乳酸添加对赤霞珠红葡萄酒品质的影响

王俊鹤1,杨涵钰1,庄家莹1,穆海彬2,马丹阳2,刘延琳1,姜娇1,王婧3,宋育阳1*

1(西北农林科技大学 葡萄酒学院,陕西 杨凌,712100)2(宁夏贺兰山东麓葡萄酒产业园区管委会,宁夏 银川,750000)3(甘肃农业大学 食品科学与工程学院,甘肃 兰州,730070)

摘 要 为探究乳酸对葡萄酒品质的影响,该文以赤霞珠葡萄为原料,在4个发酵时期添加梯度含量的乳酸,通过对葡萄酒基础理化指标、CIELab参数、花色苷含量、挥发性香气物质进行测定,并进行感官品鉴分析,综合考虑所有参数,最终确定发酵过程中乳酸添加时期和添加量,以获得较高品质的葡萄酒。结果表明,乳酸的添加使多组出现发酵滞后现象,添加酸的时期越晚,成品酒中的乳酸含量越高,总酸含量也越高,酸度保持越好。通过CIELab参数分析,酒样B1.5的颜色最鲜亮,酒样A1.5次之。花色苷总含量最高的为酒样A1.5(333.41 mg/L)。B1.5总花色苷含量次之(292.92 mg/L),酒样D2中总花色苷含量最低,仅有159.77 mg/L,比对照组总花色苷含量(286.25 mg/L)少了44.18%,可见越早添加乳酸,护色效果越好。相关性分析表明,CIELab参数指标之间有着显著相关性,与各单体花色苷含量之间也存在显著相关性。GC-MS分析表明,乳酸的添加可以提高酒样A1.5和B1.5中香气物质的含量。对酒样进行感官分析,酒样B1.5相对得分最高,在香气和味感上表现出较好的喜爱程度。综上,实验组B1.5的葡萄酒质量最好,即在起酵时添加1.5 g/L乳酸可以获得较高品质的葡萄酒,通过精准的乳酸调控,可为葡萄酒品质控制提供科学依据。

关键词 干红葡萄酒;乳酸;有机酸;葡萄酒品质

葡萄酒作为一款成分丰富且风味独特的农产品加工制品,其品质受多因素的影响,其中酸度就扮演着重要的角色[1]。作为葡萄酒质量的核心指标,酸度通过调节pH值和可滴定酸浓度,不仅影响其风味和感官品质,还对其化学稳定性和微生物特性有显著作用。酸度的平衡对葡萄酒的品质至关重要,尤其是红葡萄酒的颜色也会因酸度和pH值变化而受到强烈影响[2]。适量的酸度不仅能促进其他成分的代谢,还能增强果香,提升抗氧化能力,使酒体更加圆润柔和;反之,酸度过高会使口感变得酸涩、粗糙,而酸度过低则会导致酒体单薄、寡淡,缺乏层次感[3]

葡萄酒中含有多种有机酸,主要包括酒石酸、苹果酸、琥珀酸、柠檬酸、乳酸和乙酸等,每种有机酸都有独特的感官属性,对葡萄酒口感和香气的影响各不相同[4-5]。但根据国际葡萄与葡萄酒组织(International Organization of Vine and Wine,OIV)规定,仅允许使用酒石酸、苹果酸和乳酸这3种有机酸进行酸度调节,且最大添加量为4.0 g/L(以酒石酸计)。但是不同国家和地区的规定存在差异,欧洲法律规定允许最大添加量(以酒石酸计)为:葡萄汁1.5 g/L,葡萄酒2.5 g/L;美国法律规定经酸化后最终葡萄酒中最大固定酸含量不能超过9.0 g/L(以酒石酸计)[6-7]。我国西部葡萄酒产区,由于气候逐渐变暖,葡萄果实中糖分大量积累,而酸度较低,这种情况使所酿葡萄酒偏“肥腻”,缺乏清新感,严重影响了葡萄酒的感官品质和营养价值。在酒庄的实际生产环节里,化学增酸作为调整葡萄酒酸度的传统手段,并且已得到广泛运用,涵盖了发酵前和发酵后对葡萄酒酸度的调整[8]。酒石酸性质稳定,且无法被酵母及其他微生物代谢,因此成为葡萄酒工业中最常用的增酸剂。然而酒石酸能与K+结合形成酒石酸盐沉淀,进而影响葡萄酒的口感品质。苹果酸由于其不稳定特性,在发酵时可能会引起不良的再发酵、浑浊和挥发性酸高等问题,不受酿酒师的喜爱[9]。而乳酸作为葡萄酒酿造过程中的重要代谢产物,现有技术对其风味调控、口感优化以及稳定性提升方面的挖掘尚不充分,难以满足消费者日益多样化的需求以及对高品质葡萄酒的追求。目前关于系统添加乳酸来调整葡萄酒酸度的研究较少,现有研究多集中在发酵前添加乳酸和其他有机酸,以此来探究混酸对葡萄酒的影响。孟令君等[10]对比了发酵前添加1 g/L乳酸、酒石酸、苹果酸等对葡萄酒香气的影响,结果发现乳酸和苹果酸处理组有较好的增香效果。贾鑫等[11]发现在葡萄醪中添加复合酸的葡萄酒酒体颜色更加鲜亮,其中酒石酸添加量为2 g/L、苹果酸添加量为1 g/L、乳酸添加量为1 g/L的葡萄酒酒体红/绿色度值a*较高,蓝/黄色度值b*显著降低。

因此,本试验以新疆巴保男爵酒庄赤霞珠红葡萄为原料,在葡萄酒发酵过程中的4个时期添加3个梯度含量的乳酸,以此来调整葡萄酒的酸度。通过对葡萄酒基础理化指标、有机酸含量、CIELab参数指标、花色苷含量、挥发性香气物质进行测定,并对其进行感官品鉴分析,来探究乳酸添加对葡萄酒品质的影响。综合考虑所有参数,最终确定发酵过程中乳酸的添加时期和添加量,以获得较高品质的葡萄酒,以期为酿造工艺优化提供新思路,为后续进一步放大推广应用提供数据支持。

1 材料与方法

1.1 材料与试剂

1.1.1 葡萄

葡萄:采自新疆石河子张裕巴保男爵酒庄的优质赤霞珠葡萄原料,葡萄理化指标:糖247 g/L,总酸4.22 g/L,pH 4.13。

1.1.2 试剂

CECA酿酒酵母,西北农林科技大学葡萄酒学院保藏;护色丹宁,法国LAFFORT公司;果胶酶,法国LALLZYME公司;偏重亚硫酸钾,德国BASF公司;L-乳酸(≥90%),Macklin公司;无水乙醇、NaOH、NaCl(均为国产分析纯)、2-辛醇、乙腈、异丙醇、甲醇、H2SO4(均为色谱级),西安化学试剂厂。

1.2 仪器与设备

LC-2050C 3D高效液相色谱、LC-20AT液相色谱仪、GCMS-ISQ7610气相色谱质谱联用仪、AUX 220电子天平,日本岛津公司;FE20型pH计,美国Mettler Toledo 公司;Centrifuge 5417R1离心机,德国Eppendorf公司;Elx800酶标仪,美国BioTek公司;W100葡萄酒颜色分析仪,济南海能仪器股份有限公司;7890B气相色谱仪、5975B质谱仪,美国Agilent公司。

1.3 试验方法

1.3.1 葡萄酒酿造

在无菌环境下葡萄经除梗破碎、压榨取汁得到190 L葡萄醪后转移至200 L发酵罐中进行均质。在压榨过程中,以200 mg/L添加量加入护色丹宁38 g,以40 mg/L添加量加入果胶酶7.6 g,确保基本性质一致。之后转移至25个10 L发酵罐中,每罐按照20 mg/L添加量加入焦亚硫酸钾0.4 g,以获得约40 mg/L游离SO2,防止细菌污染。浸渍24 h,促进色素、风味物质溶出。CECA酿酒酵母干粉以200 mg/L接种量直接加入到每个发酵罐中启动发酵。分别在葡萄醪(添加酵母之前)(A)、起酵时(B)、起酵后2 d(C)、起酵后4 d(D)加入1.5、2、2.5 g/L的乳酸,不加酸作为对照组(CK),共13组实验,用A1.5表示在葡萄醪添加1.5 g乳酸处理组,其他处理组一样。每天早晚压帽,每隔12 h取样50 mL,并测量每个发酵容器的比重来监测发酵过程。控制发酵温度于18~25 ℃,维持发酵平稳,持续发酵至残糖量<4 g/L发酵完成。

1.3.2 葡萄酒基础理化指标测定

葡萄酒的总酸、挥发酸、总SO2、pH、酒度等基本理化指标的测定方法参照GB/T 15038—2006《葡萄酒、果酒通用分析方法(含第1号修改单)》,还原糖的测定采用DNS比色法[12],每个理化指标重复测定3次。

1.3.3 有机酸含量的测定

采用HPLC进行有机酸含量的测定。

制样:先将样品离心(5 000 r/min、4 ℃、2 min),然后对其进行稀释,使糖质量浓度在2 g/L左右,最后用0.22 μm有机滤膜过滤后用于HPLC分析。

测定条件:色谱柱为Bio Rad Aminex HPX 87-H (300 mm × 7.8 mm),流动相为10 mmol /L H2SO4溶液(色谱级),流速1.0 mL /min,柱温60 ℃,进样量20 μL,检测波长210 nm。

定量方法:根据保留时间确定物质种类,然后将对应峰面积代入表1回归方程计算样品中6种有机酸的含量。

表1 有机酸标准样品保留时间及标准曲线方程

Table 1 Retention time of organic acid standard samples and standard curve equations

有机酸保留指数(retention index, RI)/min标准曲线方程R2柠檬酸8.156y=1.642 9×106x+171 593.000.992 8酒石酸8.809y=3.085 7×106x-6 263.381.000 0苹果酸9.724y=1.647 8×106x+5 120.071.000 0琥珀酸11.540y=1.141 4×106x-5 768.281.000 0乳酸12.667y=1.366 1×106x-3 565.340.999 9乙酸14.649y=1.102 9×106x-7 379.391.000 0

1.3.4 CIELab参数的测定

采用葡萄酒颜色分析仪进行测定,参照李运奎等[13]的方法。将25 mL酒样倒入特定的玻璃比色皿,仪器通过连续扫描可见光区400~780 nm UV-Visible谱段,可直接在电脑上显示CIELab参数a*b*

1.3.5 花色苷含量的测定

采用液相色谱仪检测单体花色苷和总花色苷含量。酒样在分析前使用0.22 μm有机过滤膜进行过滤。

色谱条件:Synergi hydrorp C18色谱柱(250 mm×4.6 mm, 4 μm),流动相:溶剂A[V(纯水)∶V(乙腈)∶V(甲酸)=32∶4∶1]和溶剂B[V(纯水)∶V(乙腈)∶V(甲酸)=16∶20∶1],流速1.0 mL/min。进样量20 μL,检测波长520 nm,色谱柱保持在35 ℃。

定量方法:根据保留时间鉴定花色苷的种类,将峰面积代入标准曲线计算各单体花色苷的浓度。总花色苷含量通过积分峰的总面积来确定[15]

1.3.6 挥发性物质的测定

参考董超等[16]的方法,采用气相色谱质谱联用仪进行定性和定量分析。顶空固相微萃取:量取5.0 mL待测酒样置于15 mL样品瓶中,加1.0 g NaCl、10 μL内标(2 000 mg/L 4-甲基-2-戊醇)和磁力搅拌转子,置于磁力搅拌台上,40 ℃下搅拌30 min,随后插入萃取头,40 ℃下搅拌加热,顶空萃取30 min,然后,将萃取头插入GC进样口,在250 ℃下热解析8 min。

GC-MS分析:气相色谱为7890B GC,质谱为5975B MS,配备HP-INNOWAX(60 m×0.25 mm,0.25 μm)色谱柱,不分流自动进样,载气为高纯度He,流速1 mL/min。进样口温度250 ℃,质谱接口温度280 ℃,离子源温度230 ℃。升温程序为初始温度50 ℃保持1 min,然后以3 ℃/min升至220 ℃保持5 min。质谱电离方式EI,离子能量70 eV,全扫描质谱范围25~350 amu。

定性、定量分析:采用NIST14谱库查询,与NIST Chemical webbook保留指数(retention index, RI)对比定性化合物。用标准曲线定量法对化合物进行定量, R2在0.99以上。

1.3.7 感官品鉴

参考LIU等[17]的方法,在西北农林科技大学葡萄酒学院进行,品酒小组由12名经过统一培训、具有品酒经验的专业人员(年龄19~25岁,6男6女)组成,根据乳酸添加时期,将酒样分成4组,一起在专业品酒室进行整体感官评价。感官评估包括10个感官属性:外观(色泽)、香气(整体香气强度、奶油香、花香、果香、不愉快气味)、味感(酸度、余味、协调性)、综合评价。感官品尝评估的每个属性都以5分制进行评分,0~5表示强度逐渐增加,品鉴员根据酒样外观、香气和味感综合得分对酒样进行排序。

1.3.8 数据处理

利用Excel 2021进行数据统计和方差分析,结果以“平均值±标准差”形式表示。SPSS 27对试验数据进行显著性差异分析。采用SIMCA进行主成分分析(principal component analysis,PCA),Origin 2021进行绘图。

2 结果与分析

2.1 葡萄酒发酵动力学

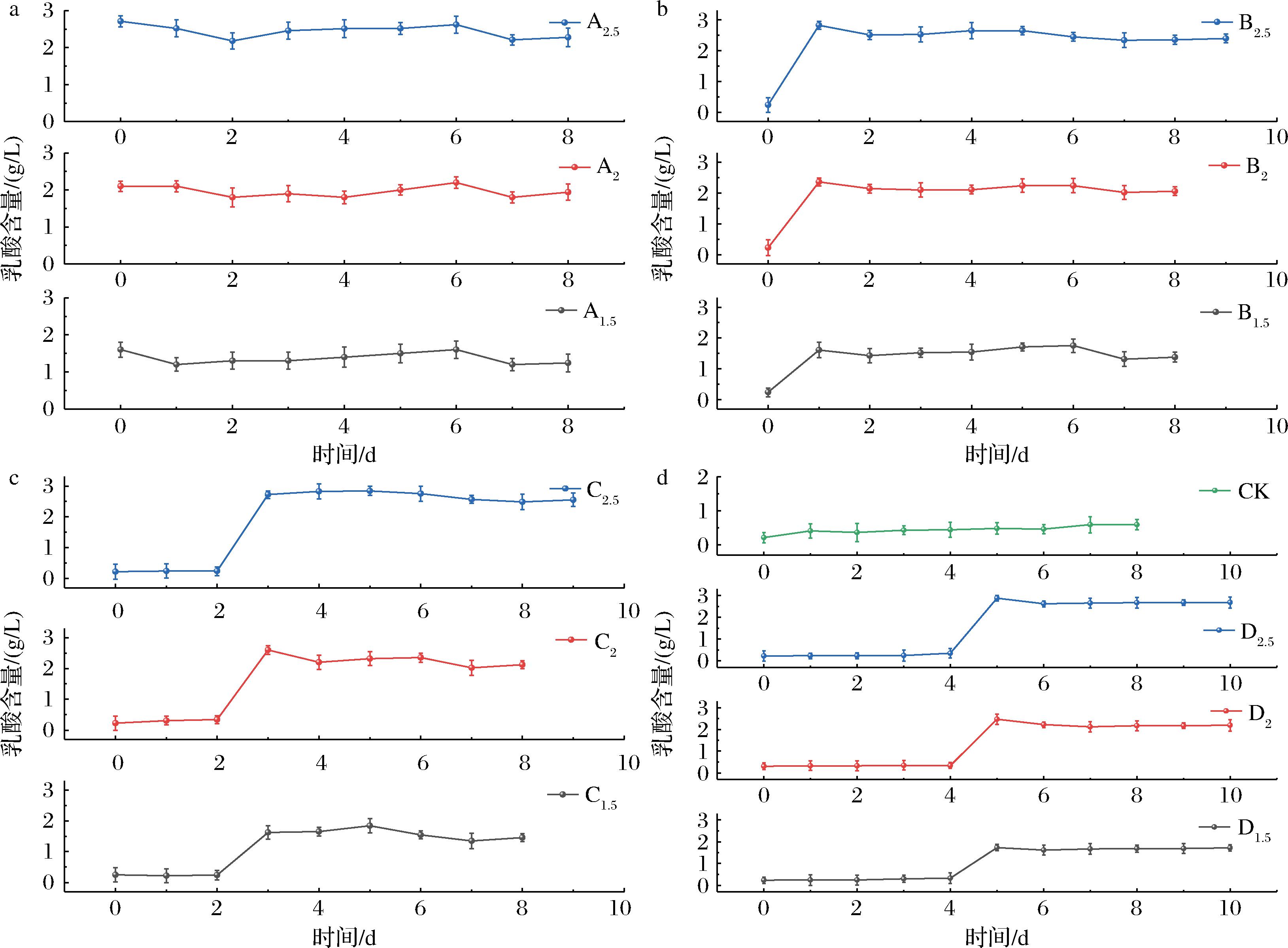
通过比重法检测13罐葡萄酒的酒精发酵进程,结果如图1所示。每隔12 h测量比重以监测发酵动力学,发酵持续时间为192~264 h(8~11 d),最终都完成了酒精发酵,其间略有差异。从起酵开始,13罐葡萄酒比重都呈现急剧下降趋势,其中CK、A1.5、A2、A2.5、B1.5、B2、C1.5、C2这8组在第8天完成发酵,B2.5、C2.5在第9天完成发酵,D1.5、D2在第10天完成发酵,而D2.5在第11天才完成发酵,残糖<4 g/L出现发酵动力不足。可见,与对照组相比,乳酸的添加对整个发酵过程有着较大的影响,多组出现发酵滞后现象,乳酸添加越晚这种情况越显著,可能是因为在发酵后期酵母数量较低,乳酸的添加改变了环境pH,使得酵母活性受到抑制,糖消耗速率降低。

图1 葡萄酒发酵动力学图

Fig.1 Dynamics of wine fermentation

2.2 葡萄酒基础理化指标

由表2可知,酒样理化指标均符合GB/T 15037—2006《葡萄酒》的规定,12组添加乳酸酿得的酒样总酸含量在5.17~6.68 g/L,同一时期添加乳酸酿得的酒样总酸含量和pH也呈梯度变化。与对照组相比,12组实验组的总SO2含量都略低,各组的酒精度(13.17~14.26%vol)相差不大。由图2可知,发酵过程添加乳酸后,在第2天测得的乳酸含量都出现略微降低,可能是因为酒中某些微生物在代谢时消耗了部分乳酸,之后乳酸的含量趋于稳定状态。在酒精发酵结束前1 d,乳酸的含量又出现下降,原因可能是酒精发酵后期酒中的香气物质(如酯类物质)含量较高,与乳酸结合生成乳酸酯类物质[18]。由表2可知,酒石酸、苹果酸、柠檬酸、琥珀酸和乙酸这5种有机酸在各酒样中含量差别不大,同一时期添加不同含量乳酸酿得的酒样总酸含量也呈梯度变化。比较乳酸在不同时期同一添加量的各组酒样中含量,可以发现添加酸的时期越晚,酒样pH越低,成品酒中的乳酸含量越高,总酸含量也越高,酸度保持越好,与COMUZZO等[8]的研究结果一致。

a-葡萄醪时添加不同含量乳酸;b-起酵时添加不同含量乳酸;c-起酵2 d时添加不同含量乳酸;d-起酵4 d时添加不同含量乳酸

图2 发酵过程中各组处理酒样乳酸含量的变化

Fig.2 Changes of lactic acid content in wine samples treated by each group during fermentation

图3 葡萄酒中总花色苷含量

Fig.3 Total anthocyanin content in wine

表2 葡萄酒基础理化指标

Table 2 Basic physical and chemical indexes of wine

组别乳酸/(g/L)酒石酸/(g/L)苹果酸/(g/L)柠檬酸/(g/L)琥珀酸/(g/L)挥发酸/(g/L)总酸/(g/L)pH酒精度/%vol残糖/(g/L)总SO2/(mg/L)A1.51.24±0.14e2.01±0.04a1.17±0.14a0.19±0.02b0.27±0.05b0.29±0.04a5.17±0.04i4.06±0.21b13.76±0.04c2.40±0.04f71.88±0.04cA21.94±0.04c1.98±0.12a1.14±0.03a0.18±0.07b0.24±0.04d0.30±0.04a5.78±0.32f4.02±0.04b13.36±0.06e3.37±0.05b47.92±0.08hA2.52.28±0.41b1.99±0.03a1.05±0.06b0.22±0.05b0.29±0.04c0.26±0.02b6.23±0.43c3.96±0.02c13.86±0.07c3.01±0.23d66.56±0.12dB1.51.38±0.24e1.98±0.05a1.18±0.07a0.21±0.32b0.28±0.32c0.29±0.32a5.32±0.06h4.10±0.02b13.54±0.02d2.94±0.07d53.25±0.05gB22.06±0.08c1.96±0.04a1.14±0.25a0.18±0.08b0.28±0.54c0.26±0.04b5.92±0.02e4.03±0.04b14.02±0.34b2.17±0.05g55.91±0.34fB2.52.40±0.07ab1.98±0.06a1.16±0.53a0.21±0.06b0.32±0.15b0.26±0.04b6.33±0.08c3.94±0.03c14.26±0.51a2.33±0.03f45.26±0.54iC1.51.46±0.03e1.99±0.03a1.04±0.43b0.21±0.32b0.32±0.45b0.28±0.02a5.42±0.03h4.06±0.03b13.55±0.07d2.93±0.06d77.21±0.08bC22.12±0.32bc1.98±0.06a1.14±0.07a0.17±0.63b0.29±0.07c0.31±0.05a6.01±0.05e4.02±0.15b13.53±0.04d2.69±0.06e47.92±0.43hC2.52.55±0.25a2.01±0.03a1.19±0.26a0.18±0.32b0.29±0.08c0.28±0.02a6.50±0.02b3.95±0.02c13.73±0.02c2.57±0.02e61.24±0.41eD1.51.70±0.514d2.02±0.04a1.18±0.06a0.17±0.07b0.32±0.04b0.22±0.15c5.61±0.04a4.03±0.02b13.17±0.06f2.88±0.07d58.57±0.32fD22.19±0.32b1.98±0.07a1.11±0.26a0.20±0.04a0.27±0.02c0.29±0.32a6.11±0.06d3.96±0.01c14.24±0.07a2.17±0.15g66.56±0.03dD2.52.68±0.05a2.01±0.08a1.14±0.17a0.18±0.05b0.36±0.06a0.27±0.04a6.68±0.02a3.94±0.02c13.36±0.08e3.71±0.43a58.57±0.06fCK0.21±0.06f2.03±0.02a1.18±0.47a0.25±0.63a0.27±0.02c0.21±0.06c4.09±0.03j4.23±0.04a13.43±0.02e3.14±0.25c82.53±0.08a

注:同列不同小写字母差异显著(P<0.05),下同。

2.3 乳酸调控对葡萄酒颜色的影响

酒样CIELab参数的数值如表3所示。L*数值的大小反映了酒样的光泽度,范围在0(黑色)~100(白色)[19]。13组酒样的L*(明度)范围在42.64~57.00,不同酒样的光泽度差异较大。其中,酒样1(A1.5)L*值最高,为57.00,酒样4(B1.5)L*值其次,这在一定程度上说明了以上2个酒样的颜色整体上较为明亮,而酒样12(D2.5)的光泽度最低,为42.64,但也在明亮范围内。a*代表了酒样的红绿色程度。由表3可见,与CK相比,所有酒样a*值都有所增加,表明乳酸的添加在一定程度上可以提高酒样的红色色调。其中酒样4(B1.5)的a*值最高,为49.05,表明该酒样颜色的红色成分较多。b*代表了酒样的黄蓝色程度,b*值越小表明黄色色调越低,酒样b*值范围在14.24~17.76,各酒样相差不大,酒样12(D2.5)b*值最高,为17.76,表明该酒样的黄色分量较多;而酒样4(B1.5)b*值最低。色度表明了酒样的色彩饱和度,是a*b*共同作用的结果,其值越大,色彩饱和度越高[20]。与CK相比,所有酒样的色度都有所增加,尤其酒样4(B1.5)和酒样6(B2.5)的色彩饱和度最好。色调反映了酒样的色彩倾向程度。对于红葡萄酒而言,葡萄酒越年轻其值越小,呈现出紫红色或深宝石红色的颜色特征。酒样色调差别不大。色差表明了酒样色彩差异程度,人能观察出色差差别的范围为时,人眼将不能识别出酒样之间的颜色差异;一般来说,当时,样本色彩之间具有强烈的色彩差异[20]。该实验以酒样1(A1.5)作为参比,酒样3(A2.5)、4(B1.5)和5(B2)的色差<6,表明和参比酒样之间没有强烈的色彩差异,而其他酒样色差均>6,这可能与乳酸的添加时间以及添加量有关。

表3 酒样CIELab参数

Table 3 Alcohol-like CIELab parameters

组别L∗a∗b∗C∗abh∗abE∗abA1.557.00±0.18a38.96±0.04d14.40±0.04b41.53±0.53d0.35±0.34b0.00±0.00gA250.41±0.44c44.77±0.21bc15.62±0.42ab47.42±0.64bc0.34±0.06b8.877±0.05eA2.554.66±0.32b42.95±0.05c14.24±0.06b45.25±0.05bc0.32±0.23c4.633±0.00fB1.556.19±0.00a49.05±0.41c15.95±0.52ab49.97±0.63c0.36±0.15b5.147±0.13fB253.31±0.35b42.87±0.00c14.40±0.62b45.22±0.00bc0.32±0.08c5.380±0.05fB2.548.69±0.35cd47.07±0.03ab15.73±0.31ab49.63±0.04b0.32±0.03c11.690±0.16dC1.548.22±0.63cd45.65±0.53b15.99±0.64ab48.37±0.64b0.34±0.56b11.154±0.04dC244.69±0.14de47.81±0.81ab17.01±0.00a50.75±0.05b0.34±0.17b15.387±0.16bC2.549.06±0.00cd46.64±0.07b15.06±0.06ab49.01±0.00b0.31±0.42cd11.069±0.00dD1.547.01±0.32d46.97±0.02b16.65±0.03a48.83±0.06b0.34±0.42b13.005±0.18cD246.08±0.53d48.31±0.41ab17.03±0.53a47.22±0.63ab0.34±0.08b14.617±0.35bcD2.542.64±0.24e47.04±0.08a17.76±0.02a47.10±0.02a0.34±0.06b18.451±0.86aCK55.28±0.72ab36.79±0.62d17.26±0.42a40.64±0.03d0.44±0.05a10.205±0.04d

综合考虑所有参数,酒样4(B1.5)的颜色最鲜亮,酒样1(A1.5)颜色次之。

2.4 乳酸调控对葡萄酒花色苷含量的影响

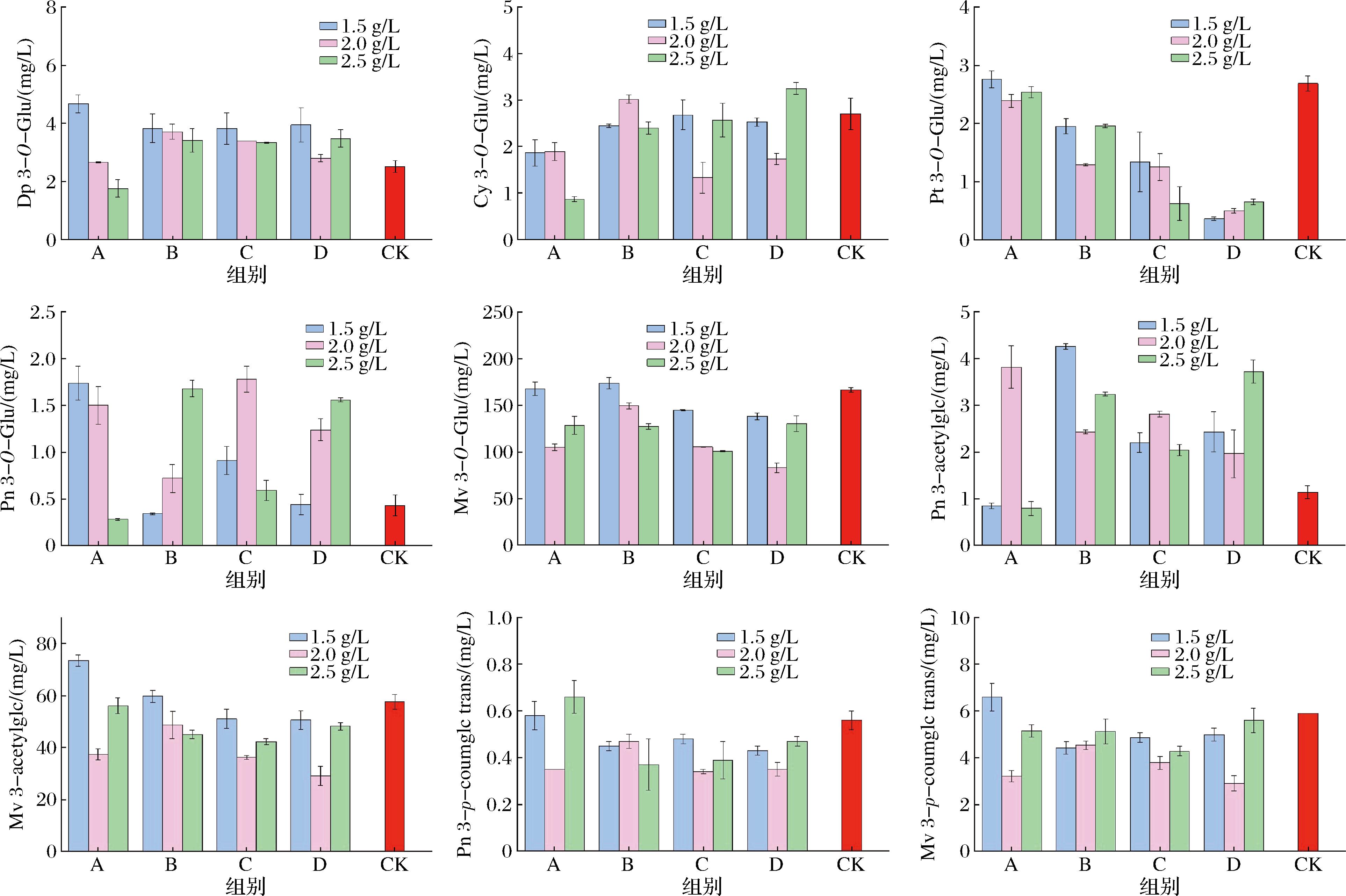
葡萄酒中的主要花色苷在520 nm处有较强的吸收峰,通过高效液相色谱共检出9种单体花色苷,包括花翠素3-O-葡萄糖苷(Dp-3-O-Glc)、花青素3-O-葡萄糖苷(Cy-3-O-Glc)、甲基花翠素3-O-葡萄糖苷(Pt-3-O-Glc)、甲基花青素3-O-葡萄糖苷(Pn-3-O-Glc)、二甲花翠素3-O-葡萄糖苷(Mv-3-O-Glc)、甲基花青素3-O-(6-O-乙酰)葡萄糖苷(Pn-3-acetylGlc)、二甲花翠素3-O-(6-O-乙酰)葡萄糖苷(Mv-3-acetylGlc)、甲基花青素3-O-(6-O-反式对香豆酰)葡萄糖苷(Pn-3-trans-p-coumGlc)、二甲花翠素3-O-(6-O-反式对香豆酰)葡萄糖苷(Mv-3-trans-p-coumGlc),这与陆文轩等[21]研究结果一致。如图4所示,其中Dp-3-O-Glc、Pt-3-O-Glc、Mv-3-acetylGlc、Mv-3-trans-p-coumGlc这4种单体花色苷在酒样A1.5中都表现出较高的含量,分别为4.67、2.76、73.5、6.59 mg/L。Pt-3-O-Glc、Pn-3-O-Glc这2种花色苷在酒样B1.5中含量最高,分别为173.99、4.26 mg/L。

图4 葡萄酒中9种单体花色苷的含量

Fig.4 Content of 9 monomer anthocyanins in wine

由图3可知,花色苷总含量最高的为A1.5(333.41 mg/L)。B1.5总花色苷含量次之(292.92 mg/L),酒样D2中总花色苷含量最低,仅有159.77 mg/L,比对照组CK总花色苷含量286.25 mg/L,少了44.18%。可见乳酸添加时间以及添加量对花色苷含量有着显著影响,越早添加,护色效果越好。

2.5 不同乳酸处理的葡萄酒种花色苷与CIELab参数的相关系数

花色苷是葡萄酒主要的呈色物质,葡萄酒的颜色与花色苷含量和结构稳定性密切相关,在发酵过程中,葡萄酒CIELab颜色参数会随着花色苷的种类及含量的变化而变化,二者存在相关性[22]。将酒样中单体花色苷与CIELab颜色参数进行相关性分析,结果如电子版增强出版附表1所示(https://doi.org/10.13995/jcnki.11-1802/ts.043423,下同),Pt-3-O-Glc与a*呈极显著负相关,即随着Pt-3-O-Glc含量的增加葡萄酒a*值(红色色调)会显著降低;Mv-3-acetylGlc、Pn-3-trans-p-coumGlc、Mv-3-trans-p-coumGlc trans与Mv-3-O-Glc均呈极显著正相关;Mv-3-acetylGlc与L*呈极显著正相关,该花色苷在酒样A1.5中含量最高,明亮度最高,但与a*呈极显著负相关。L*呈极显著负相关;a*C*呈极显著正相关。这些相关性数据为葡萄酒品质控制提供了科学依据,表明乳酸的添加在影响葡萄酒色泽和色调方面发挥着重要作用,通过精准的乳酸调控,可以更精确地调控葡萄酒的色泽,进而提升其市场价值和消费者的感官体验。

2.6 乳酸调控对葡萄酒香气物质的影响

葡萄酒的香气质量是一项重要的感官特征,对葡萄酒的整体吸引力和消费者偏好有着重要的影响[23]。香气活力值(odor activity value,OAV),为香气物质质量浓度与嗅觉阈值的比值,用于评价香气物质对样品风味呈香的贡献程度,通常OAV>1的香气物质被认为是特征香气物质,对整体香气有不可忽视的贡献,OAV越高,该香味化合物在整个香味体系中的贡献越大[24-25]。对酒样进行定量香气物质分析,结果见附表2和附表3,共检测出57种香气物质,其中包括酯类23种,高级醇类17种,酸类6种,酮醛类4种,类异戊烯类7种。由于添加乳酸,12组实验组酒样中乳酸乙酯的含量显著增加,其含量随着乳酸添加量呈现梯度变化,较对照组增加了25.47~63.03倍,为酒样带来更多的乳香。乙酸乙酯的含量也有一定的增加,在酒样B1.5表现出最高水平(61 221.27 μg/L),增强了酒样的果香和甜香。此外,乙酸异戊酯、丁酸乙酯、辛酸乙酯、异戊醇、苯乙醇在酒样A1.5和B1.5中也表现出较高水平,赐予葡萄酒果香、花香和玫瑰花香等[26-27]

2.7 主成分分析

为了更好地分析乳酸添加对葡萄酒香气物质的影响,对附表2和附表3中26种OAV>1的物质进行PCA,并将这26种物质分成乙酸酯类、短链脂肪酸乙酯、中链脂肪酸乙酯、醇类、酸类、醛酮类和类异戊烯类共7大类,使用SIMCA对其含量进行PCA,结果如图5所示。共解释了86.9%的总方差变量,其中,PC1和PC2分别解释了61.1%和25.8%的变量,且酒样都能够被很好地区分。由图5可知,OAV>1香气物质主要分布在PC1正半轴。香气物质在酒样A1.5和B1.5中有着较高的积累,乙酸酯类、短链脂肪酸乙酯、中链脂肪酸乙酯和酸类在酒样B1.5含量较高,分别为61 702.63、404.76、2 347.06、18 619.03 μg/L,而高级醇类在酒样A1.5中含量最高,为577 296.33 μg/L。可见在葡萄醪时期添加1.5 g/L乳酸(A1.5)和在起酵时添加1.5 g/L乳酸(B1.5),能够显著提高葡萄酒香气物质含量。

图5 香气物质主成分分析图

Fig.5 Principal component analysis of aromatic substances

2.8 感官分析

品酒小组对13款酒样从外观(色泽)、香气(香气强度、奶油香、花香、果香、不愉快气味)、味感(酸度、余味、协调性)、综合评价进行品鉴打分,结果如图6所示,由图6-a可知,酒样A1.5综合得分最高,为4.2分;从图6-b可以看出,酒样B1.5无论在香气还是味感方面都有着较高评价,综合得分为4.5分;图6-c可以看出,酒样C2相对来说综合得分最高,为3.5分,但相比于前2个时期,好评明显下降;图6-d可以看出在起酵第4天添加乳酸的3组酒样中,D1.5表现出较好的得分,但与对照组相比,后2个时期添加乳酸,虽然香气得分有提高,但在味感方面明显不足,寡淡。综上,酒样B1.5相对得分最高。

图6 感官品鉴得分雷达图

Fig.6 Radar chart of sensory evaluation scores

3 结论

乳酸的添加对整个发酵过程有着较大的影响,多组出现发酵滞后现象。对比同一添加量不同添加时期各组酒样中乳酸的含量可见,乳酸添加时期越晚,成品酒中的乳酸与总酸含量越高,酸度保留效果越好。通过CIELab参数分析,酒样1(A1.5)L*值最高,为57.00,酒样4(B1.5)L*值其次,所有酒样a*值都有所增加,表明乳酸的添加在一定程度上可以提高酒样的红色色调。其中酒样4(B1.5)的a*值最高,值为49.05,综合考虑所有参数,酒样4(B1.5)的颜色表现最好,酒样1(A1.5)次之。花色苷总含量最高的为酒样A1.5,为333.41 mg /L。B1.5总花色苷含量次之,为292.92 mg/L,酒样D2中总花色苷含量最低,仅有159.77 mg/L,比对照组CK总花色苷含量(286.25 mg/L)少了44.18%,可见乳酸添加时间以及添加量对花色苷含量有着显著影响,越早添加乳酸,护色效果越好。相关性分析表明:Mv-3-acetylGlc、Pn-3-trans-p-coumGlc、Mv-3-trans-p-coumGlc与Mv-3-O-Glc均呈极显著正相关;Mv-3-acetylGlc与L*呈极显著正相关,该花色苷在酒样A1.5中含量最高,明亮度最高,但与a*呈极显著负相关。L*呈极显著负相关;a*呈极显著正相关。香气物质在酒样A1.5和B1.5中有着较高的积累,乙酸酯类、短链脂肪酸乙酯、中链脂肪酸乙酯和酸类在酒样B1.5含量较高,分别为61 702.63、404.76、2 347.06、18 619.03 μg/L,而高级醇类在酒样A1.5中含量最高,为577 296.33 μg/L。可见在葡萄醪时期添加1.5 g/L乳酸(A1.5)和在起酵时添加1.5 g/L乳酸(B1.5),能够显著提高葡萄酒香气物质含量。对酒样进行感官分析,酒样B1.5相对得分最高,在香气和味感上表现出较好的喜爱程度。

综上,实验组B1.5的葡萄酒质量最好,即在起酵时添加1.5 g/L乳酸可以获得较高品质的葡萄酒,通过精准的乳酸调控,可为葡萄酒品质控制提供了科学依据。

参考文献

[1] WEI M Y, TIAN Y, ZHANG K K, et al.Using abandoned unripe grape resources to solve the low-acid problem in the northwest wine region of China[J].Food Chemistry:X, 2023, 20:100976.

[2] 丁仁君, 夏延斌.葡萄酒中的有机酸及检测方法研究进展[J].食品与机械, 2014, 30(1):243-247.DING R J, XIA Y B.Research progress on detection of organic acids in grape wines[J].Food and Machinery, 2014, 30(1):243-247.

[3] 李德美. 品鉴葡萄酒[J].生命世界, 2018(4):48-55.LI D M.Tasting wine[J].Life World, 2018(4):48-55.

[4] 于潇淳, 徐晶, 李明, 等.葡萄酒生物降酸机制及发酵策略研究进展[J].中国酿造, 2023, 42(8):28-32.YU X C, XU J, LI M, et al.Advances on mechanism and fermentation strategy of biological deacidification in wine[J].China Brewing, 2023, 42(8):28-32.

[5] CHIDI B S, BAUER F F, ROSSOUW D.Organic acid metabolism and the impact of fermentation practices on wine acidity:A review[J].South African Journal of Enology and Viticulture, 2018, 39(2):1-15.

[6] 张扬, 彭晶晶, 李坤一, 等.发酵前添加有机酸对西拉红葡萄酒颜色和感官质量的影响[J].食品与发酵工业, 2023, 49(7):90-98.ZHANG Y, PENG J J, LI K Y, et al.Effects of organic acid added before fermentation on color and sensory quality of Syrah red wine[J].Food and Fermentation Industries, 2023, 49(7):90-98.

[7] WALKER T, MORRIS J, THRELFALL R, et al.Quality, sensory and cost comparison for pH reduction of Syrah wine using ion exchange or tartaric ACID1[J].Journal of Food Quality, 2004, 27(6):483-496.

[8] COMUZZO P, BATTISTUTTA F.Acidification and pH control in red wines[M].Red Wine Technology.Amsterdam:Elsevier, 2019:17-34.

[9] DANILEWICZ J C.Role of tartaric and malic acids in wine oxidation[J].Journal of Agricultural and Food Chemistry, 2014, 62(22):5149-5155.

[10] 孟令君, 张煜, 吴璐璐, 等.有机酸对赤霞珠干红葡萄酒的提酯增香效应研究[J].食品安全质量检测学报, 2024, 15(1):155-162.MENG L J, ZHANG Y, WU L L, et al.Effects of organic acids on the ester-improving and aroma-enhancing of Cabernet Sauvignon red wine[J].Journal of Food Safety and Quality, 2024, 15(1):155-162.

[11] 贾鑫, 张珍珍, 陈健, 等.复合酸添加工艺对葡萄酒色泽稳定性的影响[J].食品与发酵工业, 2025, 51(7):129-134.JIA X, ZHANG Z Z, CHEN J, et al.Effect of composite acid addition process on the color stability of wine[J].Food and Fermentation Industries, 2025, 51(7):129-134.

[12] 王春晓, 江璐, 刘延琳.DNS 法监控葡萄酒发酵进程的应用研究[J].中国酿造, 2012, 31(9):24-27.WANG C X, JIANG L, LIU Y L.Application study on monitoring wine fermentation process by DNS method[J].China Brewing, 2012, 31(9):24-27.

[13] 李运奎, 韩富亮, 张予林, 等.基于 CIELAB 色空间的红葡萄酒颜色直观表征[J].农业机械学报, 2017, 48(6):296-301.LI Y K, HAN F L, ZHANG Y L, et al.Visualization for representation of red wine color based on CIELAB color space[J].Transactions of the Chinese Society for Agricultural Machinery, 2017, 48(6):296-301.

[14] BOISIER B, MANSOURI A, GOUTON P, et al.Wine color characterization and classification for nuances reproduction[C].2009 Fifth International Conference on Signal Image Technology and Internet Based Systems.IEEE, 2009:93-98.

[15] WU L L, ZHANG Y, FAN S Y, et al.Intermolecular interactions between malvidin-3-O-glucoside and caffeic acid:Structural and thermodynamic characterization and its effect on real wine color quality[J].Food Chemistry, 2024, 453:139617.

[16] 董超, 黄蓉, 姜娇, 等.粟酒裂殖酵母和戴尔有孢圆酵母混合发酵 对赤霞珠桃红葡萄酒品质的影响[J].中国食品学报, 2023, 23(3):206-216.DONG C, HUANG R, JIANG J, et al.Influence of mixed fermentation with schizosaccharomce spombe and Torulaspora delbrueckii on the quality of cabernet sauvignon rosé wine[J].Journal of Chinese Institute of Food Science &Technology, 2023, 23(3):206-216.

[17] LIU C Y, WEI X B, ZHANG Z S, et al.Color protection, aroma enhancement and sensory improvement of red wines:Comparison of pre-fermentation additions of cyclodextrins and polysaccharides[J].Food Chemistry, 2025, 477:143432.

[18] 钟婧威, 刘功良, 屈春云, 等.白酒酿造中乳酸乙酯调控的研究进展[J].食品研究与开发, 2024, 45(20):209-216.ZHONG J W, LIU G L, QU C Y, et al.Research progress on regulation of ethyl lactate in Baijiu brewing[J].Food Research &Development, 2024, 45(20):209-216.

[19] CHIRA K, JOURDES M, TEISSEDRE P L.Cabernet sauvignon red wine astringency quality control by tannin characterization and polymerization during storage[J].European Food Research and Technology, 2012, 234(2):253-261.

[20] 赵宇, 沙青, 孔彩琳, 等.西北地区干红葡萄酒质量相关理化指标的判别功能解析[J].食品科学技术学报, 2021, 39(3):129-139.ZHAO Y, SHA Q, KONG C L, et al.Discriminant analysis of physicochemical indexes related to quality of dry red wines from northwest China[J].Journal of Food Science and Technology, 2021, 39(3):129-139.

[21] 陆文轩, 张碧颖, 巴旦加布, 等.植物乳杆菌在不同品种葡萄酒中苹果酸乳酸发酵性能的评价[J].食品与发酵工业, 2022, 48(12):82-89;96.LU W X, ZHANG B Y, BA D, et al.Evaluation on malolactic fermentation performance of Lactobacillus plantarum in wine fermentation with different grape varieties[J].Food and Fermentation Industries, 2022, 48(12):82-89;96.

[22] 张波, 祝霞, 盛文军, 等.红葡萄酒中花色苷辅色化反应研究进展[J].中国农业科技导报, 2017, 19(8):92-104.ZHANG B, ZHU X, SHENG W J, et al.Studious on copigmentation of anthocyanins in red wines[J].Journal of Agricultural Science &Technology, 2017, 19(8):92-104.

[23] 王征, 杨慧, 张众, 等.自然发酵对“赤霞珠”葡萄酒香气物质及理化性质的影响[J].中国食品学报, 2024, 24(12):372-386.WANG Z, YANG H, ZHANG Z, et al.Effects of natural fermentation of cabernet sauvignon wine on aroma component and physicochemical properties[J].Journal of Chinese Institute of Food Science and Technology, 2024, 24(12):372-386.

[24] 李文艳, 徐雅强, 王凌云, 等.户太8号桃红葡萄酒贮藏期香气物质损失及添加剂护香效果分析[J].食品科学技术学报, 2023, 41(1):135-142.LI W Y, XU Y Q, WANG L Y, et al.Aroma substances decline of hutai-8 rose wine during storage and analysis of aroma protection effects of additives treatments[J].Journal of Food Science and Technology, 2023, 41(1):135-142.

[25] 李勇, 刘沁沁, 程炜, 等.小容器自然发酵‘美乐’葡萄酒中香气物质特征分析[J].中外葡萄与葡萄酒, 2025(2):62-73.LI Y, LIU Q Q, CHENG W, et al.Analysis of flavor compounds in ‘Merlot’ wine fermentation by small container spontaneous fermentation[J].Sino-Overseas Grapevine &Wine, 2025(2):62-73.

[26] 白雪冰, 陈鑫龙, 刘乾鑫, 等.基于色味指标光谱特性的贺兰山东麓干红葡萄酒产地细分[J].农业工程学报, 2024, 40(15):253-261.BAI X B, CHEN X L, LIU Q X, et al.Origin subdivision of dry red wine from Helan Mountain’s East Foothill based on the spectral characteristics of the color and taste indicators[J].Transactions of the Chinese Society of Agricultural Engineering, 2024, 40(15):253-261.

[27] HE Y, WANG X Y, LI P H, et al.Research progress of wine aroma components:A critical review[J].Food Chemistry, 2023, 402:134491.

Influence of lactic acid addition on the quality of Cabernet Sauvignon wine

WANG Junhe1, YANG Hanyu1,ZHUANG Jiaying1, MU Haibin2, MA Danyang2, LIU Yanlin1, JIANG Jiao1, WANG Jing3, SONG Yuyang1*

1(College of Enology, Northwest A&F University, Yangling 712100, China)2(Administrative Committee of Wine Industry Zone of Ningxia Helan Mountains’ East Foothill, Yinchuan 750000, China)3(College of Food Science and Engineering, Gansu Agricultural University, Lanzhou 730070, China)

ABSTRACT To investigate the effect of lactic acid on wine quality, this study used Cabernet Sauvignon grapes as raw materials and added gradient concentrations of lactic acid at four fermentation stages.By measuring the basic physical and chemical indices, CIELab parameters, anthocyanin content, and volatile aroma compounds of the wine, and conducting sensory evaluation analysis, this study comprehensively determined at which fermentation stage and with what dosage of lactic acid the highest-quality wine could be obtained.The results showed that lactic acid addition caused fermentation lag in multiple groups.The later the acid was added, the higher the lactic acid content and total acid content in the finished wine, and the better the acid retention.Through CIELab parameter analysis, wine sample B1.5 had the brightest color, followed by sample A1.5.The total anthocyanin content was highest in sample A1.5 (333.41 mg/L), followed by sample B1.5(292.92 mg/L).Sample D2 had the lowest total anthocyanin content (159.77 mg/L), which was 44.18% lower than that of the control group (CK, 286.25 mg/L), indicating that the earlier lactic acid was added, the better the color-protecting effect.Correlation analysis showed significant correlations among CIELab parameters and between these parameters and individual anthocyanin contents.GC-MS analysis revealed that lactic acid addition increased the aroma compound content in samples A1.5 and B1.5.Sensory evaluation showed that sample B1.5 had the highest score, with better preference in aroma and taste.In conclusion, the wine quality of experimental group B1.5 was the best, meaning that adding 1.5 g/L lactic acid at the beginning of fermentation can produce high-quality wine.Precise regulation of lactic acid provides a scientific basis for wine quality control.

Key words dry red wine;lactic acid;organic acid;wine quality

DOI:10.13995/j.cnki.11-1802/ts.043423

引用格式:王俊鹤,杨涵钰,庄家莹,等.乳酸添加对赤霞珠红葡萄酒品质的影响[J].食品与发酵工业,2026,52(7):123-131.WANG Junhe, YANG Hanyu,ZHUANG Jiaying, et al.Influence of lactic acid addition on the quality of Cabernet Sauvignon wine[J].Food and Fermentation Industries,2026,52(7):123-131.

第一作者:硕士研究生(宋育阳教授为通信作者,E-mail:yuyangsong@nwsuaf.edu.cn)

基金项目:宁夏回族自治区重点研发计划项目(2023BCF01025);宁夏回族自治区重大科技成果转化项目(2023CJE09001);智力授疆创新拓展人才计划“小组团”授疆团队(葡萄酒微生物与酿造学)项目(2024);国家现代农业(葡萄)产业技术体系(CARS-29-jg-3)

收稿日期:2025-05-29,改回日期:2025-08-15