒水分蒸发速率加快,平均干燥速率呈上升趋势,干燥时间缩短;系统能效比(coefficient of performance, COPsys)总体呈现先上升后波动下降的趋势;单位能耗除湿量先上升后下降;干后辣椒的色差值先下降后上升。当循环风量为720 m3/h时,干燥速率取得最大值,为0.45 g/(g·h)。当循环风量为540 m3/h时, COPsys、平均单位能耗除湿量分别取得最大值5.27、0.33 kg/(kW·h),辣椒色泽此时也达到最优。综合考虑能耗、干燥效率与品质,该文最终选择540 m3/h作为辣椒热泵干燥的最优循环风量。

关键词 热泵;干燥;辣椒;循环风量

辣椒(Capsicum annuum L.),又名海椒、番椒、辣茄、秦椒,是一年生或多年生茄科植物[1]。中国作为世界上辣椒生产大国,其产量和种植面积都位于世界前列[2]。新鲜收获的辣椒含水率较高,通常在70%~85%。这种高水分状态使得辣椒在长时间自然储存期间,其内部的辣椒碱、辣椒红素等活性物质易大量氧化[3],进而发生霉变和腐败。因此,采取有效的措施来延长辣椒的货架期,减少采后损耗是很有必要的。

干燥可以显著降低物料的水分含量,从而抑制微生物的生长并防止物料腐烂[4]。此外,干制的辣椒更容易进行贮藏、保存和运输,有助于提高包装、储存和运输的效率[5]。对于辣椒而言,常见的干燥方式主要有:自然干燥、热风干燥、微波干燥、红外干燥、热泵干燥等[6]。自然干燥虽具有经济性优势,但对气候条件依赖性强,导致该技术在实际中难以推广[7]。真空冷冻干燥干燥质量高,但能耗高、干燥效率低和设备投资大[8]。热风干燥操作简单,但干燥时间长、温度高,与氧气接触,导致干燥产品品质大幅劣变[9]。微波干燥时间短、能耗低,但它通常会导致局部温度过高,这会造成酚类化合物褐变,影响干燥质量[10]。红外干燥具有干燥速度快、可控性强等优点,但物料的排列和定位往往会导致干燥不均匀[11]。与上述干燥方法相比,热泵干燥具有更高的能源效率、较宽的可控温度范围和优越的干燥质量。目前热泵技术已被有效地用于干燥各种农产品,它可以充分提高产物干燥速率和干燥质量,并且有效节能[12]

近年来,不少学者对辣椒干燥进行了研究。ECHTASKA等[13]研究发现,对辣椒使用红外辐射辅助的对流干燥与纯对流干燥相比显著缩短了干燥时间。HUANG等[14]研究发现,热风干燥会导致辣椒酶促和非酶促褐变发生,从而导致颜色质量下降。LI等[15]研究发现,随着干燥时间的增加,水分含量逐渐降低,1 000 min后仅达到8.69%,辣椒的厚度从最初的0.123 cm减少到干燥结束时的0.023 cm。姬长英等[16]使用热泵干燥技术对辣椒进行干燥实验,研究结果显示,辣椒的干燥速率和温度呈正比关系。HWANG等[17]证明,热泵辅助干燥是一种有效的干燥方法,可显著减少干红椒中的多环芳烃水平,同时保持更好的颜色质量和较低的能耗。然而,此研究主要关注温度控制,未深入探讨循环风量对干燥性能的影响。宋新斌等[18]探讨了白胡椒热泵干燥过程的优化,强调漂白和干燥温度对产品质量的影响,但缺乏循环风量对辣椒干燥品质影响的研究。

许多研究表明,在热泵干燥中,循环风量对系统性能有着显著的影响。REN等[19]探讨了闭环热泵干燥系统在工业高温干燥中的性能,发现较高循环风量有助于提升热泵系统的系统能效比(coefficient of performance,COPsys),单位能耗除湿量(specific moisture extraction rate,SMER)随着循环风量增加而先升后降。HOU等[20]通过正交试验数据拟合发现在闭式热泵系统中增加循环风量可以有效缩短物料的干燥时间。鲁宇星[21]研究发现热泵干燥系统循环风量增大会使冷凝器换热量和除湿量增大,但COPsys和SMER呈下降趋势。由此可见,循环风量的变化会显著提升热泵干燥系统性能, 而针对循环风量参数与辣椒干燥特性间的定量研究仍存在显著空白,尤其缺乏系统探究循环风量调控对辣椒水分迁移规律及品质演变机制的针对性研究。考虑到相比单级压缩,准双级压缩系统能够借助中间补气技术,显著降低压缩机出口温度,增大热泵冷凝器制热量,在同样工况下,压缩机所需功耗更少,使得COPsys和SMER更高。鉴于此,本文提出一种基于准双级的变频热泵干燥系统,分析探讨辣椒在不同循环风量下对水分比、干燥速率、COPsys、SMER及辣椒色泽的影响规律,为辣椒热泵干燥系统的优化及干燥工艺提供指导与参考。

1 系统组成及工作原理

本试验所设计的准双级变频热泵干燥系统的原理图见图1,实验装置的三维图及实物图如图2所示。该实验台主要由3个部分组成,分别是热泵系统、干燥介质系统和数据采集及控制系统。其中,热泵系统属于干燥实验装置的核心组成部分,主要组成包括压缩机、膨胀阀、经济器、蒸发器和冷凝器。采用海立WHP系列变频压缩机(转速调节范围:900~7 200 r/min),R134a作为制冷剂工质。热泵的工作原理基于制冷剂的循环流动,通过调整制冷剂的状态以实现热量的吸收和释放。在热泵系统中,制冷剂被压缩机压缩,转变为高温高压气体并进入冷凝器。在冷凝器中,通过与干燥介质的热交换,制冷剂被冷却凝结成高温液体。随后,制冷剂流向辅助冷凝器,将系统中多余的热量排出。接着,制冷剂被分成2个部分,一部分流经经济器进一步放热,随后通过节流阀流至蒸发器,在蒸发器中与干燥介质进行热交换,转化成低温低压的气态,最终流回到压缩机,完成一个循环。另一部分的制冷剂通过辅助节流阀节流后在经济器中蒸发吸热,转变为中温中压的制冷剂气体,然后进入压缩机补气口进行再次压缩。对于干燥介质系统,其主要部件包括干燥室、循环风机和物料托盘等。在该系统中,空气作为干燥介质。在循环风机作用下空气首先在冷凝器处进行热交换,转化为高温干燥的空气,然后进入干燥室与新鲜物料接触,将水分吸收到空气中。随后,循环风机将含水的干燥介质传送至蒸发器处,通过制冷剂蒸发吸热作用实现湿空气的降温除湿,水分以冷凝形式析出。之后干燥介质再次回到冷凝器处受热升温吸收物料中的水分,形成一个完整循环。通过利用热泵系统的能效优势以及冷热换热器同时发挥作用,实现了对湿物体的高效干燥,提高了整个系统的性能和能源利用效率。

图1 准双级变频热泵干燥系统的原理图
Fig.1 Schematic diagram of the quasi two-stage variable frequency heat pump drying system

图2 热泵干燥系统实验装置三维图
Fig.2 Heat pump drying system experimental device three-dimensional diagram

2 实验方法及数据处理

2.1 实验材料

新鲜辣椒,网购于安徽省阜阳市会龙镇辣椒原产地,挑选出大小均匀(13~15 cm长)、颜色鲜红、无病虫害、无机械损伤的辣椒进行清洗,去除表面灰尘、土壤,在阴凉处摊晾6 h,使其自然沥干表面水分。

2.2 仪器设备

T型热电偶测量(量程-40~125 ℃,精度±0.5 ℃),上海自动化仪器厂;湿温度传感器(温度量程40~80 ℃,精度±0.15 ℃;湿度量程0~100%,精度±1.5%),维萨拉公司;电子天平称量(量程0~4 000 g,精度±1 mg),德国艾科勒公司;风速传感器测量(量程0~5 m/s,精度±0.1 m/s),西门子公司;综合警报仪测量(量程0~5 000 W,精度±0.2%),青岛青智仪器有限公司。

2.3 实验方法

根据前期探索实验以及参考文献[22-23],本文在干燥温度为60 ℃、装载量为8.0 kg的条件下,选定了360、450、540、630、720 m3/h作为5个不同水平的循环风量参数展开实验研究。实验开始,启动LabVIEW程序,初始压缩机开机转速设定为1 500 r/min。随后每5~10 min增加约500 r/min,范围在1 500~3 000 r/min之间调整。接着,将预处理后的辣椒均匀单层铺放在各物料层板上,进行实验,待辣椒湿基含水率下降至14%以下时实验结束。将干燥速率、系统能效比COPsys、单位能耗除湿量SMER以及辣椒的色泽作为实验的评价指标。

2.4 实验评价指标

2.4.1 物料含水率

干基含水率(dry basis moisture content,Xt)是指物料中水分质量与干燥后物料的干重之比,衡量了物料中水分的相对含量,单位为g含水量/g绝干。按公式(1)计算:

(1)

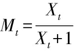
湿基含水率(wet basis moisture content,Mt)是指物料中水分的质量与湿物料的总质量之比,表现了物料中水分的实际含量,单位为g含水量/g湿物料。按公式(2)计算:

(2)

式中:mw,t时刻湿物料的质量,g;md,物料的绝干质量,g。

干基含水率主要用于干燥过程中水分去除效果的评估,而湿基含水率则更直接地反映了物料中水分的含量,且两者可以相互转化,如公式(3)所示:

(3)

2.4.2 水分比(moisture ratio,MR)

水分比衡量了干燥过程中水分的减少程度,可以作为辣椒热泵干燥的一个重要评价指标,用来评估干燥效果和产品质量。水分比按公式(4)计算:

(4)

式中:X0,原始物料的干基含水率,g含水量/g绝干;Xe,干燥后物料的干基含水率,g含水量/g绝干。由于数值上XeXt,XeX0,因此公式(4)可以简化为公式(5):

(5)

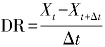
2.4.3 干燥速率(drying rate,DR)

干燥速率是指单位时间内物料含水率的减少量,单位为g/(g·h),描述了干燥过程中水分含量的变化速度,这是评估干燥效果和确定干燥时间的重要指标之一。干燥速率按公式(6)计算:

(6)

式中:Xtt,tt时刻物料的干基含水率,g含水量/g绝干t,干燥时间的间隔,h。

2.4.4 色泽

色泽是指物料干燥后外观的颜色特征,通常用来评估物料的干燥品质。可以使用色差计来测量干燥后辣椒的色泽,并与标准(干燥前新鲜辣椒的初始颜色参数)进行比较,从而得出色差值,有助于评价辣椒干燥过程中色泽的质量。

色差值ΔE通常由3个参数表示:L*a*b*。色差值ΔE计算如公式(7)所示:

(7)

2.4.5 热泵COPsys

热泵系统的能效比是指系统收益能与补偿能的比值[24],本试验热泵干燥系统的输出收益能主要包括冷凝器向循环介质释放的热量(即制热量)以及蒸发器向循环介质吸收的热量(即制冷量)。而输入收益能则包括压缩机、循环风机和辅助冷凝器风机的功耗。制热量和制冷量的计算可基于冷凝器和蒸发器进出口空气的温湿度对应的焓值变化而得。热泵系统的能效比可以通过公式(8)计算:

(8)

式中:Qk,热泵冷凝器制热量,kW;Q0,热泵蒸发器制冷量,kW;Wc,压缩机功耗,kW;Wf1,循环风机功耗,kW;Wf2,辅助冷凝器风机功耗,kW。

2.4.6 单位能耗除湿量

SMER衡量了单位能耗下系统能够去除物料所含水分的量,单位为kg/(kW·h),是评价辣椒热泵干燥能效情况的关键指标之一。SMER按公式(9)计算:

(9)

式中:mw,干燥过程中从物料中除去的水分量,kg;E,干燥过程中所消耗的能量,kW·h。

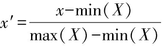
2.4.7 归一化评价指标

离差标准化,是归一化数据预处理技术的一种,可以作为一种评价指标。它是对原始数据的线性变换,使结果落到[0,1]区间。本文使用归一化能够综合评估干燥过程对辣椒质量的影响,通过将水分比、干燥率和颜色差异标准化到同一尺度,帮助确定最佳干燥条件。其计算如公式(10)所示:

(10)

式中:max,样本数据的最大值,min,样本数据的最小值。

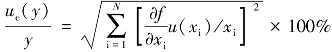
2.4.8 不确定度分析

系统中测量参数的准确性直接影响系统性能评价指标的准确性,因此需要对实验测量仪器进行不确定度分析,不确定度μ可以按公式(11)计算:

(11)

式中:a,区间的半宽度;k,置信因子,一般取

本实验台直接测量参数有温度、相对湿度、风速、功率和重量,其标准不确定度根据公式(11)直接计算得到,计算结果分别为±0.29 ℃、±0.87%、±0.06 m/s、±5.77 W和±0.29 g。

本文中的实验评价指标水分比、干燥速率、COPsys、SMER等都是由直接测量参数计算所得的间接测量参数,其相对不确定度按公式(12)计算:

(12)

2.5 数据处理软件

采用Excel软件进行数据整理,根据对应公式计算辣椒的含水率、水分比、干燥速率以及热泵系统的COPsys和SMER等性能指标,并完成不确定度分析。采用Origin软件对数据结果进行图表绘制。

3 结果与分析

图3为不同循环风量下辣椒水分比MR随时间的变化。在不同的循环风量下,水分比下降的大致趋势相同,且随着循环风量的增加,辣椒水分比下降速度越快,干燥时间越短。分析其原因,增加循环风量可以提高辣椒表面与干燥室内空气之间的热量传递,进而促进水汽从辣椒内部向外扩散的速率,使得辣椒表面的水分更快地被空气带走,从而加速了干燥过程。当循环风量分别为360、450、540、630、720 m3/h时,辣椒的干燥时间分别为1 438、1 140、1 020、870、750 min。观察水分比下降速率的变化,可以发现循环风量从630 m3/h增加到720 m3/h时,干燥前期水分比的下降速度差异较小,这是因为水分的迁移主要受到辣椒表面和空气之间质量传递的影响。随着循环风量的增加,辣椒表面附近的水分层与空气之间的质量传递速率可能会增加,但由于此时辣椒内部的水分尚未完全蒸发,水分传递受到了辣椒内部水分的阻碍。因此,从干燥时间的角度来看,选择720 m3/h作为最优循环风量。

图3 不同循环风量下辣椒水分比随时间的变化
Fig.3 Variation of moisture ratio of chilli peppers with time under different circulating air volume

图4反映了不同循环风量下辣椒不同干基含水率对应的干燥速率的变化,即辣椒的干燥速率曲线。横坐标从右往左展示的是辣椒的干燥进行过程(相邻数据点的数据间隔为30 min),干基含水率为5.74 g含水量/g绝干的状态点为干燥过程的起点,随着干基含水率的下降,干燥速率也逐渐减慢。可以发现,尽管循环风量不同,但辣椒的干燥速率随干燥过程总体呈现先上升后下降的趋势,最大干燥速率发生在60 min时。导致这一趋势的原因是,在加速干燥阶段,辣椒含有较高的水分,水分的迁移速度较快,干燥速率随之上升;而随着干燥过程的进行,辣椒内部的水分逐渐减少,且干燥室内的空气湿度上升,导致水分迁移速率减慢,从而干燥速率开始下降,进入降速干燥阶段。当循环风量分别为360、450、540、630、720 m3/h时,辣椒的平均干燥速率分别为0.24、0.30、0.33、0.38、0.45 g/(g·h)。总体而言,循环风量越大,平均干燥速率越大。这是因为增加循环风量可以增加干燥室内的对流传热效率,同时可以提高辣椒表面水汽与干燥室内空气之间的换热效率,通过增加空气流动,更多的热量可以被传输到辣椒表面,更多的水分可以从辣椒表面传递到空气中,从而促进水分的蒸发,提高干燥速率。因此,从干燥速率的角度来看,选择720 m3/h作为最优循环风量。

图4 不同循环风量下辣椒的干燥速率曲线
Fig.4 Drying rate curves of chilli peppers under different circulating air volumes

注:横坐标表示干基含水率。由于干燥过程中含水率随时间推移而降低,故干燥过程沿横坐标由右向左进行;图中相邻数据点从起点开始对应的时间间隔为 30 min。

图5展示了不同循环风量下COPsys随时间的变化曲线。COPsys总体呈现先上升后波动下降的趋势,当循环风量为360 m3/h时,COPsys的最大值出现在干燥的第270 min;当循环风量为540、630 m3/h时,COPsys的最大值出现在干燥的第90 min;而当循环风量为450、720 m3/h时,COPsys的最大值出现在干燥的第60 min。曲线波动的原因在于系统通过比例、积分、微分(proportion、integral、differential,PID)控制系统自动调节压缩机转速,以使干燥室温度稳定在设定值附近,导致系统功耗发生变化。在干燥初期阶段,系统需要一定时间逐渐适应并达到最佳运行状态,这导致COPsys呈现上升趋势。对于高循环风量(720 m3/h),由于更高的风量可以更快地带走湿气,系统能在较短的时间内达到最佳性能,因此COPsys的最大值出现在干燥的第60 min。然而,随着干燥过程的进行,辣椒水分迁移速度逐渐变慢,会造成COPsys的下降。从图中还可以观察到,当循环风量分别为360、450、540、630、720 m3/h时,平均COPsys分别为4.92、5.13、5.27、5.08、4.83。随着循环风量的增大,平均COPsys先增大后减小,这是因为较大的循环风量通常可以带走更多的水分,加速干燥过程,从而提高系统的能效比。然而,过大的循环风量可能会让压缩机(增加了压缩机转速)和风机的功耗进一步增大,使COPsys下降。因此,从COPsys的角度来看,选择540 m3/h作为最优循环风量。

图5 不同循环风量下COPsys随时间的变化
Fig.5 Variation of COPsys with time for different circulating airflows

图6显示了不同循环风量下单位能耗除湿量SMER随时间的变化。SMER随着干燥过程的进行先上升后下降。这是因为在干燥初期,辣椒内部的水分含量较大,干燥速率较快,导致单位时间内水分蒸发量增大。由于压缩机转速并未明显变化,系统能耗没有明显增加,因此SMER呈现上升趋势。随着干燥的进行,辣椒中的水分含量逐渐减少,内部水分向外扩散的阻力增大,导致系统除湿效率下降,从而使得SMER开始下降。当循环风量分别为360、450、540、630、720 m3/h时,平均SMER分别为0.26、0.30、0.33、0.32、0.31 kg/(kW·h)。随着循环风量的增加,平均SMER先上升后下降。分析其原因,适度的增加循环风量可以加速空气中水分的排除,促进辣椒更快地失去水分,有助于在相同的能耗下实现更高的除湿量,从而提高SMER。但是当循环风量过高时,额外消耗的能量可能会超过除湿效率提高所带来的好处,导致SMER下降。因此,从单位能耗除湿量SMER的角度来看,选择540 m3/h作为最优循环风量。

图6 不同循环风量下SMER随时间的变化
Fig.6 Variation of SMER with time for different circulating air volumes

本文所用系统也曾应用于香菇的干燥工艺,与香菇相比,辣椒的干燥能耗指标均略优于香菇。表1分别对比了准双级闭式热泵干燥系统、单级(压缩)闭式热泵干燥系统和热风干燥系统的性能指标。可以看出,当干燥物料均为香菇时,准双级闭式热泵干燥系统的平均COPsys较单级闭式热泵干燥系统提升了41.2%;而平均SMER较单级(压缩)闭式热泵干燥系统提升了94%,与热风干燥系统相比提升了170%。因此,准双级闭式热泵干燥系统能耗明显优于单级(压缩)闭式热泵干燥系统和热风干燥系统。

表1 准双级闭式热泵、单级闭式热泵与热风干燥系统能耗指标对比
Table 1 Comparison of energy consumption indexes of quasi-double-stage closed heat pump, single-stage closed heat pump and hot air drying system

系统类型物料干燥工况性能指标温度/℃风速/(m/s)平均COPsys平均SMER/[kg/(kW·h)]来源准双级闭式热泵干燥系统辣椒香菇601.55.270.332601.63.990.310501.64.180.357本文[25]单级(压缩)闭式热泵干燥系统香菇501.52.960.184503.53.350.168[26]热风干燥系统香菇501.4—0.132[27]

注:—表示未测定。

图7显示了不同循环风量下辣椒干后色泽的情况。随着循环风量的增加,亮度L*和红绿度a*先上升后下降,其最大值出现在540 m3/h时;黄蓝度b*先下降后上升,其最小值出现在450 m3/h时;而色差ΔE则是先下降后上升,其最优值出现在540 m3/h时。这可能是由于在较低的循环风量下,空气流动不足以有效地将水分从辣椒表面带走,导致辣椒表面的水分停留,对辣椒色泽造成了影响。随着循环风量的增加,辣椒表面的水分更容易被带走,使得辣椒的亮度和红度上升,黄度增加,色差也随之增加。然而,过高的循环风量可能会导致辣椒表面水分蒸发过快,从而导致色素的破坏,使得色泽参数均较差,降低了干后辣椒的品质。由测量和计算得出当循环风量分别为360、450、540、630、720 m3/h时,色差分别为11.49、10.22、9.45、11.05、11.63。因此,从干辣椒色泽的角度来看,选择540 m3/h作为最优循环风量。

图7 不同循环风量对辣椒色泽的影响
Fig.7 Effect of different circulating air volume on the colour of chilli peppers

图8使用归一化数据处理法做出不同循环风量对辣椒干燥特性及热泵系统性能影响指标的雷达图。图中的曲线填充区域越大,代表该项指标越优异。当循环风量为540 m3/h时,SMER、COPsys和色差最优;当循环风量为720 m3/h 时,水分比和干燥速率最优。根据综合能耗、干燥效率与品质的平衡,本文最终选择540 m3/h作为辣椒热泵干燥的最优循环风量。

图8 不同循环风量对辣椒干燥特性及热泵系统性能的影响指标
Fig.8 Indicators of the influence of different circulating air volume on the drying characteristics of chili peppers and the performance of heat pump system

4 结论

本文基于设计的准双级变频热泵干燥系统,以水分比、干燥速率、COPsys、SMER及辣椒色泽为指标研究了循环风量对辣椒干燥特性、热泵系统性能及干后辣椒品质的影响,得出以下结论:

1) 随着循环风量从360 m3/h增至720 m3/h,平均COPsys和平均SMER呈先上升后下降趋势,在540 m3/h时达到最大值,分别为5.27、0.33 kg/(kW·h),这一趋势源于干燥初期循环风量提高了水分传递效率,而高循环风量下额外消耗的能量可能会超过除湿效率提高所带来的好处,导致性能下降。因此,540 m3/h是系统运行的最佳风量,兼顾能量利用效率和水分提取能力。另通过对比证实,准双级闭式热泵干燥系统能耗明显优于单级(压缩)闭式热泵干燥系统和热风干燥系统。

2) 随着循环风量不断提升,辣椒的水分蒸发速率和干燥速率持续加快,干燥时间缩短。色差值先下降后上升,在540 m3/h时辣椒色泽最优(色差最小);在720 m3/h时,平均干燥速率达到最大值0.45 g/(g·h)。这表明循环风量540 m3/h在保证较高干燥效率的同时,优化了辣椒的干燥质量,而720 m3/h更适合需要快速干燥的场景。

3) 循环风量对辣椒颜色质量的影响呈现出明显的两端效应:较低风量会导致干燥效率低,辣椒长时间暴露在干燥条件下,发生氧化或其他退化反应;较高风量虽然加快了干燥速度,但会因快速失水导致色素受损或干燥不均。因此,综合干燥速度、能效和物料质量,循环风量宜选择在540 m3/h左右。这不仅能获得优异的能效比和干燥速率,还能拥有最优的辣椒色泽,可以有效提升辣椒在市场中的产品价值。

参考文献

[1] 曹珍珍.辣椒干燥动力学及生物活性评价研究[D].北京:中国农业科学院, 2015.
CAO Z Z.Study on drying kinetics and bioactivity evaluation of chili peppers[D].Beijing:Chinese Academy of Agricultural Sciences, 2015.

[2] 王思宇. 中国辣椒贸易的国际竞争力研究[D].保定:河北农业大学, 2019.
WANG S Y.Research on the international competitiveness of China’s chili pepper trade[D].Baoding:Hebei Agricultural University, 2019.

[3] 池春欢, 汪云友, 陈厚荣.多指标综合评分法优化辣椒热泵-微波联合干燥工艺[J].食品与发酵工业, 2018, 44(6):172-179.
CHI C H, WANG Y Y, CHEN H R.Optimization of chili heat pump-microwave combined drying process with multi-index comprehensive grading method[J].Food and Fermentation Industries, 2018, 44(6):172-179.

[4] BAO T, HAO X, SHISHIR M R I, et al.Cold plasma:An emerging pretreatment technology for the drying of jujube slices[J].Food Chemistry, 2021, 337:127783.

[5] SU Y, ZHANG M, MUJUMDAR A S.Recent developments in smart drying technology[J].Drying Technology, 2015, 33(3):260-276.

[6] 张茜,耿智化,张军辉,等.辣椒干燥装备技术研究进展[J].包装与食品机械, 2019, 37(5):50-56;6.
ZHANG Q, GENG Z H, ZHANG J H, et al.Research progress in pepper drying equipment and technology[J].Packaging and Food Machinery, 2019, 37(5):50-56;6.

[7] 曾涛, 武卫东, 李敏, 等.装填密度对准双级闭式热泵香菇干燥系统性能影响实验研究[J].制冷学报, 2025, 46(1):94-100.
ZENG T, WU W D, LI M, et al.Experimental study on the effect of loading density on the performance of a closed drying system using quasi-two-stage heat pump for Lentinus edodes[J].Journal of Refrigeration, 2025, 46(1):94-100.

[8] LE X N, HU S C, ZHENG J L, et al.The influence of different drying methods on bioactive components of Eucommia ulmoides Oliver male flower and the comprehensive assessment for industrial application[J].Industrial Crops and Products, 2022, 177:114469.

[9] KAVEH M, ABBASPOUR-GILANDEH Y, FATEMI H, et al.Impact of different drying methods on the drying time, energy, and quality of green peas[J].Journal of Food Processing and Preservation, 2021, 45(6):e15503.

[10] HOU W Y, DUAN Z H, YI Y, et al.Differences in monophenolic content and composition of persimmon fruit slices from different regions under fresh and microwave drying[J].Food Bioscience, 2024, 59:103853.

[11] ZHOU H X, WU W D, ZENG T, et al.Experimental study on CO2 closed-cycle heat pump drying for lemon assisted by ultrasonic pretreatment[J].Journal of Cleaner Production, 2025, 501:145321.

[12] ZHU S Y, WU W D, HUANG H, et al.Experimental investigation of the effect of heat pump drying temperature on drying characteristics of Auricularia auricula[J].Sustainable Energy Technologies and Assessments, 2024, 71:103973.

[13] ECHTASKA J M, SZADZISKA J, KOWALSKI S J.Microwave- and infrared-assisted convective drying of green pepper:Quality and energy considerations[J].Chemical Engineering and Processing:Process Intensification, 2015, 98:155-164.

[14] HUANG Y, WANG X Y, LYU Y, et al.Metabolomics analysis reveals the non-enzymatic browning mechanism of green peppers (Piper nigrum L.) during the hot-air drying process[J].Food Chemistry, 2025, 464:141654.

[15] LI C, WU Y J, ZHU Q Y, et al.Alterations in physico-chemical properties, microstructure, sensory characteristics, and volatile compounds of red pepper (Capsicum annuum var.Conoides) during various thermal drying durations[J].Food Chemistry:X, 2024, 23:101566.

[16] 姬长英, 蒋思杰, 张波, 等.辣椒热泵干燥特性及工艺参数优化[J].农业工程学报, 2017, 33(13):296-302.
JI C Y, JIANG S J, ZHANG B, et al.Heat pump drying properties of chili and optimization of technical parameters[J].Transactions of the Chinese Society of Agricultural Engineering, 2017, 33(13):296-302.

[17] HWANG M J, KANG S J, KIM H S, et al.Reduction of the polycyclic aromatic hydrocarbon levels in dried red peppers (Capsicum annuum L.) using heat pump-assisted drying[J].Food Chemistry, 2019, 297:124977.

[18] 宋新斌, 潘树林, 吴双, 等.白辣椒热泵干燥特性及工艺优化[J].食品与发酵工业, 2023, 49(22):94-101.
SONG X B, PAN S L, WU S, et al.Heat pump drying characteristics and process optimization of white pepper[J].Food and Fermentation Industries, 2023, 49(22):94-101.

[19] REN Y, CHEN Z W, WU W D, et al.Study on the effect of circulating air volume on the performance of closed loop heat pump drying system[J].Applied Thermal Engineering, 2022, 210:118362.

[20] HOU Y X, WU W D, WANG J, et al.Heat pump drying kinetics modeling and prediction for Lentinus edodes based on orthogonal experimental[J].Case Studies in Thermal Engineering, 2024, 63:105305.

[21] 鲁宇星. 回热式封闭循环热泵干燥系统性能分析与优化研究[D].邯郸:河北工程大学, 2023.
LU Y X.Performance analysis and optimization of reheat closed circulation heat pump drying system[D].Hnandan:Hebei University of Engineering, 2023.

[22] 王浩, 武卫东, 吕婉豆, 等.循环风量对串联辅助冷凝器的闭式热泵烘干系统的影响[J].制冷技术, 2019, 39(1):55-60.
WANG H, WU W D, LYU W D, et al.Effects of air flow rate on a closed heat pump drying system with series auxiliary condenser[J].Chinese Journal of Refrigeration Technology, 2019, 39(1):55-60.

[23] 白旭升, 李保国.香菇热泵干燥特性及数学模型研究[J].制冷学报, 2018, 39(4):42-48.
BAI X S, LI B G.Study on drying characteristics and mathematical model for heat pump drying of mushroom[J].Journal of Refrigeration, 2018, 39(4):42-48.

[24] GUAN C L, WU W D, ZENG T, et al.Study on intermittent drying process of lemon slices employing a closed-loop transcritical CO2 heat pump system[J].International Journal of Refrigeration, 2025, 172:147-157.

[25] YU X Y, WU W D, WANG J, et al.Experimental study on effect of drying air supply temperature on performance of a quasi-two-stage closed loop heat pump drying system for Lentinus edodes[J].Renewable Energy, 2022, 201:1038-1049.

[26] XU B, WANG D Y, LI Z H, et al.Drying and dynamic performance of well-adapted solar assisted heat pump drying system[J].Renewable Energy, 2021, 164:1290-1305.

[27] 高雪, 金鑫, 毕金峰, 等.基于主成分分析法综合评价不同干燥工艺对香菇干燥特性和品质的影响[J].沈阳农业大学学报, 2021, 52(5):537-547.
GAO X, JIN X, BI J F, et al.Comprehensive evaluation of shiitake mushrooms using different drying processes based on principal component analysis[J].Journal of Shenyang Agricultural University, 2021, 52(5):537-547.

Experimental study on effect of circulating air volume on performance of a quasi-double-stage inverter heat pump drying system for treating chili peppers

LING Zikang, ZHU Shiyao, WU Weidong*

(School of Energy and Power Engineering, University of Shanghai for Science and Technology, Shanghai 200093, China)

ABSTRACT To effectively improve the drying quality of chili peppers while reducing the drying energy consumption, based on the novel quasi two-stage frequency conversion heat pump drying system, this paper experimentally investigated the impact of the circulating air volume as a key factor on both the drying quality indices of chili peppers and the influence of the system performance indices.Results showed that under the condition of drying temperature (60 ℃) and loading capacity (8.0 kg), with the increase of the circulating air volume from 360 to 720 m3/h, the water evaporation rate of chili pepper was accelerated, the average drying rate was on an increasing trend, and the drying time was shortened.The system energy efficiency ratio (COPsys) showed a general trend of increasing and then fluctuating downward, the specific moisture extraction rate (SMER) increased and then decreased, and the color difference value of dried chili pepper first decreased and then increased.When the circulating air volume was 720 m3/h, the drying rate reached the maximum value of 0.45 g/(g·h).When the circulating air volume was 540 m3/h, the COPsys, the average SMER reached the maximum value of 5.27 and 0.33 kg/(kW·h), respectively.In addition, the optimal color of chili pepper was achieved at this air volume.Therefore, considering energy consumption, drying efficiency and quality, 540 m3/h was finally selected as the optimal circulating air volume of pepper heat pump drying.

Key words heat pump;drying;chili pepper;circulating air volume

DOI:10.13995/j.cnki.11-1802/ts.043196

引用格式:凌子康,朱世遥,武卫东.循环风量对准双级变频热泵干燥系统处理辣椒性能影响的实验研究[J].食品与发酵工业,2026,52(5):346-353.LING Zikang, ZHU Shiyao, WU Weidong.Experimental study on effect of circulating air volume on performance of a quasi-double-stage inverter heat pump drying system for treating chili peppers[J].Food and Fermentation Industries,2026,52(5):346-353.

第一作者:硕士研究生(武卫东教授为通信作者,E-mail:usstwwd@163.com)

收稿日期:2025-05-01,改回日期:2025-07-29