压差预冷对菜豆贮藏及货架期品质的影响

邓心昊,焦旋,李超,张晓宇,张立新*

(山西农业大学 食品科学与工程学院,山西 太原,030031)

摘 要 为了探究压差预冷对菜豆贮藏及货架期品质的影响。以菜豆为试材,在冷库中进行压差预冷后,分别置于(10±1) ℃冷库贮藏18 d及模拟运输48 h后,置于25 ℃常温货架模拟销售5 d,定期测定菜豆的品质及生理指标。结果表明:相较于冷库预冷,压差预冷大幅提升了菜豆的降温速率并保持了较低的运输果温,抑制了菜豆在贮藏及货架期的呼吸强度和乙烯释放速率,推迟了呼吸与乙烯释放高峰的出现,降低了菜豆的失重率与腐烂率,维持了较高的硬度、可溶性固形物含量,减缓了粗纤维的增长,提升了菜豆的口感和质地,保持了较优的色泽和较高的叶绿素含量,延缓了菜豆的褪绿暗沉,降低了相对电导率、丙二醛含量和脂氧合酶活性,减轻了菜豆的膜脂过氧化程度,较好地保持了膜完整性,维持了较高的总酚、类黄酮、抗坏血酸等抗氧化成分含量及过氧化氢酶和抗坏血酸过氧化物酶活性,并抑制了过氧化物酶活性,提升了对活性氧自由基的清除能力,增强了菜豆抗氧化性。综上所述,压差预冷可提升菜豆的贮藏及货架期品质,具有较好的应用前景。

关键词 压差预冷;菜豆;贮藏品质;货架品质

鲜食菜豆脆嫩饱满、鲜美可口、营养成分丰富,是人体获取植物蛋白的主要蔬菜之一。然而,由于菜豆呼吸旺盛、组织幼嫩,采后易发生褪色、萎蔫、纤维化、腐烂等问题,导致货架销售期短[1]。预冷是果蔬采后冷链流通的首要环节,能快速去除田间热、是保证果蔬贮运品质的关键措施[2]。然而,由于当前产地的预冷设施仍不完善,菜豆多采用冷库预冷的方式进行降温,预冷效率低下,在短时间内很难将菜豆降至适宜低温[3],导致不能有效地抑制其成熟衰老进程。此外,菜豆的远途运输主要采用“简易冷链”的模式,具体操作为将预冷后的菜豆放入泡沫箱中,加入冰瓶后封盖,移入车厢码垛并覆盖保温材料进行运输[4]。该模式保温能力有限,如果菜豆预冷时未降至适宜低温,在1~3 d的夏季高温运输途中,极易出现回温过快的问题,进而加速了菜豆的品质劣变速率、严重缩短了货架时间。因此,提升预冷效率是菜豆实际生产中亟待解决的关键问题。

压差预冷指利用轴流风机的抽吸作用使得预冷箱两侧形成压力梯度,迫使冷空气快速穿过箱体,从而与箱内果蔬充分接触换热,实现快速降温。相较于传统冷库预冷,压差预冷具有更高的预冷效率和预冷均匀度,且适用范围广,投入成本低[5],近年来已广泛推广应用至猕猴桃[6]、结球生菜[7]、黄花菜[8]等果蔬的采后快速预冷中,均获得了较好的保鲜效果。目前国内外关于菜豆的保鲜技术研究主要集中于保鲜剂处理、热处理、光照、超声波、贮运温度、气体组分、包装材料等对其采后品质的影响[1,9],而有关压差预冷对于菜豆的应用研究鲜有报道。因此,本研究以‘白不老’菜豆为试材,研究压差预冷对菜豆贮藏及货架期品质的影响,以期为完善菜豆冷链物流技术提供理论依据与技术参考。

1 材料和方法

1.1 材料和试剂

‘白不老’菜豆,于2024年5月采自山西省太原市尖草坪区一管理良好的菜园,采后立即运至山西省农科院保鲜所,并挑选大小均匀、成熟度相近、无机械损伤、无病虫害的菜豆作为试材。

硫代巴比妥酸、抗坏血酸、亚油酸钠、H2O2、红菲咯啉、二硫苏糖醇、愈创木酚,上海麦克林股份有限公司;丙酮、磷酸、乙醇、盐酸、甲醇、三氯乙酸等试剂,天津光复有限公司。以上试剂均为分析纯。

1.2 仪器与设备

压差预冷装置,山西省农科院保鲜所自制;WYA-2S折光仪,上海申光有限公司;RC-4HC温湿度记录仪,江苏精创有限公司;GC-14A气相色谱仪,日本岛津公司;SP-2500紫外可见分光光度计,上海尤尼柯有限公司;YC-260L货架展示柜,中科美菱有限公司;3-18K低温冷冻离心机,德国Sigma公司;CR-10色差仪,柯尼卡美能达有限公司;SHB-3循环水式多用真空泵,郑州长城科工贸有限公司;F-920型O2/CO2分析仪,美国Felix公司;TA.XT plus质构仪,英国Stable Micro Systems公司;FA2004电子天平,上海安仪有限公司;DDSJ-308A电导率仪,上海精密有限公司。

1.3 实验方法

1.3.1 处理方法

菜豆贮运处理参照实际生产,通过压差预冷和冷库预冷这2种方式分别对菜豆降温,库温设定为(10±1) ℃。压差预冷处理:将菜豆装入两侧对称开孔的预冷纸箱中,每箱约4 kg,参照焦旋等[10]的方法摆放压差预冷设备与预冷纸箱,预冷风速1.5 m/s,使用温度记录仪监测菜豆果心温度,当果心温度降至11 ℃左右时,关闭压差预冷装置,将菜豆装入PE保鲜袋,敞口放进塑料周转筐中,正常堆垛放置在冷库中,等待冷库预冷处理结束。冷库预冷处理:将菜豆装入PE保鲜袋,敞口放进塑料周转筐中,正常堆垛置于冷库中20 h。

预冷结束后,将部分试材立即装入内衬有PE保鲜袋的包装箱中,每箱6 kg,扎口置于(10±1) ℃冷库中贮藏18 d,每2 d测定1次菜豆的贮藏品质指标;剩余试材装入泡沫箱中,加入冰瓶,封盖后移至室外码垛,并外覆保温材料[11],模拟夏季高温环境下长途运输48 h,运输结束后将试材移至(25±1) ℃,80%~85%相对湿度的货柜中,进行为期5 d的模拟货架,每天测定1次菜豆的货架品质指标。通过设置以上4种处理,开展“压差预冷后贮藏”(T1)对比“冷库预冷后贮藏”(CK1)、“压差预冷+模拟运输+货架”(T2)对比“冷库预冷+模拟运输+货架”(CK2)这2组对照实验,分别探究压差预冷对菜豆贮藏及货架期品质的影响,每个处理均设置3组重复。

1.3.2 降温、升温曲线

使用温湿度记录仪,将探头插入豆荚,每5 min记录1次。

1.3.3 呼吸速率、乙烯释放速率的测定

参考陈熙等[12]的方法,取0.5 kg菜豆密封于5.5 L保鲜盒中2 h,测定盒内CO2浓度计算呼吸速率,单位为mg/(kg·h)。

参考JIAO等[13]的方法,取0.5 kg菜豆密闭于3 L玻璃瓶中4 h,抽取10 mL瓶中气体测定乙烯含量计算乙烯释放速率,单位为μL/(kg·h)。

1.3.4 失重率、腐烂率、硬度和可溶性固形物含量的测定

失重率:采用差质量法[14]测定,按公式(1)计算:

失重率

(1)

式中:m0,初始质量,g;mt,时间t时的质量,g。

腐烂率:采用计数法,按公式(2)计算:

腐烂率

(2)

式中:N1,腐烂菜豆数量,根;N0,菜豆总数,根。

硬度:参考XU等[15]的方法并略作修改。取5根菜豆,以豆荚籽粒连接处为穿刺点,每根菜豆穿刺3次,探头直径2 mm,穿刺距离2 mm,单位为N。

可溶性固形物(total soluble solids,TSS)含量:参考张帆等[16]的方法。将豆荚研磨粉碎后低温离心20 min,提取上清液使用折光仪进行测定,单位为%。

1.3.5 色泽、叶绿素含量的测定

色泽:参考何雪莲等[17]的方法。取5根菜豆,以豆荚包裹籽粒的部位为测点,每根菜豆测量3次,计算L*a*平均值。

叶绿素含量:参考WANG等[18]的方法,取豆荚样品采用丙酮提取测定,单位为μg/g。

1.3.6 相对电导率、丙二醛(malondialdehyde,MDA)含量、脂氧合酶(lipoxygenase,LOX)活性和粗纤维含量的测定

相对电导率:参考WU等[19]的方法并略作修改。将豆荚切成2 mm厚的薄片,取2 g样品经蒸馏水冲洗3次后加入锥形瓶中,瓶中加入20 mL蒸馏水,静置1 h后测定电导率A1;再将锥形瓶放入沸水中水浴15 min,取出冷却至室温,测定电导率A2。按公式(3)计算相对电导率:

相对电导率

(3)

MDA含量:取豆荚样品,采用硫代巴比妥酸法[20]测定,单位为nmol/g。

LOX活性:参照LI等[21]的方法,测定234 nm处的反应液吸光值,单位为U/g。

粗纤维含量:参照张秀玲等[22]的酸洗涤法测定。取1 g豆荚切碎放入锥形瓶中,加入100 mL的体积分数1.25%硫酸,加热微沸后连接冷凝管回流1 h,抽滤时经沸水冲洗3次后再用丙酮冲洗至滤液无色,将残渣倒进坩埚于105 ℃烘箱中烘2 h至恒重。按公式(3)计算粗纤维含量:

粗纤维含量

(4)

式中:m2,烘至恒重质量,g;m1,坩埚质量,g;m0,菜豆质量,g。

1.3.7 总酚、类黄酮、抗坏血酸含量的测定

总酚、类黄酮含量:以1%盐酸-甲醇溶液为提取液,测定豆荚样品在280、325 nm波长处的吸光值,结果分别用OD280/g和OD325/g表示[23]

抗坏血酸含量:参考SENICA等[24]的方法。取豆荚样品,加入50 g/L三氯乙酸溶液提取,收集滤液使用分光光度计测定,单位为mg/100 g。

1.3.8 过氧化物酶(peroxidase,POD)、过氧化氢酶(catalase,CAT)、抗坏血酸过氧化物酶(ascorbic acid peroxidase,APX)活性的测定

POD活性:使用愈创木酚法[25]进行测定。在470 nm处测定吸光值,单位为U/g。

CAT活性、APX活性:均参照曹建康等[23]的方法测定。分别在240、290 nm处测定吸光值,单位为U/g。

1.4 数据处理

采用Excel 2019处理实验数据,Origin 2024作图,SPSS 27.0进行显著性差异分析。

2 结果与分析

2.1 压差预冷对菜豆预冷和运输时温度的影响

由图1-a可知,2种模式的降温速率差异明显,冷库预冷20 h后菜豆仍高达16.8 ℃,而压差预冷仅用了3 h就将菜豆降至11.3 ℃;菜豆在运输时温度逐渐回升,48 h后,压差预冷处理的菜豆为20.5 ℃,而冷库预冷处理的菜豆已升至26 ℃,升温速率无明显差异(图1-b)。这表明压差预冷能快速降低菜豆温度并维持较低的运输品温。

a-预冷;b-运输

图1 压差预冷对菜豆预冷及运输时温度的影响

Fig.1 Effects of differential pressure pre-cooling on temperature of kidney beans during pre-cooling and transportation

2.2 压差预冷对菜豆贮藏及货架期的呼吸速率和乙烯释放速率的影响

由图2可知,贮藏与货架期间,菜豆的呼吸速率与乙烯释放速率呈先升后降的趋势,且呼吸与乙烯释放高峰十分明显。如图2-a、图2-b所示,冷库预冷处理的菜豆在贮藏第8天和货架第2天出现呼吸高峰,压差预冷处理将该节点延后了2 d和1 d,且峰值降低了7.75、8.17 mg/(kg·h),乙烯释放速率与呼吸速率的变化趋势几乎一致(图2-c、图2-d),压差预冷处理的菜豆乙烯峰值较冷库预冷处理分别降低了0.22、0.47 μL/(kg·h),经压差预冷处理的菜豆,呼吸速率与乙烯释放速率几乎始终低于冷库预冷处理(P<0.05)。这表明压差预冷可有效降低菜豆贮藏及货架期的呼吸速率和乙烯释放速率。

a-菜豆贮藏期的呼吸速率;b-菜豆货架期的呼吸速率;c-菜豆贮藏期的乙烯释放速率;d-菜豆货架期的乙烯释放速率

图2 压差预冷对菜豆贮藏及货架期的呼吸速率和乙烯释放速率的影响

Fig.2 Effects of differential pressure pre-cooling on respiratory rate and ethylene release rate of kidney beans during storage period and post-transportation shelf life

注:与CK组相比,相同贮藏与货架时间,*表示差异显著(P<0.05)(下同)。

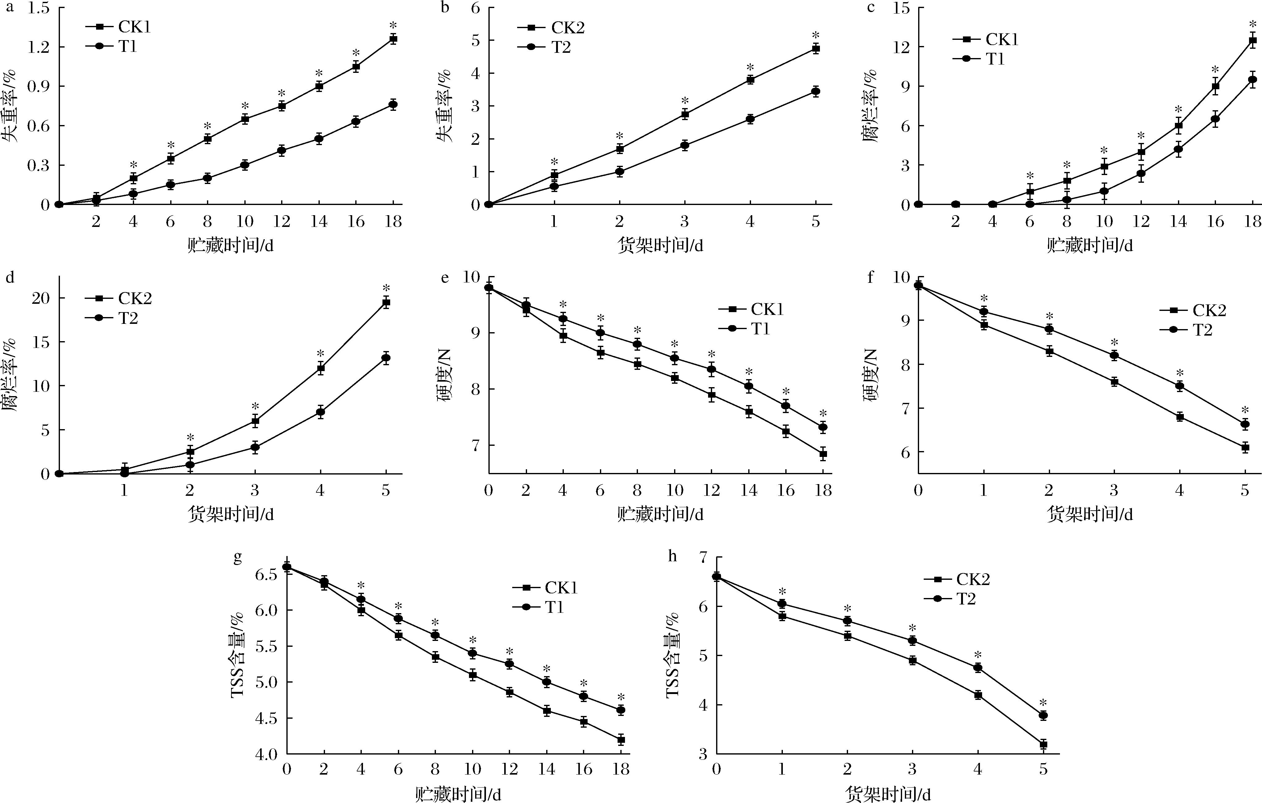
a-菜豆贮藏期的失重率;b-菜豆货架期的失重率;c-菜豆贮藏期的腐烂率;d-菜豆货架期的腐烂率;e-菜豆贮藏期的硬度;f-菜豆货架期的硬度;g-菜豆贮藏期的TSS含量;h-菜豆货架期的TSS含量

图3 压差预冷对菜豆贮藏及货架期的失重率、腐烂率、硬度和TSS含量的影响

Fig.3 Effects of differential pressure pre-cooling on weight loss rate, decay rate, hardness, and TSS content of kidney beans during storage period and post-transportation shelf life

2.3 压差预冷对菜豆贮藏及货架期的失重率、腐烂率、硬度和TSS含量的影响

由图3-a~图3-d可知,菜豆的失重率和腐烂率呈不断升高的趋势。冷库预冷处理的菜豆在贮藏第6天和货架第1天时就已出现了轻微腐烂,压差预冷处理的菜豆的失重率和腐烂率一直小于冷库预冷处理(P<0.05),贮藏期和货架期结束时,失重率仅有0.76%和3.44%,较冷库预冷处理降低了39.68%和27.41%;腐烂率仅为9.49%和13.16%,较冷库预冷处理降低了24.08%和32.51%。以上结果表明,压差预冷可减轻菜豆在贮藏及货架期的质量损失与腐烂程度,并推迟菜豆发生腐烂的时间。

硬度是反映果实质地特性的关键指标。由图3-e、图3-f可知,菜豆在贮藏和货架过程中硬度呈不断降低的趋势,压差预冷处理的菜豆硬度始终高于冷库预冷处理(P<0.05),至贮藏及货架期结束时,分别为7.32 N和6.63 N,较冷库预冷处理提高了6.86%和8.69%。这表明压差预冷能较好地保持菜豆在贮藏与货架销售时的硬度。

TSS含量是衡量果实品质和成熟度的重要指标。由图3-g、图3-h可知,菜豆贮藏与货架期间TSS含量不断下降,压差预冷处理有效延缓了TSS含量的下降速率,至贮藏期和货架期结束时,菜豆TSS含量仍有4.61%和3.78%,较冷库预冷处理提高了9.76%和18.13%,差异明显(P<0.05)。这表明压差预冷可有效延缓菜豆TSS在贮藏及货架期的分解速率。

2.4 压差预冷对菜豆贮藏及货架期的色泽和叶绿素含量的影响

L*值为亮度值,L*值越大,菜豆颜色越明亮;a*值为红绿值,当a*值为负值时,值越小,菜豆颜色越绿。由图4-a~图4-d可知,贮藏与货架初期,L*值增大,随着贮藏及货架时间的延长,L*值逐渐减小,a*值不断升高,菜豆逐渐失去鲜绿状态,变得暗沉。压差预冷处理的菜豆色泽变化较为缓慢,初期的L*值略低,而随着贮藏及货架时间的延长,L*值保持在较高水平,a*值则始终小于冷库预冷处理(P<0.05)。这表明压差预冷能较好地保持菜豆的鲜绿状态。

a-菜豆贮藏期的L*值;b-菜豆货架期的L*值;c-菜豆贮藏期的a*值;d-菜豆货架期的a*值;e-菜豆贮藏期的叶绿素含量;f-菜豆货架期的叶绿素含量

图4 压差预冷对菜豆贮藏及货架期的色泽和叶绿素含量的影响

Fig.4 Effects of differential pressure pre-cooling on color and chlorophyll content of kidney beans during storage period and post-transportation shelf life

由图4-e、图4-f可知,随着贮藏及货架时间的延长,菜豆叶绿素含量逐渐降低,压差预冷处理有效减缓了叶绿素含量的下降速度,始终处在较高水平(P<0.05),贮藏及货架期结束时,叶绿素含量仍有23.11、19.63 μg/g,较冷库预冷处理提高了15.26%和21.93%。这表明压差预冷可有效维持菜豆的叶绿素含量。

2.5 压差预冷对菜豆贮藏及货架期的相对电导率、MDA含量、LOX活性和粗纤维含量的影响

相对电导率是反映果蔬细胞膜透性变化的重要指标之一。由图5-a、图5-b可知,菜豆贮藏与货架期间的相对电导率一直上升,压差预冷处理有效减缓了这一趋势,相对电导率始终保持在较低水平(P<0.05),贮藏及货架期结束时,压差预冷处理的菜豆相对电导率为26.24%和32.41%,较冷库预冷处理降低了15.35%和20.15%。这表明压差预冷可减轻菜豆细胞膜损伤,更好地保持菜豆细胞膜完整性。

a-菜豆贮藏期的相对电导率;b-菜豆货架期的相对电导率;c-菜豆贮藏期的MDA含量;d-菜豆货架期的MDA含量;e-菜豆贮藏期的LOX活性;f-菜豆货架期的LOX活性;g-菜豆贮藏期的粗纤维含量;h-菜豆货架期的粗纤维含量

图5 压差预冷对菜豆贮藏及货架期的相对电导率、MDA含量、LOX活性和粗纤维含量的影响

Fig.5 Effects of differential pressure pre-cooling on relative electrical conductivity, MDA content, LOX activity, and crude fiber content of kidney beans during storage period and post-transportation shelf life

MDA含量是衡量生物体内膜脂过氧化程度的指标。由图5-c、图5-d可知,菜豆贮藏与货架期间,MDA含量呈一直升高的趋势,且前期增幅较快,压差预冷处理减缓了菜豆MDA含量的增长速度,使其始终保持在较低水平(P<0.05),至贮藏及货架期结束时分别为1.89、2.23 nmol/g,较冷库预冷处理降低了10%和13.23%。这表明压差预冷能降低菜豆MDA含量的积累速度。

LOX能够催化细胞膜中不饱和脂肪酸的氧化,引发脂质过氧化反应。由图5-e、图5-f可知,菜豆贮藏与货架过程中,其体内LOX活性呈先升高后降低的趋势,压差预冷处理的菜豆在贮藏第10天和货架第3天时达到酶活性峰值,较冷库预冷处理推迟了2 d 和1 d,峰值降低了7.86、11.77 U/g,且其活性几乎始终低于冷库预冷处理(P<0.05)。这表明压差预冷能有效抑制菜豆贮藏及货架期的LOX活性。

由图5-g、图5-h可知,菜豆在贮藏与货架期间,其粗纤维含量呈先上升后下降的趋势,在贮藏第12天和货架第3天时,压差预冷处理的菜豆粗纤维含量达到峰值4.42%和4.75%,峰值出现时间较冷库预冷处理延后了2 d与1 d,峰值降低了4.95%和7.77%,且压差预冷处理的菜豆在整个贮藏与货架期间的粗纤维含量都更低(P<0.05)。以上结果表明压差预冷可有效抑制菜豆粗纤维含量在贮藏期和货架期的增长。

2.6 压差预冷对菜豆贮藏及货架期的总酚、类黄酮和抗坏血酸含量的影响

多酚、黄酮、抗坏血酸具有清除活性氧自由基、减少细胞氧化损伤的作用,是重要的果蔬抗氧化活性成分。由图6-a~图6-d可知,贮藏与货架期间,菜豆总酚和类黄酮含量的变化趋势相似,均呈先上升后下降的趋势,压差预冷处理的菜豆于贮藏第12天和货架第3天时达到总酚与类黄酮含量峰值,峰值时间较冷库预冷处理延后了2 d和1 d,总酚含量峰值提高了0.06、0.09 OD280/g,类黄酮含量峰值提高了0.04、0.08 OD325/g,且其总酚和类黄酮含量几乎始终处于较高水平(P<0.05)。由图6-e、图6-f可知,菜豆的抗坏血酸含量在贮藏和货架过程中持续下降,压差预冷处理有效延缓了抗坏血酸的分解,至贮藏和货架期结束时,抗坏血酸含量分别为23.31、20.24 mg/100 g,较冷库预冷处理提高了11%和26.5%,差异显著(P<0.05)。以上结果表明,经压差预冷处理的菜豆在贮藏及货架期间,总酚、类黄酮和抗坏血酸含量均更高。

a-菜豆贮藏期的总酚含量;b-菜豆货架期的总酚含量;c-菜豆贮藏期的类黄酮含量;d-菜豆货架期的类黄酮含量;e-菜豆贮藏期的抗坏血酸含量;f-菜豆货架期的抗坏血酸含量

图6 压差预冷对菜豆贮藏及货架期的总酚、类黄酮和抗坏血酸含量的影响

Fig.6 Effects of differential pressure pre-cooling on total phenolics, flavonoids, and ascorbic acid contents of kidney beans during storage period and post-transportation shelf life

2.7 压差预冷对菜豆贮藏及货架期的POD、CAT和APX活性的影响

由图7可知,菜豆在贮藏和货架期间,体内POD、CAT和APX活性变化趋势相似,均是先升高后降低,压差预冷处理的菜豆在贮藏期第12天和货架期第3天时达到了酶活性峰值,较冷库预冷处理延后了2 d与1 d。由图7-a、图7-b可知,经压差预冷处理后,菜豆的POD活性几乎一直低于冷库预冷处理(P<0.05),贮藏与货架期的酶活性峰值相较冷库预冷处理分别降低了2.1、3.8 U/g。由图7-c~图7-f可知,压差预冷处理后,菜豆的CAT和APX活性几乎始终高于冷库预冷处理(P<0.05),CAT活性峰值较冷库预冷处理提高了5.17、9.86 U/g,APX活性峰值则提高了2.57、2.37 U/g。以上结果表明,相较于冷库预冷,压差预冷处理的菜豆在贮藏及货架期维持了较高的CAT、APX活性,且POD活性得到了有效抑制。

a-菜豆贮藏期的POD活性;b-菜豆货架期的POD活性;c-菜豆贮藏期的CAT活性;d-菜豆货架期的CAT活性;e-菜豆贮藏期的APX活性;f-菜豆货架期的APX活性

图7 压差预冷对菜豆贮藏及货架期的POD、CAT和APX活性的影响

Fig.7 Effects of differential pressure pre-cooling on POD, CAT, and APX activities of kidney beans during storage period and post-transportation shelf life

3 讨论和结论

预冷是保持蔬菜在贮运销过程中新鲜品质和营养价值的重要环节。菜豆是山西省产量较大、种植收益较高的一种冷凉蔬菜[26],采后除销往当地市场外,还需大量供应南方市场,由于其组织幼嫩、呼吸旺盛,加之夏季采收温度高,采后预冷尤为重要。然而,实际生产中多采用普通冷库预冷,受限于集中入库所致大量热量局部堆积的不利影响,该形式无法满足“高效率、低终温”的预冷需求,长时间处在较高果温下,极不利于菜豆的后续贮藏。此外,菜豆在“简易冷链”模式下长途运输时伴随的回温现象,更加剧了预冷效果不佳所致的不利影响,使得菜豆的货架期品质劣变严重。为改善上述问题,本试验参照实际生产模式,以冷库预冷为对照,将菜豆经压差预冷处理后,分别置于(10±1) ℃冷库贮藏18 d及以“简易冷链”模拟运输48 h后置于25 ℃货架模拟销售5 d,研究压差预冷对菜豆贮藏及货架期品质的影响。

温度是贮运保鲜技术的关键因素。试验结果表明,压差预冷仅用了3 h就将菜豆果心温度降低至11.3 ℃,显著提高了预冷效率,这一结果与CHEN等[27]、LEE等[28]的研究结论相一致。此外,压差预冷较低的预冷终温以及更好的蓄冷作用,也使得菜豆运输果温和初始货架品温均更低。适宜的低温环境能够有效抑制果蔬的生理代谢,减弱呼吸与乙烯释放强度,从而降低营养损耗,抑制微生物增殖,有效维持商品品质[29]。经压差预冷处理的菜豆,其硬度和TSS含量始终保持在较高水平,失重率和腐烂率显著低于冷库预冷处理,这与李自芹等[30]探究多种预冷方式对西梅贮藏品质影响的研究结果相一致。此外,低温对代谢的抑制作用有效减缓了叶绿素的降解速率,使得菜豆在贮藏及货架期间维持了较高的叶绿素含量,更好地保持了菜豆的鲜绿色泽[31]。上述结果表明,压差预冷在延缓菜豆采后衰老、维持营养品质与外观特性方面存在显著优势。

压差预冷显著抑制了LOX活性,能有效减缓菜豆膜脂过氧化链式反应,进而减少了膜脂过氧化产物MDA的积累量,降低了相对电导率,这表明了压差预冷能够有效减轻菜豆的细胞膜损伤程度,延缓菜豆衰老进程,这与TAO等[32]研究不同预冷方式对葡萄采后贮存品质影响的结论相似。粗纤维含量与菜豆的衰老紧密相关,菜豆品质会随着纤维化程度加深而迅速下降,而经压差预冷处理过的菜豆粗纤维含量显著低于冷库预冷处理,其纤维化进程明显减缓,这与唐月明等[33]关于压差预冷可延缓韭薹纤维化的研究结论一致,推测可能的机制为:完整的细胞膜系统保障了参与细胞壁合成的相关酶类的正常功能,避免了纤维素、木质素等粗纤维成分物质的异常合成和积累,延缓了菜豆纤维化进程。

抗氧化酶活性是植物体衰老及抗逆等特征重要的评价指标。本试验中,压差预冷推迟了相关抗氧化酶活性高峰的出现,使得菜豆的抗氧化防御体系能在更长时间内保持较好功能。压差预冷维持了贮藏及货架期菜豆较高的CAT和APX活性,增强了菜豆的抗氧化能力,这有利于清除细胞内过多的活性氧物质,进而延缓衰老,延长菜豆贮藏及货架期,这与LI等[34]研究得出的结论相似,即压差预冷可增强抗氧化酶活性和延缓果实成熟,从而保持芒果果实品质。POD活性过高会加速活性氧的积累,压差预冷避免了因缓慢降温导致的酶活性应激性升高,POD活性显著小于冷库预冷,有效延缓了菜豆细胞的衰老和氧化应激反应[35]。总酚、类黄酮和抗坏血酸是果蔬中的抗氧化成分,与抗氧化酶协同构成了果蔬的抗氧化防御体系。本研究结果表明,压差预冷处理的菜豆在贮藏及货架期间维持了更高含量的总酚、类黄酮和抗坏血酸,总酚与类黄酮的含量峰值也出现的更晚,这与焦旋等[10]的研究观点相一致,压差预冷能使油桃贮藏时保持较高含量的抗氧化成分,延缓总酚与类黄酮含量峰值出现时间,提升油桃抗氧化性。

本试验以菜豆为试材,研究了压差预冷对其贮藏及货架期品质及抗氧化性的影响。压差预冷可显著提升菜豆的降温速率,在运输中保持较低品温,从而降低了菜豆在贮藏及货架期的呼吸和乙烯释放强度,保持了较好的色泽与较高的硬度、TSS和叶绿素含量,并减缓了菜豆失重率、腐烂率和粗纤维含量的增长,降低了LOX活性、MDA含量和相对电导率,维持了较高的贮藏及货架后期的总酚、类黄酮、抗坏血酸含量及CAT和APX活性,并抑制了POD活性。综上所述,压差预冷可提高菜豆的贮藏及货架品质,适宜在实际生产中推广使用。

参考文献

[1] 谢国芳, 张明生.鲜食菜豆采后贮藏保鲜技术研究进展[J].食品工业科技, 2019, 40(12):326-330.XIE G F, ZHANG M S.Research advances in the postharvest storage and preservation techniques of fresh common bean (Phaseolus vulgaris L.)[J].Science and Technology of Food Industry, 2019, 40(12):326-330.

[2] 谌英敏, 令狐博祥, 赵茗彰, 等.基于计算流体力学的送风模式对层装蜜桃差压预冷效果的影响[J].食品科学, 2025, 46(7):292-302.CHEN Y M, LINGHU B X, ZHAO M Z, et al.Computational fluid dynamics analysis of the impacts of air supply velocity modes on the differential pressure precooling efficiency of peaches stored in ventilated packaging[J].Food Science, 2025, 46(7):292-302.

[3] 张新宪, 焦旋, 冯志宏, 等.压差预冷结合高分子隔热保温膜处理对甜樱桃货架品质的影响[J].食品与发酵工业, 2025, 51(18):109-117.ZHANG X X, JIAO X, FENG Z H, et al.Effect of forced-air precooling combined with high-molecular thermal insulation film treatment on quality of cherry during shelf-life period[J].Food and Fermentation Industries, 2025, 51(18):109-117.

[4] 孙红红, 戚军洋, 柴春燕.荸荠种杨梅产后保鲜运输技术研究[J].中国南方果树, 2022, 51(5):83-85;90.SUN H H, QI J Y, CHAI C Y.Study on technique for post-harvest preservation of Biqi red bayberry[J].South China Fruits, 2022, 51(5):83-85;90.

[5] DAI O J, WANG Y G, LI M N, et al.Post-harvest precooling technology and fresh-keeping mechanism of fruits and vegetables:A review[J].Postharvest Biology and Technology, 2025, 227:113623.

[6] ZHANG J Z, TENG J C, LIANG J Y, et al.Effect of different pre-cooling strategies on the storage quality of kiwifruit[J].Scientia Horticulturae, 2025, 344:114105.

[7] WANG X F, FAN Z Y, LI B G, et al.Forced-air cooling of iceberg lettuces:Cooling efficiency in relation to commercial operating strategies[J].International Journal of Refrigeration, 2022, 139:84-92.

[8] 马燕燕, 张超凡, 曹建康.冷风温度及装箱方式对鲜黄花菜预冷过程影响的模拟与试验研究[J].食品工业科技, 2025, 46(19):319-326.MA Y Y, ZHANG C F, CAO J K.Simulation and experimental study on the effects of cold air temperature and packaging method on the pre-cooling process of fresh daylily[J].Science and Technology of Food Industry, 2025, 46(19):319-326.

[9] 韩丽春, 王正荣, 王清, 等.豇豆采后保鲜技术的研究进展[J].现代食品科技, 2023, 39(6):321-330.HAN L C, WANG Z R, WANG Q, et al.Research progress on postharvest preservation technologies of cowpea[J].Modern Food Science and Technology, 2023, 39(6):321-330.

[10] 焦旋, 高阳, 高振峰, 等.压差预冷对油桃贮运品质及抗氧化性的影响[J].食品与发酵工业, 2020, 46(22):173-179.JIAO X, GAO Y, GAO Z F, et al.Improving quality and antioxidant capacity of nectarine by forced-air precooling during storage and transportation[J].Food and Fermentation Industries, 2020, 46(22):173-179.

[11] 张立新, 焦旋, 王亮, 等.一种果蔬运输车隔热保温结构:中国, CN2019204488508.9[P].2020-04-03.ZHANG L X, JIAO X, WANG L, et al.A thermal insulation structure for fruit and vegetable transport vehicles:China, CN2019204488508.9[P].2020-04-03.

[12] 陈熙, 苏宇萌, 郭家如, 等.基于能量代谢探究不同温度下马铃薯贮藏品质变化规律[J].食品与发酵工业, 2024, 50(6):159-168.CHEN X, SU Y M, GUO J R, et al.Investigation of changing trend of potato storage quality at different temperatures based on energy metabolism[J].Food and Fermentation Industries, 2024, 50(6):159-168.

[13] JIAO X, DENG B, ZHANG L X, et al.Melatonin and 1-methylcyclopropene improve the postharvest quality and antioxidant capacity of ‘youhou’ sweet persimmons during cold storage[J].International Journal of Fruit Science, 2022, 22(1):809-825.

[14] 王春阳, 鲍程, 陈昊聪, 等.不同温度处理对黄金勾豆角贮藏特性的影响[J].食品研究与开发, 2022, 43(1):60-66.WANG C Y, BAO C, CHEN H C, et al.Effects of different temperature treatments on golden hook beans storage characteristics[J].Food Research and Development, 2022, 43(1):60-66.

[15] XU Y J, WANG D, ZHAO W T, et al.Low frequency ultrasound treatment enhances antibrowning effect of ascorbic acid in fresh-cut potato slices[J].Food Chemistry, 2022, 380:132190.

[16] 张帆, 王红伟, 郑鄢燕, 等.外源NO对豇豆采后贮藏品质的影响[J].食品安全质量检测学报, 2023, 14(14):19-26.ZHANG F, WANG H W, ZHENG Y Y, et al.Effects of exogenous NO on postharvest storage quality of Vigna unguiculata L[J].Journal of Food Safety &Quality, 2023, 14(14):19-26.

[17] 何雪莲, 韩丽春, 郑鄢燕, 等.NO处理对黄金勾豆角采后贮藏品质的影响[J].食品科学, 2023, 44(7):220-228.HE X L, HAN L C, ZHENG Y Y, et al.Effect of NO treatment on postharvest storage quality of golden hook bean[J].Food Science, 2023, 44(7):220-228.

[18] WANG Q, DING T, ZUO J H, et al.Amelioration of postharvest chilling injury in sweet pepper by glycine betaine[J].Postharvest Biology and Technology, 2016, 112:114-120.

[19] WU Z C, LIU S, ZHAO J, et al.Comparative responses to silicon and selenium in relation to antioxidant enzyme system and the glutathione-ascorbate cycle in flowering Chinese cabbage (Brassica campestris L.ssp.chinensis var.utilis) under cadmium stress[J].Environmental and Experimental Botany, 2017, 133:1-11.

[20] JIN P, ZHU H, WANG L, et al.Oxalic acid alleviates chilling injury in peach fruit by regulating energy metabolism and fatty acid contents[J].Food Chemistry, 2014, 161:87-93.

[21] LI J Y, HAN Y, HU M, et al.Oxalic acid and 1-methylcyclopropene alleviate chilling injury of ‘Youhou’ sweet persimmon during cold storage[J].Postharvest Biology and Technology, 2018, 137:134-141.

[22] 张秀玲, 张雪婷, 王峥鉴.羧甲基纤维素复合涂膜对油豆角保鲜效果的影响[J].东北农业大学学报, 2019, 50(8):50-56.ZHANG X L, ZHANG X T, WANG Z J.Effect of carboxymethyl cellulose composite coating film on preservation of snap bean[J].Journal of Northeast Agricultural University, 2019, 50(8):50-56.

[23] 曹建康, 姜微波, 赵玉梅.果蔬采后生理生化实验指导[M].北京:中国轻工业出版社, 2007.CAO J K, JIANG W B, ZHAO Y M.Experiment Guidance of Postharvest Physiology and Biochemistry of Fruits and Vegetables[M].Beijing:China Light Industry Press, 2007.

[24] SENICA M, STAMPAR F, MIKULIC-PETKOVSEK M.Blue honeysuckle (Lonicera cearulea L.subs.edulis) berry;A rich source of some nutrients and their differences among four different cultivars[J].Scientia Horticulturae, 2018, 238:215-221.

[25] 徐冬颖, 史君彦, 郑秋丽, 等.臭氧处理对菠菜采后保鲜效果的影响[J].北方园艺, 2018(12):125-130.XU D Y, SHI J Y, ZHENG Q L, et al.Effect of ozone on postharvest storage quality of spinach[J].Northern Horticulture, 2018(12):125-130.

[26] 盛丽君, 李庆华, 吉康娜, 等.山西省蔬菜产业发展现状及对策[J].农业技术与装备, 2024(4):68-69;72.SHENG L J, LI Q H, JI K N, et al.Present situation and countermeasures of vegetable industry development in Shanxi Province[J].Agricultural Technology &Equipment, 2024(4):68-69;72.

[27] CHEN Q, QIAN J P, YANG H, et al.Multiscale coupling analysis and modeling of airflow and heat transfer for warehouse-packaging-kiwifruit under forced-air cooling[J].Biosystems Engineering, 2024, 244:166-176.

[28] LEE Y C, HSU M C, LIAO J Z, et al.Effects of forced-air precooling on postharvest physiological and storage quality of winged beans[J].Horticulturae, 2023, 9(1):45.

[29] 杨冲. 空心菜采后贮藏保鲜技术的研究[D].上海:上海海洋大学, 2019.YANG C.Research on storage technology of postharvest Ipomoea aquatica during storage[D].Shanghai:Shanghai Ocean University, 2019.

[30] 李自芹, 李文绮, 陶登峰, 等.不同预冷方式结合H2O2熏蒸处理对西梅贮藏期间品质的影响[J].新疆农业科学, 2024, 61(8):1947-1954.LI Z Q, LI W Q, TAO D F, et al.Fumigation on the quality of prune during storage[J].Xinjiang Agricultural Sciences, 2024, 61(8):1947-1954.

[31] 王佳捷, 孙颖, 刘雅慈, 等.压差预冷对西兰花贮藏品质的影响[J].食品与发酵工业, 2023, 49(23):227-235.WANG J J, SUN Y, LIU Y C, et al.Forced air pre-cooling effect on broccoli storage quality and reactive oxygen species metabolism[J].Food and Fermentation Industries, 2023, 49(23):227-235.

[32] TAO S Y, WANG J F, XIE J.Influence of different pre-cooling methods on the postharvest storage of ‘Kyoho’ grapes (Vitis labrusca × vinifera ‘Kyoho’)Open Access[J].Food Quality and Safety, 2024, 810.1093:fqsafe.

[33] 唐月明, 罗静红, 罗芳耀, 等.预冷方式对韭薹货架期品质的影响[J].食品科技, 2023, 48(8):23-28.TANG Y M, LUO J H, LUO F Y, et al.Effect of pre-cooling methods on quality of chives stem during shelf-life[J].Food Science and Technology, 2023, 48(8):23-28.

[34] LI J, FU Y L, YAN J Q, et al.Forced air precooling enhanced storage quality by activating the antioxidant system of mango fruits[J].Journal of Food Quality, 2019, 2019(1):1606058.

[35] 许青莲, 王冉冉, 王丽, 等.不同预冷方式对鲜切紫甘蓝冷链贮运销品质变化的影响[J].食品与发酵工业, 2019, 45(7):135-143.XU Q L, WANG R R, WANG L, et al.Effects of different pre-cooling methods on quality changes in fresh-cut purple cabbage during cold-chain transportation[J].Food and Fermentation Industries, 2019, 45(7):135-143.

Effects of differential pressure pre-cooling on storage and shelf-life quality of kidney beans

DENG Xinhao, JIAO Xuan, LI Chao, ZHANG Xiaoyu, ZHANG Lixin*

(College of Food Science and Engineering, Shanxi Agricultural University, Taiyuan 030031, China)

ABSTRACT To investigate the effects of differential pressure pre-cooling on the storage and shelf-life quality of kidney beans.Using kidney beans as test materials, after differential pressure pre-cooling in a cold storage, the samples were respectively stored at (10±1) ℃ in a cold storage for 18 d, and after simulated transportation for 48 h, placed on a 25 ℃ ambient shelf for 5 d to simulate sales, quality and physiological indices of kidney beans were measured at regular intervals.The results showed that, compared with cold storage pre-cooling, differential pressure pre-cooling significantly enhanced the cooling rate of kidney beans and maintained lower fruit temperature during transportation, inhibited the respiratory intensity and ethylene release rate of kidney beans during storage and shelf life, delayed the occurrence of respiratory and ethylene release peaks, reduced the weight loss rate and decay rate, maintained higher hardness and soluble solid content, slowed down the increase in crude fiber content, improved the taste and texture, preserved better color and higher chlorophyll content, delayed chlorophyll degradation and darkening, decreased the relative electrical conductivity, malondialdehyde content, and lipoxygenase activity, alleviated the degree of membrane lipid peroxidation, better preserved membrane integrity, maintained high contents of antioxidant components such as total phenolics, flavonoids, and ascorbic acid, as well as the activities of catalase and ascorbic acid peroxidase, inhibited peroxidase activity, improved the scavenging capacity of reactive oxygen species, and enhanced the antioxidant capacity of kidney beans.In conclusion, differential pressure pre-cooling can improve the storage and shelf-life quality of kidney beans, prolong their storage and shelf life, and demonstrates promising application prospects.

Key words differential pressure pre-cooling;kidney beans;storage quality;shelf-life quality

DOI:10.13995/j.cnki.11-1802/ts.043526

引用格式:邓心昊,焦旋,李超,等.压差预冷对菜豆贮藏及货架期品质的影响[J].食品与发酵工业,2026,52(7):318-327.DENG Xinhao, JIAO Xuan, LI Chao, et al.Effects of differential pressure pre-cooling on storage and shelf-life quality of kidney beans[J].Food and Fermentation Industries,2026,52(7):318-327.

第一作者:硕士研究生(张立新研究员为通信作者,E-mail:13934600160@139.com)

基金项目:山西省重点研发计划项目(202102140601017);山西农业大学科技创新提升工程项目(CXGC2023036);山西农业大学曲沃果蔬研究院预制菜博士工作站项目(2024CCY-15-2);山西农业大学横向科研项目(2024QT129);山西省现代农业产业技术体系建设项目(2025CYJSTX08-09)

收稿日期:2025-06-09,改回日期:2025-08-26